State of island spruce forests in the Western part of the Bolshezemelskaya tundra after 23 years
- Authors: Lavrinenko O.V.1,2, Lavrinenko I.А.1, Simonova K.I.1
-
Affiliations:
- Komarov Botanical Institute RAS
- Nenetsky State Nature Reserve
- Issue: Vol 15, No 1 (2024)
- Pages: 30-67
- Section: Experimental works
- Published: 24.07.2024
- URL: https://edgccjournal.org/EDGCC/article/view/629471
- DOI: https://doi.org/10.18822/edgcc629471
- ID: 629471
Cite item
Full Text
Abstract
Modern climate warming, which began in the 1970s, has been observed throughout the Arctic including its Russian part [А report …, 2023; Druckenmiller et al., 2021]. It is accompanied by a large number of papers by Russian and foreign scientists on the forest boundary advancement to the north, and its upper boundary in the mountains – up the slopes [Shiyatov et al., 2007, Harsch et al., 2009; Bolotov et al., 2012; Grigor'ev et al., 2013, 2019; Moiseev et al., 2019; Shiyatov et al., 2020; Timofeev et al., 2021; Dial et al., 2022; Hansson, 2022, etc.]. Climate change rate is high in the East European sector of the Arctic: over the last 35 years the average annual air temperature increase has reached +0.8°C/10 years [Malkova et.al., 2021], the length of the growing season has increased by an average of 2 weeks and the amount of heat accumulated during this period has increased by an average of 85°C [Lavrinenko et al., 2022].
The northern forest boundary (timberline) in East European Russia is formed by Picea obovata and runs at N 67°30ʹ-67°10ʹ. In the Bolshezemelskaya Tundra, spruce is found rather far north of the forest boundary and even north of N 68°. Spruce islands have been preserved here since the Holocene in refugia – sites with favorable microclimatic and soil conditions. Relict spruce islands are groups of closely spaced, thin-stemmed trees occupying upland landform elements on sandy outcrops of watersheds. Skirt-shaped growth trees are united by a common root system and appear to be clones formed by vegetative propagation [Lavrinenko, Lavrinenko, 2004a].
In the framework of the international SPICE project, 8 spruce islands were discovered and studied at latitude N 67°54'-67°56' (Fig. 1). Complete relevés were carried out within the boundaries of the 5 islands. Species abundance was estimated using the Brown-Blanquet’s scale [Becking, 1957]. The height of the tallest trunks was measured with a measuring tape and their diameter at the trunk base (in island E2 at a height of 50 cm) – with a caliper. In 2000, a spruce island was described at the northernmost site (N 68°17') near Cape Bolvansky Nos on the coast of the Pechora Bay of the Barents Sea (Fig. 1). The results of the spruce islands structure and cenoflora study have been published [Lavrinenko, Lavrinenko, 2003]. This data provided an opportunity to trace the changes of the islands 23 years later.
All spruce islands in the Ortina Basin were resurveyed between 20 and 30 July 2023. The study included tree morphometric measurements, geobotanical relevés and comparative landscape photography. The surveys on the islet at Cape Bolvansky Nos were carried out in 2000, 2014 and 2020 and included plant community relevés and photography and height measurements of the 6 tallest living spruce tops; photos were taken during a short visit in 2017.
Comparative analysis of the spruce islands composition and structure after almost a quarter of a century have shown:
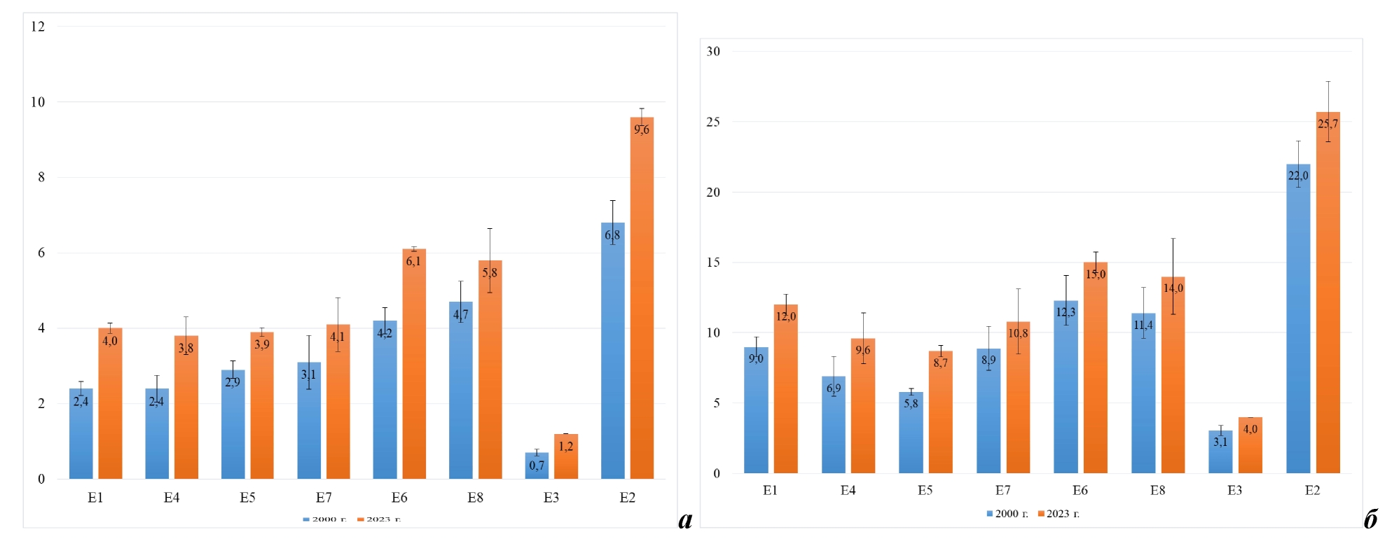
1) In the Ortina River basin, in relict spruce islands on watersheds (E1, E4-E8), mean tree height has increased by 1.1-1.9 m and mean diameter – by 1.9-3.0 cm, i.e. mean height growth was 4.3-8.3 cm/year and radial growth was 0.41-0.65 mm/year. On a spruce island in the Ortina River valley (E2) with more favorable microclimatic conditions, these values were significantly higher – trees have grown on an average 2.8 m, diameter – 3.7 cm, i.e. height growth was 12.2 cm/year, radial growth – 0.8 mm/year (Table 1, Fig. 2а and б). In 2000 spruce island E3 was located on a sandy mound in the center of a sandy outcrop. By 2023 the mound has been almost completely destroyed by winds, the spruce looked like dying off and most likely it will disappear after some time (Fig. 9).
2) The shape of the tree crowns has changed. In 2000, spruce trees predominantly had "skirts" of well-developed lower branches. The upper part of the trees could have a cylindrical crown or the trunk could be partially devoid of branches with needles only at the top. By 2023, the crown of the most trees has become conical or narrow pyramidal with well-developed lower branches and green branches all over the trunk. On the E2 spruce island in the valley, the cone-shaped crowns of the trees have become lusher.
3) On all islands spruce has been spreading vegetatively by rooting lower branches and subsequently changing their growth from plagiotropic to orthotropic. This process has been especially active on the slopes of southern exposition. As a result, the area of the islands has slightly increased. Despite the abundance of both male strobiles and mixed-aged female cones, no undergrowth or freestanding young spruce trees were found in the surroundings. This indicates the absence of reproduction by seed for 23 years. The results prove the earlier suggestion that the northward advance of forests in watersheds is limited by the lack of quality seeds for sexual reproduction [Andreev, 1954; Norin, 1958; Surso, Barzut, 2010]. The earlier assumption that spruce islands could become a springboard for the spruce introduction into tundra communities under climate warming [Lavrinenko, Lavrinenko, 1999, 2004b] is currently not confirmed.
4) Comparative photos taken from the same angles in 2000 and 23 years later are shown for all spruce islands (Fig. 3-8, 10). They display a significant tree state improvement.
5) At Cape Bolvansky Nos in the northernmost spruce islet (N 68°17'), both a surge (in 2014) and a decline in spruce vitality have been recorded over the past 20-year period. There was no increase in island area observed, in 2020 the condition of the spruce was depressed and close to 2000 (Fig. 11).
6) The dwarf shrub green-mossy spruce islands cenoflora was characterised by stability. Changes in the species composition were due to single, predominantly cryptogamous plants (Table 2). Key species, in addition to Picea obovata, are: Betula pubescens subsp. tortuosa, dwarf shrubs Empetrum hermaphroditum, Vaccinium vitis-idaea, Linnaea borealis, Arctous alpina, bryophytes Pleurozium schreberi, Hylocomium splendens and Ptilidium ciliare. Juniperus sibirica and Betula nana were often found in the shrub layer. The most active permanent herbaceous plant was Festuca ovina (Tables 1 and 2).
7) Landscape photos show the "greening" of surrounding tundra communities in watersheds and stream valleys in the Ortina River Basin due to climate warming. On watersheds, Betula pubescens subsp. tortuosa has actively introduced into tundra communities, and juveniles and young trees have gained straight trunks from the base of the tree (Fig. 13). In the river valley and its tributaries, the area and height of bushes of Juniperus sibirica, shrubby willows and especially Alnus fruticosa have increased (Fig. 8а and б, 14).
8) The current position of the island spruce sparse forests` northern boundary in the Ortina River valley recorded on the satellite image is at latitude N 67°53ʹ (Fig. 15) and has not changed over the last 20 years. The reason appears to be the lack of good quality seed for sexual reproduction. Monitoring studies could make it possible to trace the time when the boundaries of spruce sparse forests and spruce islands will close up in case of further possible climate warming. The distance between them is now quite small – 3-6 kilometers.
Full Text
ВВЕДЕНИЕ
Границы экотона тайга – тундра, включающего участки лесной растительности разного размера и одиночные (пионерные) деревья в тундре, вызывают большой интерес в ландшафтно-экологических исследованиях, поскольку являются одним из показательных и чувствительных индикаторов изменений климата [Callaghan et al., 2002]. Неоднократный сдвиг границ этой переходной зоны за последнее тысячелетие обусловлен несколькими теплыми и сухими периодами (основной – средневековый климатический оптимум в X-XIII вв.), которые способствовали экспансии древесной растительности, и наоборот, холодными (малый ледниковый период в XIV-XIX вв.), вызвавшими гибель лесных опушек. С 10-20-х годов прошлого столетия отмечается этап экспансии древесной растительности дальше на север, связанный с потеплением, который продолжается вплоть до настоящего времени. В середине прошлого века В.Н. Андреев [Andreev, 1956] обобщил взгляды сторонников смещения границы леса к северу (А.В. Журавский, В.Р. Вильямс, Л.Н. Тюлина, В.С. Говорухин, Б.А. Тихомиров, С. Регель и др.), а также сопоставил данные о положении современной на тот момент границы леса и лесных островов в тундре с их положением и состоянием в прошлом (по материалам исследований А.Г. Шренка, Г.И. Танфильева, Р. Поле). В.Н. Андреев показал, что в тех местах, где древесная растительность была отмечена 50-115 лет назад, она прочно удерживала свои позиции, а большинство крайнесеверных лесных островков, находившихся ранее в угнетенном состоянии, увеличили занимаемые площади, более того, появились новые лесные островки на месте заведомо безлесных тундровых участков. Кратковременное похолодание, имевшее место в 1940-х годах, привело лишь к незначительному изреживанию древостоев в нижнем течении р. Печоры [Shiyatov, 1976, 1981].
Основным фактором, определяющим положение границы леса, является температура. Еще А. Гризебах [Grisebach, 1872] установил, что в целом в глобальном масштабе граница леса практически совпадает с июльской изотермой температуры воздуха в 10°С. С использованием модели «TREELIM» показано, что необходимая для роста деревьев минимальная продолжительность вегетационного периода (число дней со средней температурой >0.9°C) составляет 94 дня, при этом средняя температура за все эти дни должна достигать не менее 6.4°C [Paulsen, Körner, 2014]. Эти результаты подтверждают теорию изотерм для естественного формирования границы леса – ее положение на большей части земного шара совпадает со средней температурой вегетационного периода 6-7°C. Границы, совпадающие с температурой выше этой, могут указывать на другие ограничивающие факторы для формирования древостоев [Maher et al., 2021]. К таким факторам, обусловливающим возможность выживания и существования деревьев в суровых климатических условиях, относятся наличие вечной мерзлоты, глубина сезонно-талого слоя, толщина снежного покрова, наличие склонов, защищающих от холодных северных ветров и обеспечивающих хороший дренаж, тип почв и другие региональные особенности. Речные долины с их отепляющим эффектом, наличием таликов, склоненными коренными берегами являются наиболее благоприятными местообитаниями для произрастания деревьев в тундре. По долинам рек, текущих в меридиональном направлении, деревья глубоко проникают в тундру, поэтому граница леса не прямолинейна, а заходит языками на север.
Современное потепление климата, которое наблюдается с 70-х годов прошлого века, регистрируется на всей территории Арктики и Российской ее части [Druckenmiller et al., 2021; A report…, 2023]. Продвижение границы леса к северу, а в горах – его верхней границы вверх по склонам, обусловленное региональным потеплением, подтверждено документально во многих исследованиях. Анализ набора данных из 166 мест по всему миру, на которых граница была зарегистрирована с 1900 г., показал, что только в двух местах она отступила, во всех остальных положение деревьев либо улучшилось (в 52% мест), либо осталось стабильным [Harsch et al., 2009]. Авторы установили связь между продвижением границы и зимним потеплением, а также бóльшую вероятность продвижения вперед границ, имеющих диффузную форму, по сравнению с резкими или криволинейными. Этот обзор глобального исследования границ древесной растительности был значительно расширен в диссертации А. Hansson [Hansson, 2022]. На основе анализа 142 публикаций и 477 мест с зафиксированной границей она показала, что лесной покров увеличился в высотном или широтном масштабе на 66% участков, а для Pinaceae еще значительнее – на 72%.
Для горных местностей наиболее известны работы группы С.Г. Шиятова, который предложил метод сопоставления ландшафтных фотоснимков, сделанных с одних и тех же точек в разное время [Shiyatov, 2009]. Показано, что за последнее столетие в ответ на региональные потепление и увлажнение климата происходит интенсивная экспансия древесной и кустарниковой растительности в горные тундры и луга на Урале, плато Путорана и в Хибинах [Shiyatov et al., 2007, 2020; Grigor'ev et al., 2013, 2019; Moiseev et al., 2019; Timofeev et al., 2021, etc.]. Метод повторных ландшафтных фотоснимков, использованный И.Н. Болотовым с соавторами [Bolotov et al., 2012] для оценки изменения еловых древостоев в лесных островах на востоке Большеземельской тундры (урочище Пымвашор в бассейне р. Адзьвы), позволил установить, что за 100 лет (сравнивали фотоснимки 1909 и 2010 гг.) произошло существенное увеличение площадей лесных островов, густоты и высоты древостоя, формирование сомкнутых лесных сообществ и редколесий на месте редин.
В работе S. Kruse с соавторами [Kruse et al., 2019] с использованием модели «LAVESI» показано медленное продвижение лиственничных редколесий на юге Таймыра: скорость миграции на север границы деревьев составила 1.6 м/год, а границы леса – 0.6 м/год. Однако авторы отмечают, что миграция может ускориться, если в тундре есть реликтовые острова и отдельные деревья, которые станут ядрами для быстрого заселения тундры. В то же время в работе В.И. Харук с соавторами [Kharuk et al., 2005] получены существенно бóльшие скорости динамики лиственницы в самом северном в мире лесном массиве «Ары-Mac». На основе материалов спутниковых снимков Landsat и Corona, полученных в 1965-2000 гг., они установили увеличение сомкнутости лиственничников и их продвижение в тундру со скоростью 3-11 м/год. Максимальное увеличение площади (⁓65%) наблюдали для древостоев, по сравнению с рединами и редколесьями. Из последних работ наиболее показательна статья R.J. Dial с коллегами [Dial et al., 2022], где показана экстремально высокая скорость (>4 км за десятилетие) продвижения популяции ели Picea glauca, изолированной от границы леса севернее хребта Брукс на Аляске. Каждое десятилетие популяция удваивается, при этом экспоненциальный радиальный рост основных стволов отдельных деревьев положительно коррелирует с июльской температурой воздуха.
В работе W.G. Rees с соавторами [Rees et al., 2020] прослежена взаимосвязь между изменениями климата на протяжении XX в. и продвижением границ экотона лес – тундра на 151 участке в равнинных и горных территориях циркумполярной Арктики. Показано, что на изменение границ бóльшее влияние оказывали не температуры воздуха, а количество осадков. Кроме того, важными для продвижения границ древесной растительности оказались не только летние, но и не относящиеся к вегетационному сезону месяцы. Скорость продвижения в широтном направлении существенно различалась по регионам: она была наименьшей в Восточной Канаде (~10 м/год) и наибольшей в регионе, объединившем Фенноскандию, Кольский полуостров и Полярный Урал (~100 м/год). Авторы заключили, что наблюдаемое отсутствие равномерного продвижения древесной растительности и его темпы, значительно уступающие скорости изменения климата, делают маловероятными основанные на равновесных моделях темпы продвижения на север границ экотона лес – тундра, соответствующие прогнозируемой в XXI в. скорости изменения климата (~103–104 м/год).
На территории Большеземельской и Малоземельской тундры (по данным ряда метеостанций Ненецкого автономного округа – НАО) климатические изменения имеют высокие темпы: за последние 35 лет скорость роста среднегодовой температуры воздуха достигла +0.8°С/10 лет [Malkova et al., 2021]. Реакция растительности на потепление, помимо непосредственного влияния температуры воздуха, определяется многими факторами – удлинением вегетационного периода, ускорением таяния снега, колебаниями влажности и глубины оттаивания почвы, температуры почвы в корнеобитаемой зоне и др. [Schuur et al., 2007; Oberbauer et al., 2013; Harris et al., 2021]. В НАО за последние 30 лет годовое число заморозков значимо уменьшилось (на 14-21 день), продолжительность периода вегетации увеличилась в среднем на 2 недели, а сумма накопленного за этот период тепла – в среднем на 85°C [Lavrinenko et al., 2022]; наблюдаются тенденции к увеличению среднего количества атмосферных осадков на 100 мм/год (с 350 до 450 мм) и возрастанию толщины снежного покрова (с 40-50 см в начале века до 70-80 см в последние годы); установлено изменение и других опосредованных, важных для растений показателей – увеличение глубины сезонного талого слоя за последние десять лет, повышение температуры многолетнемерзлых пород и их частичное оттаивание сверху с образованием несквозных таликов [Malkova et.al., 2021].
Такие существенные и продолжительные климатические изменения не могут не сказаться на растительном покрове, хотя, несомненно, ответная реакция растительности имеет период запаздывания, который для границы леса оценивается в несколько десятилетий [Harsch et al., 2009]. Поэтому документированное подтверждение изменения растительного покрова с течением времени и в ответ на потепление климата является исключительно важным.
Граница леса на севере восточноевропейской части России образована елью сибирской Picea obovata и проходит по 67°30ʹ-67°10ʹ с. ш. В разных ландшафтах на местности она представлена и как четкая фронтальная линия (timberline, ≈100 деревьев/га), и как диффузная зона в виде отдельных еловых островов и одиночных деревьев (treeline, ≈1 дерево/га), расположенных перед границей леса.
На территории Большеземельской и Малоземельской тундры ель обнаруживается существенно севернее границы леса, и севернее 68°с. ш., в рефугиумах – местах с благоприятными микроклиматическими и почвенно-грунтовыми условиями. Такие лесные островки на водоразделах тундры отмечали ещё советские геоботаники, изучающие взаимоотношения между лесом и тундрой [Yudin, 1954; 1956]. Происхождение их связано с теплым атлантическим временем голоцена (8-5 тыс. лет назад), когда ель росла на большей части восточноевропейских тундр. С началом cуббореального периода (⁓4.5 тыс. лет назад) произошел наиболее резкий сдвиг границы распространения хвойных деревьев к югу, обусловленный похолоданием и усилившейся нестабильностью климата. Однако изолированные популяции ели сохранились на территории тундры в рефугиумах. Существование ели в течение субатлантического (2.3 тыс. – 200 лет назад) и современного времени можно образно представить в виде локальных очагов, уменьшающих или увеличивающих свою площадь в зависимости от изменений климата. В периоды потеплений происходило расселение деревьев из рефугиумов в тундровые сообщества, а похолодания – их отмирание [Lavrinenko, Lavrinenko, 2003]. В рамках выполнения Международного проекта SPICE (2000-2003 гг.) было показано, что на северном пределе распространения в бассейнах рек Ортина, Море-Ю (Большеземельская тундра) и Нерута (Малоземельская тундра) ель сибирская существует как в форме небольших крайнесеверных островков, занимающих прежнее положение в рельефе со времен голоцена (на водоразделах), так и в виде более южных современных еловых редколесий, оккупировавших наиболее благоприятные местообитания в тундре (долины рек) в течение последних полутора столетий. Названные реки объединяет то, что они текут с юга на север через плато, сложенные мощной толщей песков, отложенных бореальной морской трансгрессией, имевшей место в Микулинское межледниковье, и переотложенных впоследствии ледником [Quaternary glaciations …, 1987; Development of landscapes …, 1993; Andreicheva, 2002]. Господство в этих районах песков, хорошо дренируемых и легко прогревающихся, является одним из основных экологических факторов, определяющих сохранение и распространение здесь деревьев. Кроме того, районы характеризуются холмисто-увалистым или рассеченным рельефом, и, следовательно, наличием склонов, дающих укрытие от холодных ветров. Различия в типе размножения, имеющие место в реликтовых островах и современных еловых редколесьях, обусловливают различия в форме их роста. Современные еловые редколесья в долинах рек по структуре древостоя подобны ельникам лесотундры. Для них характерно, преимущественно, семенное возобновление ели, о чем говорит наличие проростков и разновозрастного подроста. Реликтовые островки представляют собой сближенные группы тонкоствольных деревьев, занимающих возвышенные элементы рельефа на песчаных обнажениях водоразделов – бугры в центральных частях котловин выдувания и внешние части их бортов. Такие деревца, часто имеющие юбочную форму роста, объединены общей корневой системой и представляют собой клоны, образовавшиеся путем вегетативного размножения [Lavrinenko, Lavrinenko, 2004a]. Возраст отдельных стволов диаметром 4.5-6.0 см составляет 60-70 лет, а возраст всей группы может, по-видимому, достигать нескольких сотен лет [Lavrinenko, Lavrinenko, 2003]. Наличие бугров с еловыми островками посреди обширных песчаных обнажений позволяет утверждать, что в прошлом на их месте существовали холмы высотой от нескольких до 10 метров. В благоприятные периоды голоцена холмы были облесены, о чем свидетельствует наличие под еловыми останцами погребенного подзолистого горизонта на глубине 0.5-1.0 м. Его радиоуглеродная датировка в бассейне р. Море-Ю показала среднесуббореальный возраст (3350 лет назад) [Rusanova, Deneva, 2006].
Ранее было предложено [Lavrinenko, Lavrinenko, 1999; 2004b] использовать изолированные еловые острова в тундровой зоне в качестве фитоиндикаторов климатических изменений, и высказано предположение, что они станут «трамплинами» для внедрения в тундровые сообщества деревьев и сопутствующих им таежных видов растений.
Целью этого исследования было повторить спустя 23 года морфометрические измерения деревьев, геоботаническое обследование и сравнительное ландшафтное фотографирование еловых островов, расположенных в западной части Большеземельской тундры (бассейн р. Ортины и мыс Болванский Нос), а также зафиксировать на спутниковом снимке современную границу еловых редколесий в долине р. Ортины.
МАТЕРИАЛЫ И МЕТОДЫ
Геоботанические исследования
В 2000 г. в среднем течении р. Ортины в Большеземельской тундре (подзона южных тундр) было обнаружено и изучено 8 еловых островков (полевые номера – Е1-Е8) на широте N 67°54'-67°56', которые были позиционированы на местности с помощью GPS-навигатора. Минимальное расстояние между этими островками и широтной границей распространения сплошных еловых редколесий, которая на правобережье р. Печоры поднимается на север почти до г. Нарьян-Мара, составляет 40-50 км (Рис. 1).
Рисунок 1. Картосхема районов исследований. Е1-Е8 – еловые островки в бассейне р. Ортины; Е16 – еловый островок на мысе Болванский Нос (справа снимок Sentinel 2A от 11.08.2023 г.); зеленой линией обозначена граница распространения сплошных еловых редколесий (слева мозаика из 4-х снимков Landsat 9 от 15.07.2023 г. и 2.08.2023 г.).
В границах 5-ти островков (границу определяли по проекции на землю нижних веток елей) были выполнены полные геоботанические описания, выявлены все виды (сосудистые, мохообразные, лишайники) с оценкой проективного покрытия (%) в целом, по основным жизненным формам и каждого вида. Поскольку объективно оценить проективное покрытие отдельных видов в процентах проблематично (если это не специальные исследования на площадках), то правильнее использовать шкалу обилия-встречаемости с пределами варьирования. Поэтому проективное покрытие видов переведено в баллы шкалы Браун-Бланке [Becking, 1957]: r – единично; + – менее 1%; 1 – 1-5%; 2а – 6-12%; 2b – 13-25%; 3 – 26-50%; 4 – 51-75%; 5 – 76-100%. В 3-х островках были отмечены лишь доминирующие виды. С помощью рулетки была измерена высота стволов и с помощью штангенциркуля – их диаметр у основания (в островке Е2 – на высоте 50 см). Поскольку деревья в островках растут тесно сближенными группами, представляющими собой клоны, то наиболее высокие и более-менее выровненные по высоте стволы расположены, как правило, в центре группы, а более низкие, представляющие собой укоренившиеся и начавшие расти вертикально ветки, – по периферии группы. Измерения проводили на наиболее высоких деревьях, делали зарисовки групп островков, где их нумеровали, а в примечаниях отмечали особенности измеренных стволов (например, дву- или многовершинность, сухая вершина, ствол внизу искривлен и пр.). Кроме 8-ми островков в бассейне р. Ортины, в 2000 г. был описан еловый островок Е16 в наиболее северной точке (N 68°17') – на мысе Болванский Нос на побережье Печорской губы Баренцева моря (Рис. 1). Зональная растительность (осоково-кустарничково-моховые тундры с пятнами-медальонами) позволяет позиционировать этот район в подзоне типичных тундр, однако из-за близости дельты р. Печоры локальная флора мыса относится к бореальному типу [Lavrinenko et al., 2019]. Результаты изучения структуры и ценофлоры еловых островков были опубликованы [Lavrinenko, Lavrinenko, 2003].
В период с 20 по 30 июля 2023 г. все еловые островки в бассейне р. Ортины были обнаружены и обследованы повторно. В их границах был выявлен полный видовой состав сосудистых растений, мохообразных и лишайников (напочвенных и эпибриофитов) с оценкой проективного покрытия (%) в целом и по основным жизненным формам и баллов обилия-встречаемости по шкале Браун-Бланке для каждого вида. Высоту деревьев измеряли с помощью рулетки, диаметр стволов у основания (в островке Е2 – на высоте 50 см) – с помощью штангенциркуля. Параметры измерены у 48 деревьев в тех же группах, что и в 2000 г. Для всех средних значений вычисляли стандартную ошибку среднего арифметического. Сообщества фотографировали с тех же ракурсов и точек, что и в 2000 г. Кроме того, фотографии островов были сделаны c высоты 10-40 м с помощью БПЛА Mavic-Pro.
В островке на мысе Болванский Нос геоботанические описания с фотографированием сообществ и измерением высоты 6-ти наиболее высоких живых вершинок ели были выполнены в 2000 г. и повторно в 2014 и 2020 гг., а в 2017 г. при кратковременном заезде были сделаны только фотографии.
Номенклатура таксонов сосудистых растений дана по сводке Н.А. Секретаревой [Sekretareva, 2004], мхов – по M.S. Ignatov с соавторами [Ignatov et al., 2006], печеночников – по А.Д. Потѐмкину и Е.В. Софроновой [Potemkin, Sofronova, 2009], лишайников – по R. Santesson с соавторами [Santesson et al, 2004].
Спутниковые снимки
Для определения современной границы еловых редколесий в долине р. Ортины использовали спутниковый снимок Sentinel 2A с пространственным разрешением 10 × 10 м от 11.08.2023 г., для валидизации результатов обработки – снимки более высокого пространственного разрешения из источников с открытым доступом (Google Earth от 09.07.2004 г. и SAS Planet (точная дата не известна, но по косвенным данным он позже 2014 г.)).
Сегментацию ключевого участка спутникового снимка выполнили в программе eCognition Developer на основе спектральных слоев и рассчитанных индексов: три слоя видимого спектра излучения (RGB) и ближний инфракрасный диапазон (NIR), нормализованный вегетационный индекс (NDVI) и нормализованный водный индекс (NDWI). Результаты сегментации экспортировали в ArcGIS, контуры еловых редколесий уточняли, используя снимки Google Earth и SAS Planet.
РЕЗУЛЬТАТЫ И ОБСУЖДЕНИЕ
Сравнительный анализ состава и структуры еловых островов спустя 23 года
Реликтовые еловые островки на водоразделах
Островок Е1 1 расположен на краю высокого коренного правого берега р. Ортины (N 67°56ʹ21.5ʹʹ, E 54°02ʹ26.8ʹʹ) и является самым северным на водоразделе и в целом в бассейне реки. Он состоит из 4-х отстоящих друг от друга островков на периферии обширного (160×100 м) старого песчаного обнажения, заросшего мохово-лишайниково-кустарничковой тундровой растительностью (Рис. П1). Самый большой островок площадью 21×8 м находится на песчаном бугре (2-3 м высотой) и представлен несколькими группами (клонами) тесно расположенных елей (1, 4-6); три других островка-клона представлены плотными группами деревьев 2-3 м в диаметре (2, 3 и 7) на выположенных участках, и отстоят от первого на 7-12 м (Рис. П2). Расстояние между тонкими деревцами в группах – 20-50 (70) см.
В 2000 г. высота 14 измеренных деревьев в 6-ти группах варьировала от 1.4 до 4.0 м со средним значением 2.4±0.2 м, диаметр стволов – от 5.8 до 15.0 см со средним значением 9.0±0.7 см (Таблица 1, Рис. 2а и б). Деревья были угнетены, преобладала юбочная форма роста. Стволы большинства деревьев в срединной части были лишены веток (результат снеговой корразии), имели изогнутую вершину или две (три) вершины (Рис. 3а и б). Часть деревьев довольно давно были срублены на высоте около 70 см (по-видимому, оленеводами в зимний период) и функцию вершины взяли на себя нижние ветки, образовав невысокие деревца с толстыми в основании стволами. Шишки прошлого года висели на нижних ветках, на некоторых очень обильно. На концах многих веток наблюдали оранжевые галлы тли-хермеса (Adelgidae). Деревья были обильно покрыты лишайниками, на лишенных веток стволах преобладала Melanelia septentrionalis, на нижних ветках – Hypogymnia physodes [Лавриненко и Лавриненко, 2003]. Геоботаническое описание было сделано на песчаном бугре в границах елового редколесья злаково-кустарничково-зеленомошного (Таблица 2). Проективное покрытие Picea obovata составляло 50%. В примеси (покрытие 5%) отмечали Betula pubescens subsp. tortuosa с искривленными в нижней части стволами, которая по высоте была чуть ниже ели. Кустарничков (Arctous alpina, Empetrum hermaphroditum, Vaccinium vitis-idaea) было мало (покрытие 10%). Моховой покров не был сомкнут (35 %), бриофиты располагались непосредственно под группами елей, преобладали зеленые мхи (Pleurozium schreberi, Hylocomium splendens) и печеночник Ptilidium ciliare. На песчаных участках между группами деревьев был сформирован травяной покров из Festuca ovina. Всего в островке было выявлено 27 видов, численно преобладали мхи и лишайники.
В 2023 г. высота 14 деревьев в этих же группах варьировала от 3.2 до 4.8 м со средним значением 4.0±0.1 м, диаметр стволов – от 9.5 до 17.5 см со средним значением 12.0±0.7 см (Таблица 1, Рис. 2а и б). Деревья ели значительно (почти в 2 раза) увеличились по высоте, обогнав березу, что хорошо видно на фотоснимках, снятых с тех же ракурсов, что и 23 года назад (Рис. 3в и г). У многих деревьев исчез разрыв между юбкой из нижних ветвей и флаговой вершиной, то есть их кроны стали конусовидными и узкопирамидальными. Увеличилось число стволов в группах. Например, в отдельно стоящей группе Е1.7 в 2000 г. было 15 маленьких (~2.5 м высотой) елочек. В 2023 г. стало 19 стволов (и 1 сухой), из них высокие в центре имели высоту 4.6-4.9 м, а 5 маленьких по периферии – 1.1-1.5 м.
Таблица 1. Высота и диаметр стволов деревьев в еловых островках бассейна р. Ортины при первичном обследовании и спустя 23 года
Номер острова | Номер группы | Высота стволов, м | Диаметр стволов, см | ||
2000 г. | 2023 г. | 2000 г. | 2023 г. | ||
Е1 | 1 | 1.4, 1.8, 2.0, 2.3, 2.3, 2.5 | 3.2, 3.2, 3.5, 3.8 | 6.3, 6.6, 7.2, 7.7, 8.4, 8.6 | 9.6, 9.6, 10.9, 11.3 |
2 | 1.7, 3.2, 3.5, 4.0 | 4.2, 4.3, 4.3, 4.5, 4.8 | 10.5, 11.3, 13.0, 15.0 | 11.8, 13.1, 13.7, 17.5, 17.5 | |
3 | 1.8 | 3.5, 4.6 | 9.2 | 11.8, 12.7 | |
4 | 2.2 | 4.0 | 5.8 | 10.2 | |
5 | 2.5 | 3.7 | 7.2 | 9.5 | |
6 | 3.0 | 4.6 | 9.5 | 13.4 | |
Среднее | 2.4±0.2 | 4.0±0.1 | 9.0±0.7 | 12.0±0.7 | |
Е2 | 5.0, 6.0, 7.0, 8.0, 8.0 | 9.0, 9.0, 10.0, 10.0, 10.0 | 16.0, 21.0, 23.0, 25.0, 25.0 | 20.7, 21.0, 26.1, 29.3, 31.2 | |
Среднее | 6.8±0.6 | 9.6±0.2 | 22.0±1.7 | 25.7±2.1 | |
Е3 | 0.43, 0.47, 0.85, 0.90, 0.90 | 1.2 | 2.1, 2.3, 3.2, 3.7, 4.0 | 4.0 | |
Среднее | 0.7±0.1 | 1.2 | 3.1±0.4 | 4.0 | |
Е4 | 1 | 2.0, 3.5 | 3.8, 5.0 | 3.8, 11.0 | 8.3, 15.6 |
2 | 1.2 | 2.0 | 3.2 | 4.8 | |
3 | 2.8 | 3.3 | 6.9 | 7.3 | |
4 | 4.0 | 6.0 | 14.0 | 19.1 | |
5 | 2.1 | 4.5 | 5.5 | 8.1 | |
6 | 1.4 | 2.0 | 2.9 | 4.8 | |
7 | 2.5 | 4.0 | 7.9 | 9.2 | |
Среднее | 2.4±0.4 | 3.8±0.5 | 6.9±1.4 | 9.6±1.8 | |
Е5 | 1 | 2.6 | 3.7 | 5.6 | 8.3 |
2 | 2.8 | 4.1 | 5.5 | 9.5 | |
3 | 3.3 | 4.0 | 6.2 | 8.3 | |
Среднее | 2.9±0.2 | 3.9±0.1 | 5.8±0.2 | 8.7±0.4 | |
Е6 | 3.8, 4.5 | 6.0, 6.2, 6.2 | 10.5, 14.0 | 12.7, 13.4, 18.8 | |
Среднее | 4.2±0.4 | 6.1±0.1 | 12.3±1.8 | 15.0±0.7 | |
Е7 | 1.4, 1.7, 3.3, 4.2, 5.0 | 2.5, 2.4, 4.5, 5.3, 6.0 | 5.0, 6.0, 8.6, 11.5, 13.2 | 5.1, 8.0, 10.8, 11.1, 19.1 | |
Среднее | 3.1±0.7 | 4.1±0.7 | 8.9±1.6 | 10.8±2.3 | |
Е8 |
| 3.2, 4.5, 5.5, 5.5 | 3.6, 5.5, 7.0, 7.2 | 6.3, 12.0, 12.5, 14.7 | 6.7, 13.4, 16.9, 19.1 |
Среднее | 4.7±0.6 | 5.8±0.9 | 11.4±1.8 | 14.0±2.7 | |
Таблица 2. Видовой состав с обилием видов в реликтовых еловых островках бассейна р. Ортины и на мысе Болванский Нос при первичных и повторных геоботанических описаниях
| Район | р. Ортина | Болванский нос | р. Ортина | ||||||||||
| Дата | 02.07.2000 | 20.07.2023 | 03.07.2000 | 22.07.2023 | 05.07.2000 | 21.07.2023 | 04.07.2000 | 20.07.2023 | 19.07.2000 | 20.07.2014 | 26.07.2020 | 03.07.2000 | 22.07.2023 |
| Широта | 67°56ʹ21.5ʹʹ | 67°54ʹ37.5ʹʹ | 67°55ʹ24.7ʹʹ | 67°56ʹ09.7ʹʹ | 68°17ʹ19.1ʹʹ | 67°55ʹ23.1ʹʹ | |||||||
| Долгота | 54°02ʹ26.8ʹʹ | 54°03ʹ11.8ʹʹ | 54°07ʹ54.5ʹʹ | 54°02ʹ48.0ʹʹ | 54°30ʹ40.0ʹʹ | 54°03ʹ02.3ʹʹ | |||||||
| Проективное покрытие (%), общее | 90 | 100 | 100 | 100 | 90 | 99 | 100 | 100 | 100 | 100 | 100 | 65 | 2 |
| деревьев | 55 | 70 | 30 | 65 | 25 | 65 | 25 | 65 | 30 | 40 | 40 | 3 | <1 |
| кустарников | <1 | <1 | 2 | 10 | 5 | 5 | 10 | 5 | 45 | 40 | 40 | 0 | 0 |
| кустарничков | 10 | 50 | 60 | 40 | 40 | 70 | 30 | 50 | 30 | 30 | 40 | 45 | 1 |
| трав | 15 | <1 | <1 | 25 | 3 | 5 | 5 | 5 | 10 | 15 | 30 | 20 | <1 |
| мохообразных | 35 | 60 | 10 | 30 | 15 | 30 | 30 | 60 | 50 | 55 | 55 | 1 | 0 |
Жизненная форма | лишайников | <1 | 5 | 5 | 10 | 5 | 10 | 3 | <1 | <1 | <1 | <1 | <1 | 0 |
Число видов, всего | 26 | 43 | 43 | 48 | 53 | 60 | 34 | 47 | 39 | 47 | 48 | 17 | 10 | |
деревьев | 2 | 2 | 2 | 2 | 2 | 2 | 2 | 2 | 1 | 1 | 1 | 1 | 1 | |
кустарников | 1 | 1 | 2 | 2 | 2 | 1 | 3 | 3 | 3 | 3 | 3 | 0 | 0 | |
кустарничков | 3 | 3 | 7 | 7 | 3 | 6 | 4 | 5 | 6 | 6 | 6 | 3 | 1 | |
трав | 3 | 8 | 9 | 11 | 9 | 11 | 13 | 17 | 18 | 23 | 21 | 8 | 8 | |
мохообразных | 6 | 10 | 8 | 8 | 10 | 13 | 7 | 9 | 5 | 5 | 6 | 1 | 0 | |
лишайников | 11 | 19 | 15 | 18 | 27 | 27 | 5 | 11 | 6 | 9 | 11 | 4 | 0 | |
Полевой номер елового островка | E1 | E4 | E7 | E5 | Е16 | E3 | ||||||||
| Константные виды кустарничково-зеленомошных ельников | |||||||||||||
д | Picea obovata | 3 | 4 | 3 | 4 | 2b | 3 | 2b | 4 | 3 | 3 | 3 | 1 | + |
д | Betula pubescens subsp. tortuosa | 2a | 2a | + | 1 | 2a | 2b | 1 | 2a | . | . | . | . | . |
кч | Empetrum hermaphroditum | 1 | 2b | 2a | 2b | 2b | 2b | + | 3 | 1 | 1 | 1 | 2b | . |
кч | Arctous alpina | 2a | + | 2a | 1 | 2a | 1 | + | 1 | + | 1 | + | 2b | . |
кч | Vaccinium vitis-idaea | 2a | 3 | 3 | 2b | 2a | 3 | + | 1 | 2a | 1 | 1 | . | . |
м | Pleurozium schreberi | 2b | 3 | 2a | 2b | 2a | 2b | 2b | 2b | 2b | 2b | 2b | . | . |
м | Hylocomium splendens | 2a | 2a | 1 | 2a | + | + | + | 1 | 2b | 3 | 3 | . | . |
п | Ptilidium ciliare | 2a | 2a | + | 2a | + | 1 | + | 2a | + | 1 | 1 | . | . |
к | Betula nana | . | . | + | + | 1 | . | 2a | 1 | 3 | 2b | 2b | . | . |
т | Festuca ovina | 2b | + | + | 1 | 1 | 1 | + | + | 1 | 1 | 1 | 1 | + |
т | Tanacetum bipinnatum | + | r | + | + | + | + | + | + | r | r | r | 1 | + |
л | Cladonia arbuscula | + | + | 1 | 1 | + | 2a | 1 | + | + | + | + | . | . |
л | Cetraria islandica subsp. crispiformis | + | . | + | + | + | + | + | r | r | r | r | + | . |
к | Juniperus sibirica | + | r | + | 2а | + | 1 | + | + | . | . | . | . | . |
м | Dicranum majus | 1 | 1 | + | 1 | + | + | 1 | 1 | . | . | . | . | . |
м | Sanionia uncinata | + | + | + | 1 | + | + | + | + | . | . | . | . | . |
| Виды, постоянные в 1-3 еловых островках | |||||||||||||
л | Flavocetraria cucullata | + | + | 1 | + | + | 1 | . | r | . | . | . | + | . |
л | Peltigera malacea | + | r | + | 1 | + | + | . | . | . | r | + | . | . |
л | P. didactyla | + | r | + | r | + | r | . | . | . | . | . | . | . |
л | Cladonia cornuta subsp. cornuta | + | + | + | + | + | + | . | . | . | . | . | . | . |
л | C. amaurocraea | + | + | . | + | + | + | . | . | . | . | . | . | . |
л | C. chlorophaea | + | r | . | . | + | + | . | r | . | . | . | . | . |
л | C. coccifera | + | + | . | r | + | r | . | r | . | . | . | . | . |
л | C. gracilis subsp. elongata | . | + | + | + | + | + | + | r | . | r | r | . | . |
л | C. uncialis | . | . | + | + | + | + | 1 | r | . | . | . | . | . |
т | Avenella flexuosa | . | . | + | 1 | . | r | 1 | 1 | . | . | . | . | . |
т | Hieracium alpinum | . | r | + | r | . | r | + | + | . | . | . | . | . |
кч | Vaccinium myrtillus | . | . | + | + | . | + | 2b | + | . | . | . | . | . |
кч | V. uliginosum subsp. microphyllum | . | . | + | + | . | . | . | 1 | 2a | 2a | 2a | . | . |
кч | Linnaea borealis | . | . | + | 2b | . | . | . | . | 2a | 2a | 2b | . | . |
кч | Ledum palustre subsp. decumbens | . | . | r | r | . | r | . | . | + | + | + | . | . |
л | Peltigera aphthosa | . | . | + | + | + | . | . | . | + | + | + | . | . |
л | Stereocaulon paschale | . | . | + | r | . | . | . | . | r | r | r | . | . |
л | S. rivulorum | . | . | r | r | . | . | . | . | . | . | . | . | . |
Жизненная форма | Полевой номер елового островка | E1 | E4 | E7 | E5 | Е16 | E3 | |||||||
л | Cladonia maxima | . | . | + | + | . | + | . | . | . | . | . | . | . |
м | Polytrichum juniperinum | . | . | + | 1 | + | + | . | . | . | . | . | . | . |
м | Aulacomnium turgidum | . | . | . | . | 1 | 1 | . | . | . | . | . | . | . |
л | Alectoria nigricans | . | . | . | . | + | + | . | . | . | . | . | . | . |
л | Bryocaulon divergens | . | . | . | . | + | + | . | . | . | . | . | . | . |
л | Flavocetraria nivalis | r | . | r | . | + | + | . | . | . | . | r | . | . |
л | Solorina crocea | . | . | . | . | r | r | . | . | . | . | . | . | . |
л | Stereocaulon alpinum | . | . | r | . | + | + | . | . | . | . | . | r | . |
л | Thamnolia vermicularis | . | . | . | . | + | + | . | . | . | . | . | . | . |
л | Cladonia pleurota | . | r | . | . | r | r | . | . | . | . | . | . | . |
л | C. rangiferina | . | + | . | + | + | + | . | + | + | + | + | . | . |
т | Rubus chamaemorus | . | . | . | . | . | . | + | 1 | . | . | . | . | . |
т | Carex aquatilis subsp. stans | . | . | . | . | . | . | + | + | . | . | . | . | . |
т | Chamaenerion angustifolium | . | . | . | . | . | . | + | + | . | . | . | . | . |
к | Salix glauca | . | . | . | . | . | . | r | r | 2а | 2a | 2b | . | . |
т | Equisetum arvense | . | r | . | . | . | . | + | + | + | 1 | 2a | . | . |
т | Pedicularis lapponica | . | . | . | . | . | . | + | + | + | + | + | . | . |
т | Rubus arcticus | . | . | . | . | . | . | + | + | + | + | r | . | . |
т | Solidago lapponica | . | r | . | r | . | r | r | r | + | + | + | . | . |
м | Polytrichum commune | . | . | . | . | . | . | + | + | + | + | + | . | . |
к | Salix lanata | . | . | . | . | . | . | . | . | + | 2a | 1 | . | . |
т | Bartsia alpina | . | . | . | . | . | . | . | . | + | + | + | . | . |
т | Bistorta elliptica | . | . | . | . | . | . | . | . | r | r | r | . | . |
т | Delphinium elatum | . | . | . | . | . | . | . | . | + | + | 1 | . | . |
т | Diphasiastrum alpinum | . | . | . | . | . | . | . | . | r | r | r | . | . |
т | Festuca rubra subsp. arctica | . | . | . | r | r | . | . | . | + | + | + | . | . |
т | Lycopodium dubium | . | . | . | . | . | . | . | + | 1 | r | + | . | . |
т | Tephroseris integrifolia | . | . | . | . | . | . | . | . | r | r | r | . | . |
т | Stellaria peduncularis | . | . | . | . | . | . | . | . | + | + | r | . | . |
м | Dicranum spadiceum | . | . | . | . | . | . | . | . | + | 1 | 1 | . | . |
л | Cladonia stellaris | . | . | . | . | . | . | . | . | r | r | r | . | . |
т | Calamagrostis lapponica | . | . | . | . | . | . | . | . | . | 1 | 2b | . | . |
т | Poa alpigena | . | . | r | . | . | . | . | . | . | 1 | + | . | . |
т | P. arctica | . | . | . | . | . | . | . | . | . | + | + | . | . |
т | Equisetum scirpoides | . | . | . | . | . | . | . | . | . | r | r | . | . |
л | Peltigera leucophlebia | . | . | . | + | . | . | . | . | . | r | r | . | . |
кч | Salix nummularia | . | . | . | . | . | r | . | . | . | . | . | 2a | 1 |
| В том числе константные травянистые псаммофиты | |||||||||||||
т | Koeleria pohleana | + | r | + | . | + | r | . | . | . | . | . | + | + |
т | Armeria scabra | . | r | + | r | + | r | . | r | . | . | . | 1 | r |
т | Antennaria dioica | . | . | + | r | + | r | + | r | . | . | . | . | . |
т | Campanula rotundifolia | . | r | . | r | r | r | . | r | r | r | r | r | . |
т | Juncus trifidus | . | . | . | . | r | r | . | . | . | . | . | . | . |
т | Rumex graminifolius | . | . | . | . | r | r | . | . | . | . | . | r | r |
т | Polemonium boreale | . | . | + | r | . | . | + | . | . | + | r | + | + |
т | Achillea millefolium | . | . | . | r | . | . | . | . | . | . | . | 1 | r |
| Не постоянные виды | |||||||||||||
т | Trientalis europaea | . | . | . | . | . | . | . | + | . | . | r | . | . |
м | Ceratodon purpureus | . | . | . | r | r | . | . | . | . | . | . | . | . |
м | Pohlia nutans | . | + | r | . | . | r | . | . | . | . | . | . | . |
м | Polytrichum piliferum | . | . | . | . | . | + | . | + | . | . | . | 1 | . |
м | Rhytidiadelphus triquetrus | . | 1 | . | . | . | . | . | + | . | . | . | . | . |
л | Cetraria islandica subsp. islandica | . | . | . | . | r | . | . | + | . | . | . | . | . |
л | Cladonia fimbriata | . | r | . | + | . | r | . | . | . | . | . | . | . |
л | C. cenotea | . | r | . | . | . | r | . | . | . | . | . | . | . |
л | C. deformis | . | + | . | . | . | . | . | . | . | . | r | . | . |
Жизненная форма | Полевой номер елового островка | E1 | E4 | E7 | E5 | Е16 | E3 | |||||||
л | C. botrytes | r | . | . | . | . | . | . | . | . | . | . | . | . |
л | Sphaerophorus globosus | . | + | . | . | . | r | . | . | . | . | . | . | . |
м | Cynodontium strumiferum | . | + | . | . | . | . | . | . | . | . | . | . | . |
м | Dicranum fuscescens | . | 1 | . | . | . | . | . | . | . | . | . | . | . |
м | Ptilium crista-castrensis | . | + | . | . | . | . | . | . | . | . | . | . | . |
л | Cladonia cornuta subsp. groenlandica | . | r | . | . | . | . | . | . | . | . | . | . | . |
л | C. cyanipes | . | r | . | . | . | . | . | . | . | . | . | . | . |
л | C. scabriuscula | . | r | . | . | . | . | . | . | . | . | . | . | . |
л | Ochrolechia frigida | . | r | . | . | . | . | . | . | . | . | . | . | . |
л | Peltigera membranacea | . | . | r | . | . | . | . | . | . | . | . | . | . |
л | P. scabrosa | . | . | . | + | . | . | r | . | . | . | . | . | . |
м | Leptobryum pyriforme | . | . | . | . | r | . | . | . | . | . | . | . | . |
л | Alectoria ochroleuca | . | . | . | . | r | . | . | . | . | . | . | . | . |
л | Baeomyces carneus | . | . | . | . | r | . | . | . | . | . | . | . | . |
л | Baeomyces placophyllus | . | . | . | . | r | . | . | . | . | . | . | . | . |
л | Cladonia pyxidata | . | . | . | . | r | . | . | . | . | . | . | . | . |
л | C. verticillata | . | . | . | . | r | . | . | . | . | . | . | . | . |
л | Peltigera rufescens | . | . | . | . | r | . | . | . | . | . | . | . | . |
м | Dicranum flexicaule | . | . | . | . | . | + | . | . | . | . | . | . | . |
м | D. scoparium | . | . | . | . | . | + | . | . | . | . | . | . | . |
м | Tetraplodon mnioides | . | . | . | . | . | r | . | . | . | . | . | . | . |
л | Cladonia crispata var. cetrariiformis | . | . | . | . | . | r | . | . | . | . | . | . | . |
л | C. macrophylla | . | . | . | . | . | r | . | . | . | . | . | . | . |
л | C. rei | . | . | . | . | . | r | . | . | . | . | . | . | . |
л | C. stygia | . | . | . | . | . | r | . | . | . | . | . | . | . |
л | C. phyllophora | . | . | . | . | . | . | . | r | . | . | . | . | . |
т | Veratrum lobelianum | . | . | . | . | . | . | . | r | . | . | . | . | . |
л | Peltigera polydactylon | . | . | . | . | . | . | . | r | . | . | . | . | . |
т | Adoxa moschatellina | . | . | . | . | . | . | . | . | + | + | . | . | . |
т | Equisetum pratense | . | . | . | . | . | . | . | . | 1 | 1 | . | . | . |
т | Luzula multiflora subsp. frigida | . | . | . | . | . | . | . | . | r | r | . | . | . |
м | Rhytidium rugosum | . | . | . | . | . | . | . | . | . | . | + | . | . |
л | Cetraria aculeata | . | . | . | . | . | . | . | . | . | . | . | r | . |
т | Festuca sabulosa | . | . | . | . | . | . | . | . | . | . | . | . | + |
п | Liverwort | + | . | + | + | + | + | + | 2b | . | . | . | . | . |
Примечание. Полужирным шрифтом выделены баллы обилия, изменившиеся на 2 и более пункта. Здесь и в Таблице 3 жизненные формы: д – дерево, к – кустарник, кч – кустарничек, т – трава, м – мох, п – печеночник, л – лишайник.
Рисунок 2а и б. Параметры стволов ели в еловых островках Е1-Е8 в 2000 и 2023 гг.: а – высота, м; б – диаметр, см.
Рисунок 3а-г. Еловый островок Е1: а и б – 2000 г., вид с южной и восточной стороны, соответственно; в и г – 2023 г., вид с тех же позиций.
Скорость роста ели в защищенных условиях можно оценить по отдельно растущему деревцу с южной стороны бугра (на Рис. 3а и 5в оно промаркировано красной линией). Это тоже укоренившаяся ветка, у которой в 2000 г. ствол (0.7 м высотой) был дугообразно изогнут в нижней части. В 2023 г. высота его составила 3 м (верхушечный прирост этого года 37 см), диаметр нижней юбки 2.4 м, ее высота 0.5 м. Над юбкой ствол на протяжении 0.9 м лишен веток, а выше имеет густую крону.
Несмотря на обилие шишек прошлого и этого года на ветках, а также на земле, новых деревьев ели семенного происхождения не обнаружено, все вновь появившиеся деревца имеют тесную связь со своей группой, и есть не что иное, как засыпанные песком и укоренившиеся нижние ветки, начавшие расти вверх.
За 23 года на песчаном бугре сформировался ельник кустарничково-зеленомошный с проективным покрытием деревьев 70%, преобладает Picea obovata (60%), в примеси Betula pubescens subsp. tortuosa (10%) (Таблица 2). Под ветками и между деревьями сформировался сплошной кустарничково-моховой покров. В кустарничковом ярусе (покрытие 10%) содоминируют Vaccinium vitis-idaea и Empetrum hermaphroditum. Моховой покров толстый, густой (60%) с доминированием Pleurozium schreberi, с меньшим обилием растут Hylocomium splendens и Ptilidium ciliare. Всего выявлено 43 вида. Альфа разнообразие в сообществе стало выше в основном за счет малообильных лишайников, мхов и псаммофильных трав. В частности, выявлены бореальные мхи Ptilium crista-castrensis и Rhytidiadelphus triquetrus.
Следует отметить сильно изменившийся за 23 года окружающий ландшафт – вокруг елового острова стало много молодых деревьев и подроста почти прямоствольной Betula pubescens subsp. tortuosa.
Островок Е4 (N 67°54ʹ37.5ʹʹ, E 54°03ʹ11.8ʹʹ) расположен на водоразделе, на примыкающей к озеру песчаной котловине выдувания 130 м диаметром. Он состоит из 5-ти отстоящих друг от друга островков различной формы, приуроченных к внешним пологим и крутым бортам котловины. Самый большой островок площадью 25×17 м в свою очередь представлен 12 группами (клонами) тесно расположенных елей (Рис. 4а, П3, П4). В 2000 г. в каждой группе было по ⁓15-50 очень сближенных (расстояние между стволами 20-50 (70) см) невысоких тонкоствольных деревьев. Нижние укоренившиеся ветки по периферии клонов имели длину до 1.7 м при высоте деревца 1.8 м.
Рисунок 4а-г. Еловый островок Е4: а и б – 2000 г., вид с юго-западной стороны на большой островок (а) и с юго-восточной стороны на группу 7 (б); в и г – 2023 г., вид с тех же позиций.
Рисунок 5а-г. Еловый островок Е7: а и б – 2000 г., фото сделано с западной стороны, с островка Е6 (а) и вблизи (б); в и г – 2023 г., вид с тех же позиций.
В 2000 г. высота 8 измеренных деревьев в 7-ми группах варьировала от 1.2 до 4.0 м со средним значением 2.4±0.4 м, диаметр стволов – от 2.9 до 14.0 см со средним значением 6.9±1.4 см (Таблица 1, Рис. 2а и б). Наиболее высокие и толстоствольные деревья находились в группе 4 с южной стороны большого островка. В отдельно расположенной группе 7 ель имела преимущественно стланиковую форму роста с невысокими стволами, лишенными веток и хвои на большей своей части (Рис. 4б). Геоботаническое описание было сделано в границах большого островка (Таблица 2). В горизонтальной структуре было хорошо выражено фитогенное влияние групп елей на напочвенный покров. Из-за высокой сомкнутости деревьев группы внутри были мертвопокровными, по их периферии под нижними ветками елей сформирован кустарничково-моховой покров, а на полянках между группами – преимущественно кустарничковый с небольшим участием лишайников. Проективное покрытие Picea obovata составляло 30%, кустарничков (Arctous alpina, Empetrum hermaphroditum, Vaccinium vitis-idaea) – 60%. Всего в островке было выявлено 43 вида, численно преобладали лишайники.
В 2023 г. высота 8 измеренных деревьев ели в этих же группах варьировала от 2.0 до 6.0 м со средним значением 3.8±0.5 м, диаметр стволов – от 4.8 до 19.1 см со средним значением 9.6±1.8 см (Таблица 1, Рис. 2а и б). Деревья значительно (в 1.5 раза) увеличились по высоте, что хорошо видно на фотоснимке, снятом с того же ракурса, что и 23 года назад (Рис. 4в). Часть групп в большом островке сомкнулись между собой, и стало трудно определить их границы. Елочки в группе 7, высота которых в 2000 г. не превышала 0.6 м (Рис. 4б), на текущий момент достигли 1.7 м высоты и жизненность их значительно улучшилась, у многих форма кроны цилиндрическая с хорошо сформированной юбкой (Рис. 4г).
Несмотря на обилие мужских и женских шишек на ветках и прошлогодних шишек на земле, новых деревьев семенного происхождения в окружающем ландшафте не обнаружено. Ель по-прежнему активно размножается вегетативно укоренением нижних ветвей, особенно с южной стороны островка, защищенной от холодных северных ветров. Здесь отмечается густая стена из молодых деревьев высотой от менее 0.5 м (еще приподнимающихся) до более 2.0 м (прямостоячих). Это способствует увеличению площади островка в южном направлении.
За 23 года покрытие Picea obovata в большом островке увеличилось в 2 раза – до 60%, также больше стало Betula pubescens subsp. tortuosa (5%) и Juniperus sibirica (10%) (Таблица 2). Моховой покров вокруг групп елей довольно мощный (30%) с доминированием Pleurozium schreberi и меньшим обилием Hylocomium splendens и Ptilidium ciliare. На полянках очень сильно разрослась Linnaea borealis, почти полностью захватив все пространство вместе с Empetrum hermaphroditum и Vaccinium vitis-idaea. Поскольку к еловому островку примыкает песчаное обнажение, на периферии поселяются единичные псаммофильные травы. Всего выявлено 48 видов, альфа разнообразие сопоставимо с 2000 г.
В окружающем ландшафте стало много молодых прямоствольных деревьев и поросли Betula pubescens subsp. tortuosa.
Островок Е7 (N 67°55ʹ24.7ʹʹ, E 54°07ʹ54.5ʹʹ) расположен на водоразделе на удалении 4.3 км на запад от р. Ортины и приурочен к высокому (⁓5 м высотой) песчаному бугру (17×30 м в поперечнике) с крутыми склонами и плоской вершиной, который окружен небольшой котловиной выдувания (Рис. П5, П6). В 2000 г. деревья росли по склонам бугра, превышая его высоту на 1.0-1.5 м (Рис. 5а и б). Высота 5 измеренных деревьев на склонах разных экспозиций варьировала от 1.4 до 5.0 м со средним значением 3.1±0.7 м, диаметр стволов – от 5.0 до 13.2 см со средним значением 8.9±1.6 см (Таблица 1, Рис. 2а и б). Форма роста и размеры деревьев сильно различались в зависимости от экспозиции склона. На северном склоне значительная площадь была занята елью стланиковой формы, тогда как с южной стороны высота деревьев достигала 5.0 м. На склонах в березово-еловом редколесье был сформирован кустарничково-зеленомошный покров, на плоской вершине – кустарничково-лишайниковая тундра с отдельными куртинами елового стланика. Геоботаническое описание сделано в пределах всего бугра (Таблица 2). Проективное покрытие Picea obovata оценено в 15%, Betula pubescens subsp. tortuosa – 10%, кустарничков (Arctous alpina, Empetrum hermaphroditum, Vaccinium vitis-idaea) – 40%. Всего в островке было выявлено 53 вида, численно преобладали лишайники. На вершине было старое зарастающее место от костра, вокруг которого росли антропофильные мхи Ceratodon purpureus и Leptobryum pyriforme, а также накипные лишайники Baeomyces carneus, B. placophyllus. На бугре устроены многолетние норы песцов со множеством отнорков.
В 2023 г. высота 5 измеренных стволов ели на тех же склонах варьировала от 2.5 до 6.0 м со средним значением 4.1±0.7 м, диаметр стволов – от 5.1 до 19.1 см со средним значением 10.8±2.3 см (Таблица 1, Рис. 2а и б). Высота деревьев увеличилась в среднем на 1 м, что хорошо видно при сравнении фотоснимков разных лет, где красной линией обозначена высота рядом стоящего человека (Рис. 5а и в). Жизненность ели спустя 23 года значительно увеличилась только на южном склоне, где под защитой бугра высокие деревья (до 6 м высотой) имеют пышные конусовидные кроны. Тогда как с северной стороны еловый стланик растет на том же самом месте, а деревца, хоть и подросли, но по-прежнему тонкие и чахлые. На восточном крутом склоне ели прямоствольные, ⁓3.5 м высотой, а на пологом западном – сформировался густой березняк. На плоской вершине бугра с кустарничково-лишайниковой тундрой стланик ели на площади 2 м2 почти весь лишен хвои. На южном склоне и поныне много старых и свежих песцовых отнорков.
За 23 года проективное покрытие Picea obovata увеличилось до 40%, а Betula pubescens subsp. tortuosa – до 20%, стало больше Juniperus sibirica (⁓5 %) (Таблица 2). Под деревьями на склонах сформирован кустарничково-зеленомошный покров с доминированием Vaccinium vitis-idaea и Pleurozium schreberi. На вершине в кустарничково-лишайниковом сообществе доминируют Empetrum hermaphroditum и Cladonia arbuscula. Всего обнаружено 60 видов. Флористический состав в целом стабилен, его варьирование, по сравнению с 2000 г., связано в основном с единичными споровыми растениями.
Окружающий ландшафт сильно изменился, вокруг бугра на месте ерниковой тундры сформировался парковый березняк.
Островок Е5 (N 67°56ʹ09.7ʹʹ, E 54°02ʹ48.0ʹʹ) расположен на остаточной морской террасе (пологое песчаное возвышение ⁓50 м диаметром), окруженной подковообразной старицей на правобережье р. Ортины (Рис. П7, П8). В 2000 г. на этом фрагменте террасы было сформировано кустарничково-лишайниковое сообщество и росло несколько раскидистых искривленных деревьев Betula pubescens subsp. tortuosa. Еловый островок занимал небольшую площадь на западном пологом склоне и состоял из 3-х отстоящих друг от друга групп низкорослых деревьев (Рис. 6а и б). Они имели юбку из нижних веток и узкопирамидальную или флаговую вершину, на высоте 1.0-1.2 м ветки отсутствовали (результат снеговой корразии).
Рисунок 6а-г. Еловый островок Е5: а и б – 2000 г., фото сделано с северной (а) и западной (б) стороны; в и г – 2023 г., вид с тех же позиций.
В 2000 г. в каждой более-менее выровненной по высоте группе было измерено по одному дереву. Высота варьировала от 2.6 до 3.3 м со средним значением 2.9±0.2 м, диаметр стволов – от 5.5 до 6.2 см со средним значением 5.8±0.2 см (Таблица 1, Рис. 2а и б).
Вокруг первой группы на возвышении был сформирован кустарничково-лишайниково-моховой покров с доминированием Pleurozium schreberi, вокруг ниже расположенных второй и третьей групп – ерник (1.0-1.2 м высотой) травяно-мохово-черничный. В нижней части склона островок граничит с заболоченным сообществом на берегу старицы. Геоботаническое описание сделано в границах всего островка (Таблица 2). Проективное покрытие Picea obovata оценено в 20%, Betula pubescens subsp. tortuosa – 5%, Betula nana – 10%, кустарничков (доминировала Vaccinium myrtillus) – 30%. Всего в островке было выявлено 34 вида, численно преобладали травы с разной экологией. На ветках елей висели прошлогодние шишки.
В 2023 г. площадь елового островка составила 11.3×7.2 м. Группа 1 состоит из 26 сближенных стволов от 1.5 до 3.7 м высотой, одного срубленного на высоте 50 см и одного сухого (1 м высотой). Группа 2 состоит из 8 елей от 2.6 до 4.1 м высотой, группа 3 – из 9 елей от 2.9 до 4.0 м высотой. Все деревья тонкоствольные, с узкопирамидальной кроной, которая в группах 2 и 3 начинается на высоте ⁓1 м, с шишками прошлого и нынешнего года. Средняя высота 3-х измеренных деревьев в группах – 3.9±0.1м, диаметр стволов – 8.7±0.4 см (Таблица 1, Рис. 2а и б). За 23 года высота деревьев увеличилась в среднем на 1 м, улучшилась их жизненность, что хорошо видно при сравнении фотоснимков разных лет (Рис. 6а-г).
Проективное покрытие Picea obovata увеличилось до 65%, а Betula pubescens subsp. tortuosa – до 10% (Таблица 2). Напочвенный покров в группах по-прежнему различается. В группе 1 он кустарничково (Empetrum hermaphroditum, Vaccinium vitis-idaea)-моховой с иван-чаем и хвощем; в группе 2 и 3 – кустарничково (Empetrum hermaphroditum, Vaccinium myrtillus, V. uliginosum subsp. microphyllum)-морошково-моховой. В кустарничковом ярусе в пределах всего острова изменились доминанты, чернику Vaccinium myrtillus вытеснила вороника Empetrum hermaphroditum. Всего обнаружено 47 видов, по числу видов преобладают травянистые растения и лишайники.
Прирост этого года на верхушках деревьев составил 10-12 см, на ветках – 7 см. Хвоя на центральной ветке держится 11 лет. В верхней части кроны много шишек прошлого года и зеленых.
Островок Е6 (N 67°55ʹ23.0ʹʹ, E 54°07ʹ46.7ʹʹ) расположен на водоразделе на краю небольшого (1.5 м высотой и 10 м диаметром) песчаного бугра (Рис. П6, П9) в 90 м на юго-запад от Е7. В 2000 г. он представлял собой одну группу из 8 деревьев примерно одинаковой высоты (3.5-4.5 м) и диаметра, у которых в нижней части стволов на высоте от 0.5 до 1.5 м отсутствовали ветки (Рис. 7а и б). Вокруг были одно деревце ⁓2 м и маленькие деревца 0.3–0.7 м высотой – это растущие вверх укоренившиеся ветки. Три из них были со сломанными вершинками и лишены коры, по-видимому, в результате воздействия оленей (они трутся рогами, когда сбрасывают с них кожу). В 2000 г. было измерено два дерева, средняя высота составила 4.2±0.4 м, средний диаметр стволов – 12.3±1.8 см (Таблица 1, Рис. 2а и б). Геоботаническое описание не делали, но отметили, что под группой елей сформирован травяно (Festuca ovina, Lycopodium sp.)-моховой (Pleurozium schreberi, Dicranum sp.) покров, а на бугре вокруг елей – кустарничково-травяно-лишайниковая тундра с Betula nana и B. pubescens subsp. tortuosa.
В 2023 г. в группе по-прежнему сохранилось 8 больших деревьев, вокруг которых растет одно деревце ⁓3 м и 8 – ⁓1 м высотой, а также многочисленные приподнимающиеся нижние ветки с прямостоячими верхушками (0.2-0.4 м высотой), уже перекрытые и отделенные от материнского дерева кустарничково-моховым покровом. Размеры елового островка (по нижним веткам) – 8.8×5.8 м. Средняя высота трех измеренных деревьев составила 6.1±0.1 м, диаметр стволов варьировал от 12.7 до 18.8 см со средним значением 15.0±0.7 см (Таблица 1, Рис. 2а и б). Деревья значительно (в 1.5 раза) увеличились по высоте, что хорошо видно на фотоснимке, снятом с того же ракурса, что и 23 года назад (Рис. 7а и в). Внутри группы напочвенный покров частично отсутствует (только хвоя), вокруг под внешними ветками – хорошо развитый кустарничково-моховой покров с доминированием Vaccinium vitis-idaea, Arctous alpina, Linnaea borealis и Pleurozium schreberi (Таблица 3). Число видов невелико – 20, т. к. площадь островка небольшая. Отмечено обилие мужских стробил на нижних ветках и маленьких деревьях.
Таблица 3. Видовой состав с обилием видов в еловых островках бассейна р. Ортины, описанных в 2023 г.
Район | р. Ортина | |||
Дата | 21.07.2023 | 28.07.2023 | 23.07.2023 | |
Широта | 67°55ʹ23.0ʹʹ | 67°55ʹ34.4ʹʹ | 67°55ʹ53.0ʹʹ | |
Долгота | 54°07ʹ46.7ʹʹ | 54°11ʹ06.1ʹʹ | 54°01ʹ55.6ʹʹ | |
Проективное покрытие (%), общее | 100 | 100 | 100 | |
деревьев | 80 | 90 | 80 | |
кустарников | <1 | 5 | 10 | |
кустарничков | 20 | 20 | 25 | |
трав | 5 | 5 | 30 | |
мохообразных | 80 | 20 | 40 | |
лишайников | <1 | <1 | <1 | |
Жизненная форма | Число видов, всего | 20 | 28 | 40 |
деревьев | 1 | 1 | 2 | |
кустарников | 2 | 1 | 5 | |
кустарничков | 3 | 4 | 4 | |
трав | 5 | 11 | 18 | |
мохообразных | 5 | 7 | 7 | |
лишайников | 4 | 4 | 4 | |
Полевой номер елового островка | E6 | E8 | E2 | |
Константные виды кустарничково-зеленомошных ельников | ||||
д | Picea obovata | 5 | 5 | 5 |
к | Juniperus sibirica | r | 1 | 2a |
кч | Vaccinium vitis-idaea | 2b | 2b | 2b |
кч | Linnaea borealis | 1 | 1 | 1 |
м | Pleurozium schreberi | 4 | 2a | 1 |
м | Hylocomium splendens | + | 2a | 2b |
м | Dicranum majus | + | + | + |
т | Trientalis europaea | + | . | + |
м | Sanionia uncinata | 1 | . | + |
л | Cladonia fimbriata | r | . | r |
т | Festuca rubra subsp. arctica | . | r | + |
т | Tanacetum bipinnatum | . | r | r |
л | Peltigera aphthosa | . | + | r |
Виды в реликтовых еловых островках на водоразделе | ||||
кч | Arctous alpina | 1 | + | . |
т | Festuca ovina | 1 | + | . |
т | Avenella flexuosa | + | r | . |
п | Ptilidium ciliare | + | 2a | . |
л | Cladonia arbuscula | + | r | . |
к | Betula nana | + | . | . |
т | Calamagrostis neglecta | + | . | . |
т | Rubus chamaemorus | r | . | . |
л | Cladonia chlorophaea | r | . | . |
л | C. gracilis subsp. elongata | r | . | . |
кч | Empetrum hermaphroditum | . | 1 | . |
т | Calamagrostis lapponica | . | + | . |
т | Equisetum sylvaticum | . | [+] | . |
м | Ceratodon purpureus | . | r | . |
м | Pohlia nutans | . | r | . |
л | Cladonia scabriuscula | . | r | . |
л | C. stygia | . | r | . |
в том числе травянистые псаммофиты | ||||
т | Achillea millefolium | . | r | . |
т | Antennaria dioica | . | r | . |
т | Campanula rotundifolia | . | r | . |
т | Hieracium alpinum | . | + | . |
т | Juncus trifidus | . | r | . |
т | Koeleria pohleana | . | r | . |
п | Liverwort | . | 1 | . |
Жизненная форма | Полевой номер елового островка | E6 | E8 | E2 | |
Виды в долинном еловом островке | |||||
д | Betula pubescens subsp. tortuosa | [+] | . | 2a | |
т | Equisetum pratense | . | . | 2a | |
т | Adoxa moschatellina | . | . | 1 | |
т | Chamaenerion angustifolium | . | . | 1 | |
м | Rhytidiadelphus triquetrus | . | . | 2b | |
к | Lonicera pallasii | . | . | + | |
кч | Vaccinium myrtillus | . | . | + | |
кч | V. uliginosum subsp. microphyllum | . | . | + | |
к | Salix glauca | . | . | + | |
к | S. hastata | . | . | r | |
к | S. phylicifolia | . | . | + | |
т | Bistorta elliptica | . | . | r | |
т | B. vivipara | . | . | r | |
т | Bromopsis inermis | . | . | r | |
т | Carex quasivaginata | . | . | + | |
т | Delphinium elatum | . | . | r | |
т | Moehringia lateriflora | . | . | r | |
т | Orthilia obtusata | . | . | r | |
т | Solidago lapponica | . | . | + | |
т | Tephroseris integrifolia | . | . | r | |
т | Valeriana wolgensis | . | . | + | |
т | Veratrum lobelianum | . | . | r | |
т | Viola biflora | . | . | r | |
м | Mnium spinosum | . | . | r | |
м | Sciuro-hypnum reflexum | . | . | + | |
л | Cladonia cornuta subsp. cornuta | . | . | r | |
л | C. sulphurina | . | . | r | |
Примечание. В квадратные скобки взято обилие вида, растущего в непосредственной близости от островка.
Окружающий ландшафт вокруг островка за 23 года изменился (Рис. 7б и г), стало много Betula pubescens subsp. tortuosa. В 2000 г. кроны берез были срезаны на высоте ⁓1 м (результат снеговой корразии), и лишь отдельные тонкие стволики поднимались выше, до 2.0-2.5 м. Сейчас это большие (3.5-4.0 м высотой) почти прямоствольные полностью облиственные деревья.
Островок Е8 (N 67°55ʹ24.7ʹʹ, E 54°07ʹ54.5ʹʹ) расположен на краю коренного берега руч. Быкшор на юго-западном склоне песчаного бугра, к которому с севера примыкает котловина выдувания (Рис. П10, П11). В 2000 г. островок состоял из одной группы тесно сближенных ⁓10 деревьев разного возраста (Рис. 8а). Несколько стволов были срублены, рядом находилось место от костра. Ели имели хорошо сформированные юбки из нижних ветвей (длиной более 2 м), выше которых на протяжении 1.0-1.5 м стволы были почти лишены веток, выше имели рыхлую или флаговую вершину. В нижнем ярусе росли кустарнички (Vaccinium vitis-idaea, Arctous alpina, Empetrum hermaphroditum) и Festuca ovina, рядом с островком – кусты можжевельника Juniperus sibirica. Высота деревьев варьировала от 3.2 до 5.5 м со средним значением 4.7±0.6, диаметр стволов – от 6.3 до 14.7 см со средним значением 11.4±1.8 см (Таблица 1, Рис. 2а и б). Отмечено, что в долине ручья был сформирован ерник травянистый с примесью можжевельника и Betula pubescens subsp. tortuosa.
В 2023 г. островок состоял из 8 больших елей в центре и ⁓20 более низких молодых – по периферии. Большие деревья многовершинные, у некоторых стволы почти от основания раздвоены, у молодых – дугообразные в нижней части (бывшие ветки). Высота 4 измеренных стволов ели варьировала от 3.6 до 7.2 м со средним значением 5.8±0.9, диаметр стволов – от 6.7 до 19.1 см со средним значением 14.0±2.7 см (Таблица 1, Рис. 2а и б). Высота самых больших деревьев увеличилась на 1.5 м, их кроны стали более пышными, что хорошо видно при сравнении фотоснимков разных лет (Рис. 8а и б). Еловый остров внутри мертвопокровный (только хвоя и единичные побеги Vaccinium vitis-idaea), вокруг под нижними ветками сформирован кустарничково-моховой покров с доминированием Vaccinium vitis-idaea, Pleurozium schreberi, Hylocomium splendens и Ptilidium ciliare (Таблица 3). С южной стороны островок окружен густыми зарослями Juniperus sibirica. Видов всего – 28, включая единичные особи псаммофильных трав. Прирост этого года на боковых ветках ели составил 4-6 см, у молодых деревьев на верхушках – 10-20 см, с южной стороны – до 25 см. Хвоя на нижних ветках держится 14 лет.
За 23 прошедших года долина ручья и депрессия вокруг озера, из которого он берет начало, сильно «позеленели» за счет увеличения высоты и сомкнутости кустарников (Betula nana, Juniperus sibirica, Salix spp.) и березы Betula pubescens subsp. tortuosa (Рис. 8а и б).
Островок Е3 (N 67°55ʹ23.1ʹʹ, E 54°03ʹ02.3ʹʹ) в 2000 г. был расположен на песчаном бугре (⁓5 м высотой и ⁓25 м диаметром) в центральной части обширной песчаной котловины выдувания южнее руч. Быкшор (Рис. 9а, П12, П13). Он состоял из 6-ти маленьких (1-2 м в поперечнике) групп елей, представленных в основном стлаником с единичными невысокими (менее 1 м) стволиками, на верхушках лишенными хвои (Рис. 9б). Одна группа находилась на верхней площадке размеров 3×5 м, а остальные располагались ступенчато на пологом юго-западном склоне. На вершине бугра и на склонах было много песцовых отнорков. На глубине больше 1 м от вершины прослеживался хорошо сформированный горизонт погребенного подзола. Высота 5-ти измеренных стволиков варьировала от 0.43 до 0.90 м со средним значением 0.7±0.1 м, диаметр от 2.1 до 4.0 см, в среднем 3.1±0.4 см (Таблица 1, Рис. 2а и б). Геоботаническое описание было выполнено в пределах бугра. Общее проективное покрытие составляло 65%, 45% приходилось на кустарнички (Arctous alpina, Empetrum hermaphroditum, Salix nummularia) и 20% – на псаммофильные травы (Armeria scabra, Festuca ovina, Tanacetum bipinnatum и др.), отмечены мох Polytrichum piliferum и единичные лишайники. Покрытие ели было оценено в 3%. Всего было выявлено 17 видов растений (Таблица 2). Активно происходили процессы дефляции и переноса песка.
В 2023 г. песчаный бугор оказался сильно разрушен, осталось пологое возвышение размером 16×13 м и высотой 1.5 м по сравнению с окружающим обнажением песка (Рис. 9в). Тем не менее, группы живого стланика ели и 1 стволик с хвоей на верхушке сохранились с западной и юго-западной стороны, куда преимущественно переносит песок (Рис. 9г). На северо-востоке, где была вершина бугра, осталась мертвая древесина. Здесь же отмечены фрагменты перевернутой дернины злаков (Festuca spp.). На почвенном разрезе на глубине 23-28 см обнаружен слой суглинка. По-видимому, он удерживает бугор от дальнейшего раздувания и способствует существованию ели. Высота единственного стволика с живой вершиной – 1.2 м, диаметр – 4.0 см. Прирост этого года на ветках – 0.5 см. Общее проективное покрытие растительности составило 2%. Кроме ели, отмечены кустарничек Salix nummularia и единичные псаммофильные травы (Festuca ovina, F. sabulosa, Koeleria pohleana и др.), всего 10 видов (Таблица 2).
Рисунок 9а-г. Еловый островок Е3: а и б – 2000 г., общий вид на песчаный бугор (а) и группы елей на ступенчатых склонах (б); в и г – 2023 г., вид с тех же позиций.
Крайнесеверный еловый остров в долине р. Ортины
Остров Е2 (N 67°55ʹ53.0ʹʹ, E 54°01ʹ55.6ʹʹ) находится на краю надпойменной террасы на левом берегу р. Ортины (Рис. П14). Это самый северный, изолированный от границы редколесий, еловый остров в долине реки. В 2000 г. он состоял из 17 больших деревьев до 8 м высотой и нескольких более молодых 2.5-4 м высотой (Рис. 10а, б). Несколько стволов были когда-то срублены на высоте 1.0-1.5 м и новые вершины образовались из боковых веток. У 6-ти измеренных деревьев высота варьировала от 5 до 8 м со средним значением 6.8±0.6 м, диаметр стволов (на высоте 50 см) – от 16 до 25 см, в среднем 22.0±1.7 см (Таблица 1, Рис. 2а и б). Напочвенный покров кустарничково (Vaccinium vitis-idaea)-травяно (Adoxa moschatellina, Equisetum pratense, Valeriana wolgensis, Veratrum lobelianum)-зеленомошный (Hylocomium splendens, Rhytidiadelphus triquetrus). Ельник был окружен березовым редколесьем с кустарниками Juniperus sibirica и Salix spp. Рядом с елями росли единичные особи жимолости Lonicera pallasii и рябины Sorbus gorodkovii.
Рисунок 10а-г. Еловый островок Е2: а и б – 2000 г., фото с южной стороны; в и г – 2023 г., вид с тех же позиций.
В 2023 г. в острове просматриваются 3 группы елей из 13, 6 и 3 деревьев. Они достигают 9-10 м высоты, но есть и более низкие ⁓8 м (Рис. 10в и г). Деревья имеют пышные конусовидные кроны, ветки на стволах располагаются до самой земли (длина нижних – до 2.3 м), среди них есть укоренившиеся по периферии острова. Средняя высота 5-ти измеренных стволов составила 9.6±0.2 м при среднем диаметре (на высоте 50 см) – 25.7±2.1 см. Хвоя на ветках держится 9 лет, на одной ветке был измерен прирост по годам, он равен 8.0, 5.0, 5.5, 5.0, 4.0, 4.0, 3.0, 5.0, 5.0 см. Покрытие ели в острове составило 80%, в примеси есть Betula pubescens subsp. tortuosa, в кустарниковом ярусе – Juniperus sibirica и Lonicera pallasii. Напочвенный покров по-прежнему травяно-кустарничково-моховой, по обилию преобладают Vaccinium vitis-idaea, Equisetum pratense, Hylocomium splendens и Rhytidiadelphus triquetrus (Таблица 3).
К ельнику примыкают плотные заросли можжевельника Juniperus sibirica (до 2 м высотой) и ив (Salix spp.), через которые очень трудно пробираться, а далее он окружен высокотравным березняком из Betula pubescens subsp. tortuosa. Березы (6-7 м высотой) в нижней части имеют очень толстые (20-25 см диаметром) искривленные стволы. Рябина Sorbus gorodkovii рядом с островом не обнаружена. Подрост и молодые деревья ели в окружающих сообществах не отмечены.
Крайнесеверный еловый остров на мысе Болванский Нос
Остров Е16 наиболее северный из обнаруженных нами на территории НАО (N 68°17ʹ19.0ʹʹ, E 54°30ʹ40.0ʹʹ) (Рис. П15). Он расположен в нижней половине юго-западного вогнутого склона сопки (высотой 25 м над ур. м.), сложенной легким суглинком. Ель в основном имеет форму стланика (приподнимающиеся ветки), растущего под защитой кустарников (Betula nana и Salix glauca) 50–70 см высотой (Рис. П16). В 2000 г. остров имел размеры 11×6 м, проективное покрытие Picea obovata было оценено в 30%, общее покрытие кустарников – 35% (Таблица 2). В верхней части склона над ярусом кустарников возвышались 6 стволиков ели, из которых лишь три имели зеленую хвою на верхушках, остальные были без хвои (Рис. 11а и б). Высота их варьировала в пределах 76-118 см со средним значением 91±6.3 см, диаметр у основания – 2.4-7.2 см со средним значением 4.2±0.9 см. Прямостоячие деревца были многовершинными, с «юбкой» из нижних ветвей. На концах некоторых веток отмечены галлы хермеса (Adelgidae). В моховом напочвенном покрове доминировали Hylocomium splendens и Pleurozium schreberi, кустарничковый ярус сложен Vaccinium vitis-idaea, V. uliginosum subsp. microphyllum и Linnaea borealis (Таблица 2).
В 2014 г. ель характеризовалась высокой жизненностью: кроме приподнимающихся веток стланика насчитывалось 17 стволиков, все были живыми и полностью зелеными, с годичным приростом на концах веточек 2–3 см (Рис. 11в и г). Высота 6-ти самых высоких стволиков находилась в пределах 100-118 см со средним значением 108±2.5 см, диаметр у основания – 3.9-8.6 см со средним значением 5.6±1.1 см. Проективное покрытие Picea obovata увеличилось до 40% (Таблица 2). Весной прямо в «островке» была сделана охотничья засидка: ерник был частично вырублен и один стволик ели сломан.
В 2017 г. почти все прямостоячие деревца имели хвою лишь на верхушках, а в срединной части стволиков, выступающих поверх кустарников, она отсутствовала (следствие снеговой корразии) (Рис. 11д и е). На всех ветках хвоя прошлого года была окрашена в рыжий цвет.
Рисунок 11а-з. Еловый островок Е16: а и б – 2000 г.; в и г – 2014 г.; д и е – 2017 г.; ж и з – 2020 г., вид с тех же позиций.
В 2020 г. 9 наиболее высоких деревцев имели лишь зеленые «юбки», выше которых были лишены хвои и выглядели сухими (Рис. 11ж и з). В то же время часть стелющихся веток (>10 шт.) изменили рост с плагиотропного на ортотропный и имели высоту по уровню ерника и ивы. Высота 7-ми наиболее крупных из них (с хвоей по всему стволику) варьировала в пределах 52-80 см со средним значением 64±4.6 см. Зеленые ветки Picea obovata стали активно расти в нижней части склона под защитой кустарников, увеличив размеры островка до 12×8 м. Как и в 2017 г. хвоя прошлого года имела рыжий цвет. За 20-летний период кустарничково-зеленомошный напочвенный покров в островке мало изменился. Проективное покрытие значимо выросло у ивы Salix glauca, кустарничка Linnaea borealis и злака Calamagrostis lapponica (Таблица 2).
В разные годы проективное покрытие Picea obovata варьировало в пределах 30–40%, число видов сосудистых и споровых растений находилось на уровне 40–48, площадь елового островка мало изменилась, женских шишек не наблюдали. В 2014 г. ветки одного деревца были густо усеяны мужскими стробилами. В целом, состояние ели в островке в 2020 г. было близким к 2000 г., а всплеск высокой жизненности наблюдался в 2014 г.
Состояние самой северной сосны в бассейне р. Ортины спустя 23 года
В 2000 г. на водоразделе (N 67°55ʹ57.0ʹʹ, E 54°02ʹ23.4ʹʹ) было обнаружено единственное маленькое (<70 см высотой) деревце сосны Pinus sylvestris, выросшей далеко на север от границы ареала (Рис. 12а и б). В 2023 г. его высота составила лишь 160 см из-за того, что за прошедший период оно неоднократно было сломано, по-видимому, оленями, которые трутся рогами (Рис. 12в и г). На высоте ⁓40 см много лет назад была сломана центральная вершина, позже сломаны 2 боковые ветки, которые начинали расти вертикально, взяв на себя функцию ствола, а в этом году сломана верхушка еще у одной боковой ветки, которая тоже росла вертикально. Сейчас дерево имеет один растущий ствол с 14 мутовками, который подо мхами сливается со всеми сломанными стволами и имеет в основании общий диаметр 8 см. Прирост этого года на вершине составил 20 см, на боковых ветках – 4-7 см. Под деревом было обнаружено 6 шишек.
Рисунок 12а-г. Деревце сосны Pinus sylvestris в бассейне р. Ортины вдали от границы ареала, фото от 03.07.2020 г. (а и б) и от 23.07.2023 г. (в и г).
Тенденции изменений еловых островов и окружающих тундровых ландшафтов
В бассейне р. Ортины в реликтовых еловых островках на водоразделах (кроме исчезающего Е3) за 23 года средняя высота деревьев увеличилась на 1.1-1.9 м, т. е. средний прирост в высоту составил от 4.3 до 8.3 см в год. В более благоприятных микроклиматических условиях в долинном еловом острове (Е2) эти значения существенно выше – деревья в среднем выросли на 2.8 м, прирост составил 12.2 см в год.
В реликтовых островках за 23 года средний диаметр деревьев увеличился на 1.9-3.0 см, т. е. радиальный прирост составил от 0.41 до 0.65 мм в год. Близкие значения (0.63 мм) получены ранее В.С. Мазепой [Mazepa, 1998] для ели, произрастающей в Большеземельской тундре и на Полярном Урале.
В самом северном долинном еловом острове Е2 средний диаметр деревьев увеличился на 3.7 см, т. е. радиальный прирост был существенно выше – 0.80 мм в год. Близкие значения ширины годичных колец получены для ели, растущей на юге Большеземельской тундры в бассейне р. Адзъва в урочище Пым-Ва-Шор, известном своими термальными источниками [Surso, Barzut, 2010]. У отдельных деревьев высотой 7-8 м они варьировали от 0.82 до 1.36 мм при среднем значении прироста 1.05 мм в год. Эти авторы предложили уравнение прямой зависимости высоты деревьев ели от возраста (y = 1,836 + 0,120x, r = 0,822), установив, что с возрастом темпы прироста в высоту не замедляются. Если применить эту формулу к деревьям в еловом острове Е2 в долине р. Ортины, то их возраст составит 60-70 лет.
За 23 года не только значимо увеличились высота и диаметр стволов ели в островах, но и изменилась форма их кроны. В реликтовых островках деревья преимущественно имели «юбки» из хорошо развитых нижних веток, а выше крона была цилиндрической или ствол был частично лишен веток и только вершины были зелеными. Сейчас крона у большинства деревьев стала конической или узкопирамидальной, с хорошо развитыми нижними ветками и в то же время с зелеными ветками по всему стволу. В долинном еловом острове Е2 конусовидные кроны деревьев стали более пышными.
Во всех изученных островах зарегистрировано вегетативное размножение ели с помощью укоренения нижних ветвей и изменения направления их роста с плагиотропного на ортотропный, особенно активное на склонах южных экспозиций. Молодые деревья разновозрастные, т.е. этот процесс идет постоянно, способствуя расширению площади отдельных групп елей и островов в целом. В то же время, несмотря на обилие и мужских и разновозрастных женских шишек, в окружающих ландшафтах не обнаружено подроста и отдельно стоящих молодых деревьев ели, что говорит об отсутствии семенного возобновления за 23 года. Еще советские геоботаники [Andreev, 1954; Norin, 1958] писали, что на водоразделах продвижение леса на север ограничивается недостаточностью доброкачественных семян для естественного воспроизводства деревьев. Такое же мнение высказали М.В. Сурсо и О.С. Барзут [Surso, Barzut, 2010], установив, что одной из основных причин, сдерживающих продвижение ели на север, является предел адаптационных возможностей ее генеративной сферы. Они показали, что для ели в урочище Пым-Ва-Шор характерно неполное вызревание семян. Индивидуальные значения абсолютной всхожести варьировали от 0 до 16.3%, при этом у 80% деревьев была отмечена нулевая всхожесть. Период прорастания семян оказался растянут до 35-40 дней.
Ценофлора кустарничково-зеленомошных ельников характеризуется стабильностью. Ядро видов, кроме Picea obovata, составляют Betula pubescens subsp. tortuosa, кустарнички Empetrum hermaphroditum, Vaccinium vitis-idaea, Linnaea borealis, Arctous alpina, бриофиты Pleurozium schreberi, Hylocomium splendens и Ptilidium ciliare. В ярусе кустарников часто встречаются Juniperus sibirica и Betula nana. Наиболее активным постоянным травянистым растением является Festuca ovina. Изменения в составе видов за 23 года произошли за счет единичных, в основном споровых, растений.
Небольшой еловый островок Е3, занимающий песчаный бугор в центральной части котловины выдувания на водоразделе, отмирает и, по-видимому, со временем исчезнет из-за разрушения местообитания.
В тундровых ландшафтах, окружающих еловые островки в бассейне р. Ортины, наблюдаются значительные изменения, как на водоразделах, так и в долинах водотоков. Наиболее вероятной причиной этого может служить региональное потепление климата [Malkova et al., 2021; Lavrinenko et al., 2022]. На протяжении четверти века произошло и происходит активное внедрение в тундровые сообщества на водоразделах березы Betula pubescens subsp. tortuosa, причем подрост и молодые деревья имеют прямоствольную форму роста от самого основания (Рис. 13). Многими авторами показано, что с начала ХХ в. в Уральских горах в формировании древостоев верхней границы леса также наблюдается возрастание участия березы [см. Grigor'ev et al., 2013]. Судя по сравнительным фотоснимках, в долине р. Ортины и ее притоков кроме березы увеличились покрытие и высота можжевельника, кустарниковых ив и особенно ольховника Alnus fruticosa (Рис. 8а и б, 14а и б).
На мысе Болванский Нос в еловом островке, расположенном севернее 68° с. ш., за прошедший 20-летний период отмечали как всплеск, так и падение жизненности ели. В 2020 г. ее состояние было близким к 2000 г. Результаты повторного обследования окружающих тундровых и болотных сообществ в связи с изменением климатических условий опубликованы нами ранее [Lavrinenko, Lavrinenko, 2022].
Рисунок 13. Внедрение березы Betula pubescens subsp. tortuosa в кустарничково-лишайниковые сообщества на песке рядом с еловым островом Е4, фото от 22.07.2023 г.
Рисунок 14а и б. Активное распространение Betula pubescens subsp. tortuosa и Alnus fruticosa по долине р. Ортины, фото с точки с координатами N 67°56ʹ1.0ʹʹ, E 54°02ʹ24.5ʹʹ от 03.07.2020 г. (а) и от 25.07.2023 г. (б).
Граница островных еловых редколесий в долине р. Ортины по спутниковым снимкам
Еловые редколесья в долине р. Ортины распространены вдоль современного и старого русла реки и ее правых притоков, что хорошо демонстрируют результаты сегментации и классификации спутникового снимка от 11.08.2023 г. (Рис. 15). Редколесья имеют форму отдельных островов (а не непрерывной ленты), занимая возвышенные, вышедшие из затопления террасы на выпуклых участках меандрирующего русла. Площади выделенных островов (светло-зеленая заливка на рисунке) не превышают 0.1 км2. Сомкнутость ели в них составляет 0.3-0.5. Современная северная граница островных еловых редколесий в долине р. Ортины соответствует широте 67°53ʹ.
Рисунок 15. Распространение еловых редколесий (светло-зеленой заливкой) в долине р. Ортины по отношению к еловому островку Е4 (снимок Sentinel 2A от 11.08.2023 г.)
На снимке Google Earth от 9.07.2004 г. все выделенные островные редколесья уже присутствовали на этих же самых позициях. Разрешение снимка от 11.08.2023 г. (10 × 10 м) не позволило нам выявить какие-либо изменения в сомкнутости деревьев в пределах островных редколесий и возможное продвижение отдельных деревьев или их небольших скоплений дальше на север. В Северной Америке есть опыт отслеживания распространения ели в бассейне р. Ноатак по зимним снимкам с высоким пространственным разрешением, что позволило увидеть продвижение на север даже отдельных деревьев, возвышающихся над снеговым покровом [Dial et al., 2022]. Поскольку в распоряжении авторов подобные снимки отсутствуют, дистанционная оценка проведена только по редколесьям, занимающим площадь, соответствующую нескольким пикселям.
Расстояние от северной границы островных редколесий до крайнесеверного изолированного елового островка Е2 в долине р. Ортины составляет по прямой 5.2 км, а до реликтовых еловых островков на водоразделах – 3-6 км.
ЗАКЛЮЧЕНИЕ
Повторное, через 23 года, обследование наиболее северных еловых островков в долине р. Ортины на широте 67°54ʹ-67°56ʹ с. ш. позволяет утверждать, что жизненность Picea obovata значительно улучшилась. Это выразилось в значимом увеличении высоты и диаметра стволов; изменении формы роста деревьев (была – юбочной, с флаговой вершиной или цилиндрической кроной, стала – конической, с зелеными ветками по всему стволу); увеличении площади отдельных групп и островков ели в результате вегетативного размножения с помощью укоренения нижних ветвей. В то же время, несмотря на обилие разновозрастных женских и мужских шишек, семенное возобновление отсутствовало; подрост и отдельно стоящие молодые деревья не обнаружены. На мысе Болванский Нос в крайнесеверном еловом островке, расположенном на широте 68°17ʹ с. ш., за прошедший 20-летний период отмечали как всплеск (в 2014 г.), так и падение жизненности ели, в 2020 г., как и в 2000 г., ее состояние было угнетенным.
Тезис, который был выдвинут на рубеже веков, о том, что островные ельники при потеплении климата станут трамплинами для внедрения деревьев ели в тундровые сообщества [Lavrinenko, Lavrinenko, 1999; 2004b], в настоящее время не подтверждается. Экспансия древесной растительности в тундровые сообщества на водоразделах активно происходит за счет Betula pubescens subsp. tortuosa, которая приобрела прямоствольную форму роста, а в долинах рек и ручьев, кроме того, за счет Alnus fruticosa.
В работе зафиксировано текущее состояние еловых островов на западе Большеземельской тундры, выполнены полные геоботанические описания и измерены морфометрические параметры деревьев, а также определено положение северной границы еловых редколесий в долине р. Ортины на спутниковом снимке. Это позволит осуществлять мониторинг и проследить при дальнейшем вероятном потеплении климата время смыкания границы еловых редколесий и островных ельников, расстояние между которыми сейчас совсем незначительное и составляет 3-6 км.
БЛАГОДАРНОСТИ
Благодарим О.М. Афонину (БИН РАН) за определение мхов. Работа выполнена в рамках государственного задания согласно тематическому плану Ботанического института им. В.Л. Комарова РАН по теме № 122041100242-5.
ПРИЛОЖЕНИЕ
П. Рисунок 1. Еловый островок Е1 на периферии заросшего песчаного обнажения на коренном берегу р. Ортины; фото с БПЛА.
П. Рисунок 2. Еловый островок Е1, 1-7 – номера групп, где выполнены измерения высоты и диаметра деревьев; спутниковый снимок Google Earth от 09.07.2004 г.
П. Рисунок 3. Еловый островок Е4 на внешних склоненных бортах песчаной котловины выдувания на водоразделе вблизи озера; фото с БПЛА.
П. Рисунок 4. Еловый островок Е4, 1-7 – номера групп, где выполнены измерения высоты и диаметра деревьев; спутниковый снимок Google Earth от 09.07.2004 г.
П. Рисунок 5. Еловый островок Е7 на песчаном бугре на водоразделе; фото с БПЛА.
П. Рисунок 6. Еловые островки Е6 и Е7 на водоразделе; спутниковый снимок SAS Planet (после 2014 г.).
П. Рисунок 7. Еловый островок Е5 на остаточном фрагменте морской террасы, окруженной подковообразной старицей; фото с БПЛА.
П. Рисунок 8. Еловый островок Е5, 1-3 – номера групп, где выполнены измерения высоты и диаметра деревьев; спутниковый снимок Google Earth от 09.07.2004 г.
П. Рисунок 9. Еловый островок Е6 на краю небольшого песчаного бугра на водоразделе; фото с БПЛА.
П. Рисунок 10. Еловый островок Е8 на краю небольшого песчаного бугра; фото с БПЛА.
П. Рисунок 11. Еловый островок Е8; спутниковый снимок SAS Planet (после 2014 г.).
П. Рисунок 12. Остатки елового островка Е3 на песчаном возвышении посреди котловины выдувания; фото с БПЛА в 2023 г.
П. Рисунок 13. Еловый островок Е8; спутниковый снимок Google Earth от 09.07.2004 г.
П. Рисунок 14. Еловый островок Е2 и рядом еще один безымянный; спутниковый снимок Google Earth от 09.07.2004 г.
П. Рисунок 15. Еловый островок Е16 на мысе Болванский Нос; спутниковый снимок SAS Planet (после 2014 г.).
П. Рисунок 16. Еловый островок Е16 на склоне сопки на мысе Болванский Нос (видны сухие стволики ели в верхней части склона), фото с БПЛА в 2020 г.
1 здесь и далее полевой номер елового островка.
About the authors
O. V. Lavrinenko
Komarov Botanical Institute RAS; Nenetsky State Nature Reserve
Author for correspondence.
Email: lavrino@mail.ru
Russian Federation, St.-Petersburg; Naryan-Mar
I. А. Lavrinenko
Komarov Botanical Institute RAS
Email: lavrino@mail.ru
Russian Federation, St.-Petersburg
K. I. Simonova
Komarov Botanical Institute RAS
Email: lavrino@mail.ru
Russian Federation, St.-Petersburg
References
- Andreev V.N. 1954. Promotion of woody vegetation into the tundra in connection with the protective properties of forest plantations in the North. Botanic Journal, 39(1):28-47. (In Russian). [Андреев В.Н. 1954. Продвижение древесной растительности в тундру в связи с защитными свойствами лесопосадок на Севере // Ботанический журнал. Т. 39. № 1. С. 28-47].
- Andreev V.N. 1956. Population of the tundra by forest in the modern era. In: Vegetation of the Far North of the USSR and its development. V.1. pp. 27-45., Publishing House of the USSR Academy of Sciences. Moscow. (In Russian). [Андреев В.Н. 1956. Заселение тундры лесом в современную эпоху // Растительность крайнего севера СССР и ее освоение. Вып. 1. М.: Изд-во АН СССР. С. 27-45].
- Andreicheva L.N. 2002. Pleistocene of the European Northeast. Ekaterinburg: Ural Branch of the Russian Academy of Sciences. 321 pp. (In Russian). [Андреичева Л.Н. 2002. Плейстоцен европейского Северо-Востока. Екатеринбург: УРО РАН, 321 с.
- Becking R. 1957. The Zürich-Montpellier school of phytosociology. The Botanical Review. Vol. 23. N 7. pp. 411-488.
- Bolotov I.N., Surso M.V., Filippov B.YU., Gofarov M.YU., Tarakanov A.M. 2012. Changes in tree stands on isolated forest islands in the east of Bolshezemelskaya tundra for the last 100 years in a changing climate. Russian forestry journal. 5: 329. pp. 30-37 (In Russian). [Болотов И.Н., Сурсо М.В., Филиппов Б.Ю., Гофаров М.Ю., Тараканов А.М. 2012. Изменения древостоев в изолированных лесных островах востока Большеземельской тундры за последние 100 лет в условиях меняющегося климата // Известия высших учебных заведений. Лесной журнал. № 5(329). С. 30-37].
- Callaghan T.V., Werkman B.R., Crawford R.M.M. 2002. The tundra-taiga interface and its dynamics: concepts and applications. Ambio Special Report. 12: 6-14.
- Development of landscapes and climate of Northern Eurasia. Late Pleistocene – Holocene; Forecast elements. 1993.(A.A. Velichko), Vol.1. pp. 102. Nauka, Moscow. (In Russian). [Развитие ландшафтов и климата Северной Евразии. Поздний плейстоцен – голоцен; Элементы прогноза. 1993. / Под ред. А.А. Величко/. М.: Наука. Вып. 1. 102 c.]
- Dial R.J., Maher C.T., Hewitt R.E., Sullivan P.F. 2022. Sufficient conditions for rapid range expansion of a boreal conifer. Nature. Vol. 608. pp. 546-551. doi: 10.1038/s41586-022-05093-2
- Druckenmiller M.L., Moon T., Thoman R. 2021. The Arctic / State of the Climate in 2020. Bull. Amer. Meteor. Soc. 102(8): 263-315. doi: 10.1175/BAMS-D-21-0086.1
- Grigor'ev A.A., Devi N.M., Kukarskikh V.V., V'yukhin S.O., Galimova A.A., Moiseev P.A., Fomin V.V. 2019. Structure and dynamics of tree stands at the upper timberline in the western part of the Putorana plateau. Russian Journal of Ecology. 50 (4): 311-322. (In Russian). [Григорьев А.А., Дэви Н.М., Кукарских В.В., Вьюхин С.О., Галимова А.А., Моисеев П.А., Фомин В.В. 2019. Структура и динамика древостоев верхней границы леса в западной части плато Путорана // Экология. № 4. С. 243-254] doi: 10.1134/S0367059719040073
- Grigor'ev A.A., Moiseev P.A., Nagimov Z.Y. 2013. Dynamics of the timberline in high mountain areas of the Nether-Polar Urals under the influence of current climate change. Russian Journal of Ecology. 44 (4): 284-295. (In Russian). [Григорьев А.А., Моисеев П.А., Нагимов З.Я. 2013. Динамика верхней границы древесной растительности в высокогорьях Приполярного Урала под влиянием современного изменения климата // Экология. № 4. С. 284-295]. doi: 10.7868/S0367059713040069
- Grisebach A. 1872. Die Vegetation der Erde nach ihrer klimatischen Anordnung., Ein Abriss der vergleichenden Geographie der Pflanzen. Leipzig. Vol. I. 27 pp.
- Hansson A. 2022. Understanding treeline migration in response to modern climate change: Where is it happening, how are we measuring it, and what are the implications? Thesis PhD. The University of Queensland, Australia. 217 pp.
- Harris J.A., Hollister R.D., Botting T.F., Tweedie C.E., Betway K.R., May J.L., Barrett R.T.S., Leibig J.A., Christoffersen H.L., Vargas S.A., Orejel M., Fuson T.L. 2021. Understanding the climate impacts on decadal vegetation change in northern Alaska. Arctic Science. 00: 1–21 (0000). doi: 10.1139/as-2020-0050
- Harsch M.A., Hulme P.E., McGlone M.S., Duncan R.P. 2009. Are treelines advancing? A global meta-analysis of treeline response to climate warming. Ecol. Lett. 12: 1040-1049. doi: 10.1111/j.1461-0248.2009.01355.x
- Ignatov M.S., Afonina O.M., Ignatova E.A., Abolina A., Akatova T.V., Baisheva E.Z., Bardunov L.V., E.A. Baryakina, O.A. Belkina, A.G. Bezgodov, M.A. Boychuk, V.Ya. Cherdantseva, I.V. Czernyadjeva, G.Ya. Doroshina, A.P. Dyachenko, V.E. Fedosov, I.L. Goldberg, E.I. Ivanova, I. Jukoniene, L. Kannukene, S.G. Kazanovsky, Z.Kh. Kharzinov, L.E. Kurbatova, А.I. Maksimov, U.K. Mamatkulov, Manakyan V.A., Maslovsky O.M., Napreenko M.G., Otnyukova T.N., Partyka L.Ya., Pisarenko O.Yu., Popova N.N., Rykovsky G.F., Tubanova D.Ya., Zheleznova G.V., Zolotov V.I. 2006. Check-list of mosses of East Europe and North Asia. Arctoa. 15: 1-128.
- Kharuk V.I., Im S.T., Ranson K.J., Sun G. 2005. High resolution satellite images in the forest tundra ecotone dynamics analysis. Exploration of the Earth from Space. 6: 46-55. (In Russian). [Харук В.И., Им С.Т., Рэнсон К.Дж., Сан Г. 2005. Космоснимки высокого разрешения в анализе временной динамики экотона лесотундры // Исследование земли из космоса. № 6. С. 46-55].
- Kruse S., Gerdes A., Kath N.J., Epp L.S., Stoof-Leichsenring K.R., Pestrya-kova L., Herzschuh U. 2019. Dispersal distances and migration rates at the arctic treeline in Siberia – a genetic and simulation based study. Biogeosciences. 16: 1211-1224. doi: 10.5194/bg-16-1211-2019
- Lavrinenko I.A. and Lavrinenko O.V. 1999. Relict spruce forest ‘islands’ in the Bolshezemelskaya tundra – control sites for long-term climatic monitoring. Chemosphere. 1(4): 389-402.
- Lavrinenko O.V. and Lavrinenko I.A. 2022. Twenty-one year dynamics of vegetation from long-term plots in East European tundra. Environmental dynamics and global climate change. 13(2): 70-103. doi: 10.18822/edgcc109513
- Lavrinenko O.V., Lavrinenko I.A. 2003. Spruce islands of the East European Tundra. Botanical journal. 88 (8): 59-77. (In Russian). [Лавриненко О.В., Лавриненко И.А. 2003. Островные ельники восточно-европейских тундр // Ботанический журнал. Т. 88. № 8. С. 59-77].
- Lavrinenko O.V., Lavrinenko I.A. 2004a. Clonal structure and variability of Siberian Spruce (Picea Obovata Ledeb.) in isolated populations at the very north limit of habitat. Siberian Journal of Ecology. 11 (2): 179-190. (In Russian). [Лавриненко О.В., Лавриненко И.А. 2004a. Клональная структура и изменчивость ели сибирской (Picea obovata Ledeb.) в изолированных популяциях на самом северном пределе распространения // Сибирский экологический журнал. Т. 11. № 2. С. 179-190].
- Lavrinenko O.V., Lavrinenko I.A. 2004b. Phytoindication of climate change in the North-East of the European part of Russia. Geography and Natural Resources. 2: 54-61. (In Russian). [Лавриненко О.В., Лавриненко И.А. 2004b. Фитоиндикация изменений климата на Северо-Востоке европейской части России // География и природные ресурсы. № 2. С. 54-61].
- Lavrinenko O.V., Petrovskiy V.V., Lavrinenko I.A. 2019. New local floras and materials for floristic subdivision of the East European Tundra. Botanical journal. 104 (1): 58-92. (In Russian). [Лавриненко О.В., Петровский В.В., Лавриненко И.А. 2019. Новые локальные флоры и материалы к флористическому районированию восточноевропейских тундр // Ботанический журнал. Т. 104. № 1. С. 58-92]. doi: 10.1134/S0006813619010083
- Lavrinenko O.V., Tyusov G.A., Petrovsky V.V. 2022. Impact of climate warming on floristic diversity of the East European tundra // Environmental dy-namics and global climate change. 13(1): 35-48. doi: 10.18822/edgcc101643
- Maher C., Dial R., Pastick N.J., Hewitt R.E., Jorgenson M.T., Sullivan P.F. 2021. The climate envelope of Alaska's northern treelines: implications for controlling factors and future treeline advance. Ecography. 44: 1710-1722. doi: 10.1111/ecog.05597
- Malkova G.V., Korostelev YU.V., Skvortsov A.G., Sudakova M.S., TSarev A.M. 2021. Geocryological consequences of modern climate changes – results of comprehensive monitoring at geocryological stations in the Nenets Autonomous Okrug. In: Materials of the All-Russian scientific and technical conference “Comprehensive study and development of the subsoil of the European North of Russia - 2021” (Ukhta, September 16–17, 2021). pp. 167-173. (In Russian). [Малкова Г.В., Коростелев Ю.В., Скворцов А.Г., Судакова М.С., Царев А.М. 2021. Геокриологические последствия современных климатических изменений – результаты комплексного мониторинга на геокриологических стационарах в Ненецком автономном округе // Мат-лы всеросс. науч.-техн. конф. «Комплексное изучение и освоение недр Европейского Севера России – 2021» (Ухта, 16–17 сентября 2021 г.). С. 167-173].
- Mazepa V.S. 1998. Spatiotemporal variability of radial growth of coniferous tree species in the subarctic regions of Eurasia: Abstract dis. Doctor of biol. sciences. Ekaterinburg. 38 pp. (In Russian). [Мазепа В.С. 1998. Пространственно-временная изменчивость радиального прироста хвойных видов деревьев в субарктических районах Евразии: Автореф. дисс. … докт. биол. наук. Екатеринбург. 38 с.]
- Moiseev P.A., Galimova A.A., Bubnov M.O., Fomin V.V., Terskaya A.I. 2019. Tree stand dynamics at the upper treeline on the Kola Peninsula in the last century. In: Abstract. report VII All-Russian Scientific Conference with international participation “Ecological problems of the northern regions and ways to solve them” (Apatity, June 16–22, 2019). Apatity. Publishing house Kola Science Centre RAS. [Моисеев П.А., Галимова А.А., Бубнов М.О., Фомин В.В., Терская А.И. 2019. Динамика древостоев на верхнем пределе их произрастания на Кольском полуострове в последнем столетье // Тез. докл. VII Всероссийской научной конференции с международным участием «Экологические проблемы северных регионов и пути их решения» (Апатиты, 16–22 июня 2019 г.). Апатиты: Изд-во Кольский НЦ РАН. С. 187-188].
- Norin B.N. 1958. Towards the knowledge of seed and vegetative regeneration of tree species in the forest-tundra. Vegetation of the Far North of the USSR and its development. M.; L.: Publishing house of the USSR AS. 3: 154-244. (In Russian). [Норин Б.Н. 1958. К познанию семенного и вегетативного возобновления древесных пород в лесотундре // Растительность Крайнего Севера СССР и ее освоение. М.; Л.: Изд-во АН СССР. Вып. 3. С. 154-244].
- Oberbauer S.F., Elmendorf S.C., Troxler T.G., Hollister R.D., Rocha A.V., Bret-Harte M.S., Dawes M.A., Fosaa A.M., Henry G.H.R., Hoye T.T., Jarrad F.C., Jonsdottir I.S., Klanderud K., Klein J.A., Molau U., Rixen C., Schmidt N.M., Shaver G.R., Slider R.T., Totland O., Wahren C.-H., Welker J.M. 2013. Phenological response of tundra plants to background climate variation tested using the International Tundra Experiment. Philosophical Transactions of the Royal Society B-Biological Sciences. 368(1624): UNSP 20120481. doi: 10.1098/rstb.2012.0481
- Paulsen J. and Körner C. 2014. A climate-based model to predict potential treeline position around the globe. Alpine Botany. 124: 1-12.
- Potemkin A.D., Sofronova E.V. 2009. Liverworts and hornworts of Russia. Vol. 1. St. Petersburg – Yakutsk. 368 pp. (In Russian). [Потeмкин А.Д. и Софронова Е.В. 2009. Печеночники и антоцеротовые России. Т. 1. Санкт-Петербург – Якутск. 368 с.]
- Quaternary glaciations on the territory of the USSR. 1987. (A.A. Velichko and others). Moscow. Nauka. 128 pp. (In Russian). [Четвертичные оледенения на территории СССР./ Под. ред. А.А. Величко и др./. 1987. М.: Наука. 128 с.]
- Rees W.G., Hofgaard A., Boudreau S., Cairns D.M., Harper K., Mamet S., Mathisen I., Swirad Z., Tutubalina O. 2020. Is subarctic forest advance able to keep pace with climate change? Global Change Biology. 26: 3965–3977. doi: 10.1111/gcb.15113
- Rusanova G.V., Deneva S.V. 2006. Soils of relic spruce (Picea obovata Ledeb.) forest islands in northwestern Bol'shezemel'skaya Tundra. Lesovedenie. 2: 21-25. (In Russian). [Русанова Г.В. и Денева С.В. 2006. Почвы реликтовых островков ели на северо-западе Большеземельской тундры // Лесоведение. № 2. С. 21-25].
- Santesson R., Moberg R., Nordin A., Tønsberg T., Vitikainen O. 2004. Lichenforming and lichenicolous fungi of Fennoscandia. Museum of Evolution. Uppsala University. 359 pp.
- Schuur E.A.G., Crummer K.G., Vogel J.G., Mack M.C. 2007. Plant species composition and productivity following permafrost thaw and thermokarst in Alaskan tundra. Ecosystems. 10(2): 280–292. doi: 10.1007/s10021-007-9024-0
- Sekretareva N.A. 2004. Vascular plants of the Russian Arctic and adjacent territories. Moscow. 131 pp. (In Russian). [Секретарева Н.А. 2004. Сосудистые растения Российской Арктики и сопредельных территорий. М. 131 с.]
- Shiyatov S.G. 1976. Secular variability in the growth of Siberian spruce in the lower reaches of the river Pechory. Forestry, forestry: Abstracts. report VII Symposium “Biological Problems of the North”. Petrozavodsk pp. 224-225. (In Russian). [Шиятов С.Г. 1976. Вековая изменчивость прироста ели сибирской в низовье р. Печоры // Лесоведение, лесоводство: Тез. докл. VII симпозиума «Биологические проблемы Севера». Петрозаводск. С. 224-225].
- Shiyatov S.G. 1981. Climatogenic changes in forest vegetation at the upper and polar limits of its growth: Abstract dis. Doctor of biol. sciences. Sverdlovsk. 57 pp. (In Russian). [Шиятов С.Г. 1981. Климатогенные смены лесной растительности на верхнем и полярном пределах ее произрастания: Автореф. дис. … д-ра биол. наук. Свердловск. 57 с.]
- Shiyatov S.G. 2009. Dynamics of woody and shrub vegetation in the Polar Urals under the influence of current climate changes. Ekaterinburg. 219 pp. (In Russian). [Шиятов С.Г. 2009. Динамика древесной и кустарниковой растительности в горах Полярного Урала под влиянием современных изменений климата. Екатеринбург. 219 с.]
- Shiyatov S.G., Moiseev P.A., Grigor'ev A.A. 2020. Photomonitoring of tree and shrub vegetation in the highlands of the Southern Urals over the past 100 years. Ekaterinburg. 191 pp. (In Russian). [Шиятов С.Г., Моисеев П.А., Григорьев А.А. 2020. Фотомониторинг древесной и кустарниковой растительности в высокогорьях Южного Урала за последние 100 лет. Екатеринбург. 191 с.]
- Shiyatov S.G., Terent'ev M.M., Fomin V.V., Tsimmermann N.E. 2007. Altitudinal and horizontal shifts of the upper boundaries of open and closed forests in the Polar Urals in the 20th century. Russian Journal of Ecology. 38 (4): 223-227.
- Surso M.V., Barzut O.S. The growth and morphology peculiarities of coniferouses in Bolshezemelskaya Tundra. Spuce in Pym-Va-Shor area. Forestry bulletin. 5: 42-48. (In Russian). [Сурсо М.В., Барзут О.С. 2010. Особенности роста и развития хвойных в Большеземельской тундре. Ель в урочище Пым-Ва-Шор // Лесной вестник. № 5. С. 42-48].
- Timofeev A.S., V'yukhin S.O., Grigor'ev A.A., Moiseev P.A. 2021. Structure and dynamics of larch stands in the upper part of the mountain-forest belt of the massif dry mountains (Putorana Plateau). Forests of Russia and economy in them. 1 (76): 23-28 (In Russian). [Тимофеев А.С., Вьюхин С.О., Григорьев А.А., Моисеев П.А. 2021. Структура и динамика древесной и кустарниковой растительности на верхнем пределе своего произрастания на плато Путорана // Леса России и хозяйство в них. № 1(76). С. 23-28].
- Yudin Yu. P. 1954. Forests. Productive forces of the Komi ASSR. Vol. III. Part 1. Flora. pp. 45-48. (In Russian). [Юдин Ю.П. 1954. Леса // Производительные силы Коми АССР. Т. III. Ч. 1. Растительный мир. С. 45-48].
- А report on climate features on the territory of the Russian Federation in 2022. M. 104 pp. Доклад об особенностях климата на территории Российской Федерации за 2022 год. 2023. М. 104 с. URL. https://meteoinfo.ru/images/media/climate/rus-clim-annual-report.pdf (дата обращения: 01.12.2023).
Supplementary files






































