Differences in temperature regime of mineral and peat soil in Bakchar district of Tomsk region
- Authors: Dyukarev E.A.1,2, Vyaizya A.А.3, Kiselev K.V.1
-
Affiliations:
- Institute of Monitoring of Climatic and Ecological Systems of the Siberian Branch of the Russian Academy of Sciences
- Yugra State University
- Tomsk State University
- Issue: Vol 10, No 2 (2019)
- Pages: 100-109
- Section: Experimental works
- Published: 04.03.2020
- URL: https://edgccjournal.org/EDGCC/article/view/21323
- DOI: https://doi.org/10.17816/edgcc21323
- ID: 21323
Cite item
Abstract
The results of long-term monitoring of soil temperature regime at Bakchar district (Tomsk region) located in the southern taiga zone of Western Siberia are presented. The temperature regimes of peat and mineral soils are compared; their difference is shown. Peat soil has a smoothed temperature dynamics compared to mineral soil. According to monthly average data, in the warm season, the upper 80 cm of peat soil is 5–7 ° C colder than the mineral soil and 0.3–1.0 ° C warmer in the cold season. The increased thermal inertia of the peat soil prevents both its heating and cooling.
Full Text
INTRODUCTION
Peatlands are unique natural landscapes that are involved in regulating the gas composition of the atmosphere, the water balance of the biosphere, and biological diversity [Dokturovsky, 1932; Liss et al., 2001; Barid et al., 2013]. Peat bogs are the most significant long-term storage of atmospheric carbon on land [Ivanov and Novikov 1976; Vompersky et al., 2005; Rydin and Jeglum, 2015]. Soil temperature is a key factor that controls many biotic and abiotic processes occurring in soils (peat and mineral): decomposition and mineralization of soil organic matter, greenhouse gas emissions, the release of dissolved organic carbon; affects the growth of terrestrial vegetation (mosses, shrubs, etc.) and the formation of a microclimate [Marchik and Efremov, 2006].
Soils are one of the main sources of CO2, CH4 and N2O, the increasing atmospheric concentration of which is among the most widely discussed, but still insufficiently studied, causes of climate change [IPCC, 2013; Second assessment report..., 2014]. Greenhouse gases are products of microbial metabolism, which is regulated by temperature. Climate warming leads to changes in the thermal regime of peat and mineral soils and the dynamics of their freezing [Pavlov, 2008; Sherstyukov and Sherstyukov, 2015; Peng et al., 2017] changing the dates of snow cover onset and destruction [Osokin and Sosnovsky, 2014; Dukarev, 2015; Zhong et al., 2018], as well as changes in snow accumulation [Pavlov, 2008; Kitaev and Kislov, 2008].
Thermal regimes of peat and mineral soils differ significantly [Chechkin, 1970; Ivanov and Novikov, 1976; Gilichinsky, 1986; Geocryology of the USSR, 1989; Fundamentals of Geocryology, 2001; Dyukarev et al., 2009; Trofimova and Balybina, 2015]. Peat soils are characterized by the presence of a surface peat horizon, which is replaced by organogenic matter [Classification..., 2004]. The total capacity of the peat layer can reach several meters. The peat layer is a complex organic-mineral system with specific properties: high water content and porosity, containing a large amount of poorly decomposed organic matter [Romanov, 1961; Chechkin, 1970]. The thermal conductivity of the organic matter of peat is an order of magnitude less than that of typical soil minerals. The high content of organic matter in the soil increases its porosity, which also reduces the thermal conductivity of the soil, especially when the pores are filled with air [Romanov, 1961; Ivanov and Novikov 1976]. Coarse organic material consisting of Sphagnum moss residues of varying degrees of decomposition acts as a heat insulator, and its presence cools the soil in summer, while its warming effect in winter is less important due to the insulating effect of snow cover [Dyukarev and Golovatskaya 2013; Kiselev et al., 2019]. The presence of a porous thermal insulation layer in the summer, in turn, inhibits microbial decomposition and contributes to the accumulation of even more organic matter. Given the high content of organic matter in peat soils and the high vulnerability and sensitivity of these carbon stocks to projected warming, it is important to assess the existing differences in the temperatures of peat and mineral soils that are in the same climatic conditions.
The peatlands of Western Siberia are characterized by relatively shallow soil freezing, and an increase in the depth of freezing is accompanied by a significant delay in the timing of complete thawing of soils compared to mineral soils [Ivanov and Novikov 1976; Chigir, 1978]. The greatest depth of freezing is observed in the sand soils (up to 2.5-3.0 m) [Geocryology of the USSR, 1989]. Loams in forested areas freezes no deeper than 1.0-1.8 m. The peat horizon freezes mainly to a depth of 0.3–0.9 m. In many snow - covered areas of mires among forests, in some winters, water-saturated peat does not freeze at all [Geocryology of the USSR, 1989]. The first work to study the freezing of mires [Serebryanskaya, 1946] in Barabinskaya lowland showed that because of the heterogeneity of mesorelief mire massifs and different snow depth, frost depth ranges from 50-70 cm in bogs, and 50-90 cm in lowland mires, to 76-102 cm under gipnum-sedge-hollow and sedge-gipnum complexes [Checkin, 1970]. The thickness of the permafrost layer of natural mires in the North of the European territory of Russia varies from 24 cm in the zone of eutrophic and oligotrophic pine-sphagnum peatlands to 62 cm in the province of large-hummock peatlands of Northern Kola [Chechkin, 1970]. In the period from 1966 to 2012, on average, Northern Eurasia has seen an increase in the height of the snow cover in the winter and spring months and a decrease in the fall [Zhong et al., 2018], which certainly has an impact on the dynamics of the seasonal frozen layer. In response to the observed increase in surface air temperature, the average annual soil temperatures in the mires of the North of the ETR in the period from 1978 to 2012 increase at a rate of 0.2-0.9ºC/10 years [Kalyuzhny and Batuev, 2015].
On the territory of our country, waist observations of soil temperatures began to be carried out since the 1930s and are still being carried out [Instruction..., 1985; Sherstyukov, 2008; Trofimova and Shekhovtsov, 2011]. In the present work to study the temperature regime of soils is ongoing with the use of modern automatic equipment [Voropai et. al., 2019; Kiselev et. al., 2016, 2017; Bazarov, et.al.., 2016; Arkhangelskaya, 2012; Kaverin et al., 2009; Vasiliev et al., 2008; Sergeev et al., 2007; Konstantinov et al., 2006, etc.] So, in [Koronatova 2019; Kiselev et al., 2019] shown a significant variability in temperature and permafrost regimes of peat soils associated with the microrelief, which determines the level of bog waters and the redistribution of snow cover. Differences in the temperature regime of flat-hummock mire complexes are significantly influenced by belonging to different mire ecosystems, bioclimatic zones, and the presence of permafrost [Koronatova et al. 2018; Mahatkov and Yermolov, 2015]. The study of the temperature regime of peatlands located in different parts of the West Siberian plain (Northern, Central and Southern) based on the observations of the West Siberian expedition of the GGI [Ivanov and Novikov, 1976] showed that it is possible to use the results of observations at a weather station to determine the temperature in a closely located mire, but reliable dependences were obtained only for the average decadal values at depths of 10-20 cm.
The purpose of this work was to assess the characteristics of the temperature regime of peat soils compared to the mineral soils of the surrounding territories, which is an important task, because peatlands in Siberia occupy more than 30% of the area, but modern estimates of changes in soil temperature are based only on data from the existing network of observations at weather stations located mainly on mineral soils [Kharyutkina and Loginov, 2019; Sherstyukov and Sherstyukov, 2015]. Previously, we performed a similar comparison [Dyukarev and Golovatskaya, 2013], but the comparison was carried up to a depth of 80 cm and different equipment was used to characterize the temperature regime of peat and mineral soils. This work is devoid of these shortcomings. The compared series were obtained using the same type of equipment, and the soil temperature was studied to a depth of 240 cm.
The identification of patterns of functioning of mire ecosystems under changing climatic conditions provides the basis for reliable estimates of the state of vegetation and multidirectional carbon fluxes. The results obtained are important for identifying the role of vast wetlands in Western Siberia not only in the global carbon cycle, but also in the formation of regional and global climate.
STUDY AREA
Studies of the temperature regime of peat soils were conducted in the Tomsk region on the territory of the Bakchar bog massif [Vasyuganskoye mire, 2003], located between the Bakchar and Iksa rivers. The average peat depth of the Bakchar bog is 2-2.5 m, with a maximum of 5-6 m. [Study of natural and climatic processes ..., 2012]. The monitoring point was established at a pine-shrub-sphagnum bog with a depressed tree layer at a distance of about 200 m from the edge of the bog (56o58' N, 82o36'E). The soil in the monitoring point is peat oligotrophic, underlain by lake-alluvial carbonate clays. The capacity of the peat layer at the site of observation is 2.2 m. The top peat in the upper 1.5 m of the peat deposit is represented by two types: Fuscum of a weak degree of decomposition and Magellanicum of a medium degree of decomposition. At the base of the peat layer is a 30 cm thick layer of horsetail lowland peat. Above it is a layer of sedge lowland peat. At the contact of two layers - the upper and lower layers – there is a layer of peat of a transitional type, deposited by mesotrophic plant communities that once existed here-wood – sedge and wood-sphagnum [Golovatskaya et al., 2008]. The level of bog water decreases from 5-15 cm in spring to 40-60 cm in late summer. The average height of the tree stand is 2-3 m, average trunk diameter is 3 cm Projective cover of the tree layer is about 30%. The shrub layer is developed abundantly on micro-elevations (hummocks), the total projective coverage is 60-70%. The layer is composed of bog rosemary, bog myrtle, blueberries and cranberries. The grass layer has a projective coverage of less than 5 % and is represented by vaginal fluff, cloudberry and round-leaved mildew. In the moss cover, Sphagnum Fuscum dominates at elevations (95 %), in addition, Sphagnum fen mosses are found at hollows.
The point for monitoring of the temperature regime of mineral soils is located on the territory of the weather station located on the outskirts of the district center of Bakchar district (Bakchar village). The observation platform of the weather station is located on the terrace of the Bakchar river at a distance of about 1 km from the river 57o00'N, 82o03'E). The soil at the location of the weather station is sod-gley heavy loam. The level of ground water varies in the range of 20-150 cm. The surface of the soil at the weather station is covered with grass, regularly trimmed during the summer in accordance with the requirements of meteorological observations [Instruction..., 1985].
The study area is located within the taiga zone. The climate is moderately continental, characterized by significant daily and annual variations in air temperature and a long winter period. The average annual temperature is + 1.8°C, the average July temperature is +19.4°C, and the average January temperature is -15.9°C. The frost-free period is 100-105 days. The amount of annual precipitation is 435 mm [Wetland landscapes..., 2012].
METHODS AND MATERIALS
Studies of the soil temperature regime were carried out using an Autonomous Temperature Profile Meter (ATPM) [Kiselev et al., 2018; Bazarov et al., 2018], which is designed for automatic registration of soil temperature and accumulation of measurement data over a long period of time. Modification of the "hidden installation" ATPM is used for" vandal-proof " placement on the ground, which determines the impossibility of using unmasking structures: antennas, solar panels and many types of sensors. In the end, these limits apply controller with ultraslim power consumption (battery power); with a large internal non-volatile memory of measurement; with USB interface using a special cable with a sealed connector (in order to read the data not to dig the controller out of the ground); with a maximum ingress protection of IP68 (can work below the groundwater level); with the use of sensors of parameters of soil - temperature, moisture, conductivity, and also water level. And, in some cases, sensors of atmospheric parameters such as temperature and humidity.
Two identical devices with air temperature sensors (at a height of 2 m from the surface) in radiation shield and soil temperature probes were installed at the weather station and in the bog. Observations were made at 1 hour intervals between 2011 and 2017. Soil temperature was recorded at the surface and at depths 2, 5, 10, 15, 20, 30, 40, 60, 80, 120, 160, 240 cm.
RESULTS
According to observations using ATPM at the Bakchar weather station, the average annual long-term air temperature for the study period with full years of research (2012-2017) is +1.1±1.4°C (average ± standard deviation). The coldest month of all was December 2012, when the average monthly temperature reached -25.7°C (Fig.1). The warmest month was July 2012 with a temperature of 20.6°C. The average long-term temperature of the coldest month (January) is -19.8±2.6°C, and the warmest (July) is +18.2±1.3°C, with an annual range of 39.4±5.4°C.
The average monthly air temperature calculated from measurements of a similar ATPM complex in the pine-shrub-sphagnum bog does not differ significantly from the air temperature at the weather station (see Fig. 1). The difference between monthly air temperatures reaches 1.1°C, and the air in the bog is warmer than at the weather station. The average long-term temperature difference is maximum in the summer months and is 0.6, 0.4, and 0.6°C for June, July, and August, respectively.
Observation points are located fairly close to each other (at a distance of 30 km) and there are no significant differences in the long-term air temperature regime between them. The average annual air temperature in the bog is only 0.2±0.3°C.
Due to the existing differences in the composition of the soil profile and moisture content, the temperature regime of the soils in the research points differs significantly even despite the same external influence (the amount of incoming solar radiation, precipitation mode, etc.). Figure 2 shows the time course of monthly values of mineral and peat soil temperatures at certain depths. As we can see, differences in the annual course of temperature are already observed on the soil surface (Fig.2a). In winter, under a heavy snow cover reaching 100 cm [Dukarev, 2015], the minimum monthly temperature on the soil surface at the weather station does not fall below -2.4°C (February 2012), and in the bog the surface can freeze to -4.1°C (December 2012). In summer, the maximum monthly surface temperature at the weather station is higher (+22.5 ºC in June 2012) than in the bog (+19.3 ºC in June 2016).
With depth differences in the temperature regime of soils between the two monitoring stations are growing. These differences are most pronounced in the magnitude and time of onset of the maximum annual temperatures. Thus, at a depth of 20 cm in peat soil, the average July temperature is 2.7- 7.1°C lower than in mineral soil. At a depth of 60 cm, the maximum annual temperature in peat soil is about a month late relative to the maximum surface temperature, and the maximum value is lower by 4.0-6.7°C compared to the surface temperature. Deeper, the maximum difference does not exceed 6.8°C, and the delay relative to the surface reaches 2-3 months (Fig. 2 d, e).
Less noticeable differences are observed in soil temperatures during the cold season. Up to a depth of 15 - 20 cm, the soil in the bog is usually colder than the mineral one at 0.1-2.7°C, and the maximum differences occur on the surface layer. Deeper than 60 cm, the temperature of peat soil in winter is higher than that of mineral soil. The greatest positive differences (0.8 – 2.1°C) are registered at a depth of 60 cm. Deeper than 60 cm (see Fig. 2 d, e) differences in the minimum annual temperatures are reduced to 0.1 – 0.6°C at a depth of 240 cm. Minimum temperatures in the bog occur later than in the mineral soil for 2-3 months.
Figure 3 shows the average long-term profiles of the distribution of average monthly soil temperatures at two research points. In the cold season (from November to March), there is a radiation type of temperature distribution in the soil [Trofimova and Balybina, 2015], or an increase in temperature with depth. From May to August, the temperature in the upper layers of the soil is higher than at depth, which corresponds to the insolation type of temperature distribution. April is a transitional month with an insolation-radiation temperature regime, when the temperature decreases with depth in the upper layer, and slightly increases in the lower layer. September and October are months with a radiation-insolation type of temperature distribution.
Average monthly negative soil temperatures are recorded from November to March at depths of up to 40 cm in mineral soil and up to 20 cm in peat soil. Despite the fact that the depth of freezing in the bog is less than at the weather station, the temperature of the upper soil layers in the bog is lower. This difference is clearly visible in December-February at the surface and depth of 10 cm. from November to April at depths between 20 and 160 cm, peat soil is warmer than mineral soil at 0.4-2.1°C. At the greatest depth studied (240 cm), due to the delay in the propagation of the heat wave, the temperature in the bog is only slightly higher (up to 0.6°C) than at the weather station from February to may.
In April, the soil begins to thaw, the temperature in the upper layers increases and positive temperatures are observed throughout the profile. In the period from May to September, the soil temperature in the bog is less than at the weather station throughout the depth. Loose layers of moss on the bog, due to its high heat capacity and low thermal conductivity, prevent both heating and cooling of peat soil, compared with mineral soil. In addition, at a depth of 20-30 cm from the surface in the warm season, the upper border of bog waters is located. The temperature distribution profile at this depth shows a break and a change in the temperature distribution gradient. Most of the heat supplied to this layer is spent on evaporation of moisture. Below the level of standing bog waters, the peat layer is saturated with moisture and is characterized by volume heat capacity values 1.5-2 times higher than mineral soils, which also prevents the penetration of heat.
The temperature profile in mineral soil responds more sensitively to changes in surface temperature, the temperature gradients are lower and the heat wave reaches a greater depth than in peat soil. Thus, at a depth of 240 cm, the annual temperature range in mineral soil is 6.6±0.2°C, and in peat soil only 1.9±0.3°C. While the annual temperature range on the surface for both observation points is approximately the same: 21.4±1.9°C and 21.0±1.0°C for the weather station and the bog, respectively.
The annual (January to December) soil temperature averaged over the full years of research 2012-2017 in mineral soil gradually decreases from the surface, where it is 6.6±0.4°C, to 5.6±0.1°C at a depth of 240 cm. in peat soil, the temperature distribution is somewhat more complex. From the surface to a depth of 40 cm, the temperature also decreases from 5.1±0.5°C to 4.5±0.9°C. Further, at a depth of 60 cm, the annual temperature becomes equal to the values on the surface (5.1±0.5°C). When the depth increases from 60 to 240 cm, the temperature decreases further to 4.1±0.4°C. This non-linear character of the temperature distribution indicates the importance of the effect of intensive phase transitions of evaporation/condensation water at the level of bog waters in summer (10-50 cm) on thermodynamic processes in the soil.
Perennial average annual temperature of peat soil at 1.5 – 1.7°C lower than that of mineral at a depth up to 40 cm the temperature difference between the soil in the bog and the weather station at the depth of 60 cm is 1.0°C, and to a depth of 240 cm, the difference increases to 1.6°C. In General, the soil in the bog colder than the weather stations, however, during the year, the difference of soil temperatures between two points of the research changes its sign.
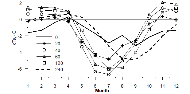
Figure 4 shows the annual course of long-term average monthly differences in soil temperature between peat and mineral soil. dTs = Ts (Peat) – Ts (Miner.) The difference in surface temperature between the two points of research is almost always negative, that is, the surface temperature in the bog is lower than at the weather station. The highest temperature difference of -3.2±1.1°C was obtained in September. The exception is April, when the bog surface temperature is 0.3±1.0°C higher (Fig.4).
Negative differences with a value up to -4.1±1.2°C remain up to a depth of 15 cm. However, at a depth of 20 cm in February, March and November, the soil temperature in the bog is slightly higher (up to 0.3±0.5°C) than at the weather station. The depth of 40 cm is characterized by the fact that there is the greatest temperature difference in the summer months. In June and July, the temperature difference exceeds -6.0°C. a Significant negative temperature difference (more than -6.0°C) between peat and mineral soils in July is observed in a layer of 30-120 cm.
Starting from a depth of 40 cm continuously from October to March, peat soil is warmer than mineral soil. Positive temperature differences during the cold period remain at depths from 30 to 160 cm, but with increasing depth, the start time for registering positive differences shifts from October to December. The average temperature difference between peat and mineral soils is about 1.1°C, and the maximum value (2.1±0.8°C) is recorded in November at a depth of 60 cm.
At a depth of 240 cm, negative temperature differences between peat and mineral soil were recorded from June to January, with the lowest values -4.8±0.5°C in August and September. As in the higher layers in a certain period (from February to May), the temperature at this depth in the bog is slightly higher (up to +0.6±0.2°C) than in the mineral soil (see Fig.4).
CONCLUSION
Analysis of the time course of peat and mineral soil temperatures for the period from September 2011 to July 2018 showed that the average long – term annual soil temperature in the bog is 1.0-1.7°C lower than that of mineral soil. In General, the soil in the bog is colder than at the weather station, but in the annual course of the difference in soil temperatures changes its sign. Negative differences of up to -4.1±1.2°C are maintained to a depth of 15 cm throughout the year. Starting from a depth of 20 cm, peat soil is warmer than mineral soil during the cold period by 0.2-2.1°C. during the warm period, peat soil is colder than mineral soil by 0.2 – 6.7°C.
Thus, due to their special structure and moisture saturation, peat soils have a special temperature regime. At the boundary of the marsh water level, heat is effectively absorbed during the warm period, being spent mainly on evaporation. As a result, elevated temperature gradients are observed in peat soil in the surface layers, and the loose upper layers of moss due to their high thermal insulation ability significantly reduce the temperature and amplitude of temperature fluctuations in the underlying layers of the peat layer. In winter, the upper layers of peat soil are cooled more than in mineral soil, but the temperature in the lower water-saturated layers is higher and the increased thermal inertia of the peat layer prevents it from cooling, so that the peat soil at a depth is warmer than the mineral one.
The research was carried out with the financial support of the RFBR in the framework of research projects № 18-05-00306, 19-35-90027 and with the support of grant № 13-01-20 / 267 YSU.
About the authors
Egor Anatolievich Dyukarev
Institute of Monitoring of Climatic and Ecological Systems of the Siberian Branch of the Russian Academy of Sciences; Yugra State University
Author for correspondence.
Email: dekot@mail.ru
Russian Federation, Tomsk, Russia; Khanty-Mansiysk, Russia
Anatoly Аndreevich Vyaizya
Tomsk State University
Email: dekot@mail.ru
Tomsk, Russia
Kiselev Vladimirovich Kiselev
Institute of Monitoring of Climatic and Ecological Systems of the Siberian Branch of the Russian Academy of Sciences
Email: dekot@mail.ru
Tomsk, Russia
References
- Архангельская Т.А. Температурный режим комплексного почвенного покрова. М.: ГЕОС. 2012. 281 с.
- Базаров А.В., Бадмаев Н.Б., Кураков С.А., Гончиков Б.М.Н. Мобильный измерительный комплекс для сопряженного контроля атмосферных и почвенных параметров // Метеорология и гидрология. 2018. № 4. С. 104-109.
- Базаров А.В., Бадмаев Н.Б., Кураков С.А., Гончиков Б.М.Н., Цыбенов Ю.Б., Куликов А.И. Измерительный комплекс для автоматического долговременного контроля атмосферных и почвенных климатических параметров // Приборы и техника эксперимента. 2016. № 4. С. 158-159.
- Васильев А.А., Дроздов Д.С., Москаленко Н.Г. Динамика температуры многолетнемерзлых пород Западной Сибири в связи с изменениями климата // Криосфера Земли. 2008. т. XII. № 2. с. 10-18.
- Вомперский С.Э., Сирин А.А., Цыганова О.П. и др. Болота и заболоченные земли России: попытка анализа пространственного распределения и разнообразия // Известия Российской академии наук. Серия географическая. 2005. № 5. с. 39-50.
- Воропай Н.Н., Киселев М.В., Черкашина А.А. Мониторинг температуры почв на многолетнемёрзлых породах в естественных и антропогенно нарушенных условиях Тункинской котловины // Лед и снег. 2019. Т. 59. № 4. С. 517-528.
- Второй оценочный доклад Росгидромета об изменениях климата и их последствиях на территории Российской федерации. М.: Федеральная служба по гидрометеорологии и мониторингу окружающей среды. 2014. 61 с.
- Геокриология СССР. Западная Сибирь. / Под ред. Э.Д.Ершова. М.: Недра. 1989. 454 с.
- Гиличинский Д.А. Сезонная криолитозона Западной Сибири / Д.А.Гиличинский. М.: Наука. 1986. 143 с.
- Головацкая Е. А., Дюкарев Е. А., Ипполитов И. И., Кабанов М. В. Влияние ландшафтных и гидрометеорологических условий на эмиссию СО2 в торфоболотных экосистемах // Докл. РАН. 2008. Т. 418. № 4. С. 539–542
- Доктуровский В.С. Торфяные болота. Курс лекций по болотоведению. М.-Л.: Государственное научно-техническое горное издательство. 1932. 192 с.
- Дюкарев Е.А. Влияние температуры воздуха и снежного покрова на характеристики сезонно-мерзлого слоя почвогрунтов // Криосфера Земли. 2015. т. XIX. № 3. С. 45–51.
- Дюкарев Е.А., Головацкая Е.А. Особенности температурного режима торфяной залежи олиготрофного болота в южной тайге Западной Сибири // География и природные ресурсы. 2013. №1. С. 65-71.
- Дюкарев Е.А., Головацкая Е.А., Дучков А.Д., Казанцев С.А. Экспериментальное исследование температурного режима торфяной залежи Бакчарского болота (Западная Сибирь) // Геология и геофизика. 2009. №6. С. 745-754.
- Иванов К.Е., Новиков С.М. Болота Западной Сибири, их строение и гидрологический режим. Л.: Гидрометеоиздат, 1976, 447с.
- Исследование природно-климатических процессов на территории Большого Васюганского болота /под ред. РАН М.В. Кабанова. Новосибирск: Изд-во СО РАН. 2012. 244 с.
- Каверин Д.А., Пастухов А.В., Панюков А.Н. Температурный режим почв постагрогенных экосистем при активизации самовосстановительной сукцессии тундровой растительности (Европейский северо-восток России) // Криосфера Земли. 2019. т. XXIII. № 5. с. 58-66.
- Калюжный И.Л., Батуев В.И. Формирование температурного режима торфяной залежи при изменении климатических характеристик в северной и северо-западной зоне олиготрофных болот ЕТР // Труды Главной геофизической обсерватории им. А.И. Воейкова. 2015. № 577. С. 156-168.
- Киселев М.В., Воропай Н.Н., Дюкарев Е.А. Особенности температурного режима почв верхового болотного массива // Известия ВУЗов. Физика. 2016. Т.29. № 7/2. С. 93-98.
- Киселев М.В., Воропай Н.Н., Дюкарев Е.А. Температурный режим почвы осоково-сфагновой топи верхового болота в южной тайге Западной Сибири // География и природные ресурсы. 2017. №3. C. 110-117.
- Китаев Л.М., Кислов А.В. Региональные различия снегонакопления – современные и будущие изменения // Криосфера Земли. 2008. № 2. с. 98-104.
- Классификация и диагностика почв России. Смоленск: Ойкумена. 2004. 342 с.
- Константинов П.Я., Аргунов Р.Н., Герасимов Е.Ю., Угаров И.С. О связи глубины сезонного протаивания с межгодовой изменчивостью средней годовой температуры грунтов // Криосфера Земли. 2006. т. X. № 3. с. 15-22.
- Коронатова Н.Г. Температурный режим торфяных олиготрофных почв Бакчарского болота (Западная Сибирь) // Почвы и окружающая среда. 2019. Т.2. №3. С.1-13.
- Коронатова Н.Г., Миронычева-Токарева Н.П., Соломин Я.Р. Температурный режим торфяной залежи бугров и топей плоскобугристых болотных комплексов Западной Сибири // Криосфера Земли. 2018. т. XXII. №6. С.16-25.
- Ландшафты болот Томской области / [Евсеева Н. С., Синюткина А. А., Харанжевская Ю. А. и др.; под ред. Н. С. Евсеевой]; Нац. исслед. Том. гос. ун-т, Рос. акад. с.-х. наук, Сибирский науч.-исслед. ин-т сельского хоз-ва и торфа. - Томск: Изд-во НТЛ, 2012. 400 с.
- Лисс О. Л., Абрамова Л. И., Аветов Н. А. и др. Болотные системы Западной Сибири и их природоохранное значение / Под ред. В. Б. Куваева. Тула: Гриф и К°. 2001. 584 с.
- Марчик Т.П., Ефремов А.Л. Почвоведение с основами растениеводства; Учреждение образования «Гродненский гос. Ун-т. Им. Я.Купалы». – Гродно: ГрГУ. 2006. 249 с
- Махатков И.Д., Ермолов Ю.В. Температурный режим деятельного слоя верхового болота северной тайги // Междунар. журн. прикл. и фундам. исслед.. 2015. № 11.с. 400-407.
- Наставление гидрометеорологическим станциям и постам. Вып. 3. Часть 1. Метеорологические наблюдения на станциях / Л.: Гидрометеоиздат, 1985. 58с.
- Основы геокриологии / Под ред. Э.Д. Ершова. Часть 4. Динамическая геокриология. М.: Изд-во Московского. ун-та. 2001. 688 с.
- Осокин Н.И., Сосновский А.В. Пространственная и временная изменчивость толщины и плотности снежного покрова на территории России // Лед и снег, 2014, Т. 128, № 4, с. 72-80.
- Павлов А.В. Мониторинг криолитозоны / А.В. Павлов. Новосибирск, Акад. изд-во «Гео», 2008, 230 с.
- Павлов А.В. Теплообмен почвы с атмосферой в северных и умеренных широтах территории СССР. Якутск. Кн. Изд-во. 1975. 302 с.
- Романов В.В. Гидрофизика болот / В.В. Романов. Л. Гидрометеоиздат. 1961. 359 с.
- Сергеев Д.О., Ухова Ю.А., Станиловская Ю.В., Романовский В.Е. Температурный режим многолетнемерзлых толщ и сезонноталого слоя в горах Северного Забайкалья (Возобновление стационарных наблюдений) // Криосфера Земли. 2007. т. XI. № 2. с. 19-26.
- Серебрянская Г.А. Промерзание и оттаивание почвогрунтов в центральной части Барабы // Почвоведение. 1946. №9. с. 555-564.
- Трофимова И. Е., Балыбина А. С. Районирование Западно-Сибирской равнины по термическому режиму почв // География и природные ресурсы. 2015. № 3. С. 27-38
- Трофимова И.Е., Шеховцов А.И. Оценка термического режима почв котловин Прибайкалья и Северного Забайкалья // География и природные ресурсы. 2011. № 4. С. 100-107.
- Харюткина Е.В., Логинов С.В. Тенденции временных изменений температуры почвы на глубинах в Западной Сибири по данным реанализа // География и природные ресурсы. 2019. №2. С.95-102.
- Чечкин С.А. Водно-тепловой режим неосушенных болот и его расчет / С.А. Чечкин. Л., Гидрометеоиздат. 1970. 205с.
- Чигир В.Г. Тепловая мелиорация длительно-сезонномерзлых почв / В.Г. Чигир. М.: Наука. 1978. 147 с.
- Шерстюков А.Б. Корреляция температуры почвогрунтов с температурой воздуха и высотой снежного покрова // Криосфера Земли. 2008. Т. 12. № 1. С. 79-87.
- Шерстюков А.Б., Шерстюков Б.Г. Пространственные особенности и новые тенденции в изменениях термического состояния почвогрунтов и глубины их сезонного протаивания в зоне многолетней мерзлоты // Метеорология и гидрология. 2015. №2. С.5-12.
- Baird A., Belyea L., Comas X. et al. Carbon Cycling in Northern Peatlands. Geophysical Monograph Series. AGU 2013. 297 pp.
- IPCC, 2013. Climate Change 2013: The Physical Science Basis. Contribution of Working Group I to the Fifth Assessment Report of the Intergovernmental. Panel on Climate Change / Eds. T. F. Stocker, D. Qin, G.-K. Plattner et al. Cambridge University Press. Cambridge. United Kingdom and New York. NY. USA. 1535 pp.
- Kiselev M.V. Voropay N.N., Dyukarev E.A., Kurakov S.A., Kurakova P.S., Makeev E.A. Automatic meteorological measuring systems for microclimate monitoring // IOP Conference Series: Earth and Environmental Science. 2018. V.190(1). 012031.
- Kiselev M.V., Voropay N.N., Dyukarev E.A., Preis Yu.I. Temperature regimes of drained and natural peatlands in arid and water-logged years // IOP Conference Series: Earth and Environmental Science. 2019. V.386. 012029.
- Peng X., Zhang T., Frauenfeld O.W. et al. Response of seasonal soil freeze depth to climate change across China // The Cryosphere. 2017. №11. P.1059-1073.
- Rydin H., Jeglum H. The Biology of Peatlands. Oxford. Oxford. Univ. Press. 2015. 400 p.
- Zhong X., Zhang T., Kang S.et al. Spatiotemporal variability of snow depth across the Eurasian continent from 1966 to 2012 // The Cryosphere. 2018. №12. P. 227-245.
Supplementary files






