Analytic review of the first 15 years of journal functioning
- Authors: Frolov O.A.1, Glagolev M.V.1,2,3, Теrentievа I.Е.4
-
Affiliations:
- Yugra State University
- Lomonosov Moscow State University
- Institute of Forest Science, Russian Academy of Sciences
- University of Calgary
- Issue: Vol 15, No 4 (2024)
- Pages: 226-245
- Section: Overviews and lectures
- Published: 31.12.2024
- URL: https://edgccjournal.org/EDGCC/article/view/643554
- DOI: https://doi.org/10.18822/edgcc643554
- ID: 643554
Cite item
Full Text
Abstract
This article reviews the activities of the journal Environmental Dynamics and Global Climate Change (EDGCC) over the 15 years since the publication of its first issue. The journal aims to inform interested readers about scientific and educational developments within the themes of "Environmental Dynamics" and "Global Climate Change." The main objectives of the journal include:
- Publishing scientific papers, reviews and discussions addressing topics related to the composition, structure, and functioning of natural and anthropogenically disturbed systems under the climate change.
- Informing about the main results of scientific work carried out within priority areas of research in university, academic and industry sciences on the Earth and the environment
- Fostering open scientific dialogue to improve the quality of research.
- Promoting national and international best practices in applying cutting-edge technologies.
The journal accepts papers in both Russian and English. Submissions may include methodological, theoretical, and experimental works, ranging from regionally focused and federally funded projects to independent research yet to receive formal grant support. Recognizing the scarcity of high-quality Russian-language reviews in certain areas of global ecology and climatology, the journal also welcomes reviews and lectures by leading scientists to fill this gap. Papers undergo a double-blind peer review process, typically involving three reviewers who evaluate manuscripts anonymously without knowledge of the authors or their affiliations.
This article presents scientometric data on the publication activity of EDGCC, along with an analysis of materials deemed most useful to readers. In addition to the review of the last 10 years published previously, this article evaluates the journal's performance over the past five years. It highlights changes in publication format, particularly the shift to electronic-only articles, and their impact on key metrics. Papers with the highest reader engagement (measured by website views and citations) are identified. The analysis reveals that theoretical studies attract the greatest interest, followed closely by experimental works. Notably, a “Discussion” paper achieved the fastest citation rate, while a "Chronicle" paper recorded the highest number of abstract views in the past five years.
The journal's two-year impact factor has remained stable over the last five years, achieving competitive results compared to 27 peer journals with similar themes, where our regular contributors publish frequently. The number of authors publishing in EDGCC has remained consistent, averaging 16 authors annually, with approximately 50% being new contributors each year. A trend of increasing article half-life is observed over the past decade. The average h-index of EDGCC authors has shown an upward trend over time. In terms of "probability of citation after reading," EDGCC ranks third among the analyzed journals.
Keywords
Full Text
Используемые сокращения
АНРИ – Ассоциация научных редакторов и издателей;
БюМОИП – Бюллетень Московского общества испытателей природы;
ВеЦиПоП – вероятность цитирования (статьи) после прочтения;
ВПоС – время полужизни статей (из журнала, процитированных в текущем году);
ДОСиГИК – «Динамика окружающей среды и глобальные изменения климата»;
ИФ (или IF) – импакт-фактор;
ИХ – индекс Хирша;
НЭИКОН – Национальный электронно-информационный консорциум;
ОСНЭБ – официальный сайт Научной электронной библиотеки;
РИНЦ – Российский индекс научного цитирования;
ЭВеСеК – «Экологический вестник Северного Кавказа»;
ЮГУ – Югорский государственный университет.
Конечно, могут упрекнуть автора, что… не видит в этих цифрах ничего негативного. Да, не видит, потому что негатива нет. Есть позитив.
А.Б. Мартиросян
ВВЕДЕНИЕ
Хотя наука, согласно Лейбницу, безусловно, слагается из открытий, она тем не менее не сводится к их сумме, ибо открытие по своей природе – частный индивидуально-психологический акт, тогда как наука всеобща и аподиктична. Как отмечал Лейбниц, факт открытия «явился бы очень важным элементом истории наук, но на нем нельзя было бы построить системы»1. Всеобщий и аподиктический статус науки, по Лейбницу, обусловлен своеобразной структурированностью оформленного в текстах познания, которая заключается в принципах его изложения [Il’in, 1989, p. 19]. Уже примерно к середине ХХ в. как социальный институт и неотъемлемый инструмент общения между учеными начинает рассматриваться научный журнал2. Основное значение научных журналов очевидно.
При интенсивном развитии различных направлений науки ученые сталкиваются со становящейся все более сложной задачей не отставать от развивающихся знаний, видеть и понимать происходящее там, знать имеющиеся и отслеживать появляющиеся (хотя бы наиболее существенные и значимые) научные наработки других исследователей в своей сфере, а в идеале – и в сопряженных с нею [Ponkin, Red’kina, 2019, p. 12]. Однако существуют и менее очевидные аспекты, которые также оказываются весьма важными.
При дифференциации специальных областей взаимосвязь между учебными и исследовательскими учреждениями, с одной стороны, и научными журналами – с другой – стала особенно явной. Однако развитие специфической отраслевой литературы (и в особенности издание специального журнала) играет значительную роль не только в процессе образования самостоятельных научных дисциплин, но и при возникновении в них школ. Некоторые из периодических изданий стали именно органами научных школ, и их функция состояла в том, чтобы сделать доступными мысли и цели соответствующих школ для широких кругов [Heinig, 1977, p. 416-417]. Исторически так сложилось и с нашим журналом: предполагалось, что он станет «рупором» научной школы «Динамика окружающей среды и глобальные изменения климата», созданной в Югорском государственном университете усилиями к.б.н. М.В. Глаголева и д.б.н. Е.Д. Лапшиной3.
Однако хотя предыдущий опыт (например, тесные связи между научными школами в химии и определенными журналами, ставшие особенно зримыми в Германии в XIX в.) показал, что подобные журналы всегда были органами того ученого, который основал этот журнал и отвечал за его издание [Heinig, 1977, p. 417], мы сразу поставили следующую задачу: ДОСиГИК должен быть платформой для научных дискуссий широкого круга специалистов, а не только формальных представителей вышеуказанной научной школы. Была также и еще одна задача: попытаться создать журнал, который стал бы «начальной школой» для молодежи на пути освоения публикации в международных журналах – издание, которое исповедовало бы основные принципы, принятые в международных научных журналах, но принимало бы статьи на русском языке. Мы верим, что для динамичной (по нашему мнению) молодежи освоение принципов, принятых в международных научных журналах, не составит труда (а тогда единственной – и довольно легко преодолимой – трудностью на пути опубликования статей в международных журналах останется лишь английский язык).
Уже в течение нескольких десятилетий к наукометрии и библиометрии проявляется повышенное внимание [Nalimov, Mul’chenko, 1969; Sidiropoulos et al., 2006; Karelin et al., 2020; Giri, Das, 2023]. С одной стороны, это связано со всё возрастающим количеством научных журналов, необходимостью их классификации. С другой стороны, с возможностью использовать информацию из различных наукометрических и библиометрических баз данных журналов, чтобы отследить отклик (интерес) читателей к журналу в ответ на текущую политику, проводимую в нём. В самом деле, хороший аналитический обзор может помочь редакционной коллегии увидеть сильные и слабые стороны, позиционирование в поле журналов близкой тематики, скорректировать политику для улучшения показателей журнала.
Многие современные базы данных, например, такие как Scopus, Web of Science (WoS), eLibrary, отслеживают наукометрические и библиометрические показатели. В некоторых случаях обзор журнала проводят с целью проанализировать информацию о журнале из этих баз [Kalaimathi et al. 2024; Giri, Das, 2023; Mazov, Gureev, 2018] или оценить по прошествии времени изменения наукометрических показателей [Kosyakov et al., 2020]. В других случаях обзоры проводят с целью войти в какую-то конкретную базу данных и соответственно проанализировать критерии заранее до подачи в неё заявки [Mukhametshin, Asylgaraeva, 2021].
В текущем обзоре мы преследовали цель рассмотреть не столько конкретную базу данных или требования для попадания в тот или иной список, но оценить изменения, произошедшие с журналом: то, в какую сторону мы движемся, придерживаясь определённой политики, и то, как она влияет на наукометрические показатели журнала. Теперь, спустя 15 лет с момента выхода первого номера, уже можно проанализировать, что нам удалось, а что нет. И сделать выводы на ближайшее будущее – следует ли (и как) реформировать редакционную политику журнала. Это и составило задачу работы, представляемой вниманию читателей.
НАУКОМЕТРИЧЕСКИЙ АНАЛИЗ ДЕЯТЕЛЬНОСТИ ЖУРНАЛА
Методика
В последующих разделах будет описана динамика некоторых наукометрических показателей и проведено сравнение их текущих значений с таковыми для ряда других журналов. Все наукометрические показатели для этого анализа были взяты с официального сайта4 Научной электронной библиотеки (ОСНЭБ) eLibrary. Журналы для сравнения были выбраны те же, что и в [Glagolev et al., 2018] (принцип выбора описан там же). Анализ уровня редакционной коллегии проводился согласно методике [Mazov, Gureev, 2018], рекомендованной НЭИКОН и АНРИ (и используемой при продвижении журналов в международные указатели цитирований [Methodology…, 2017]) по пятибалльной шкале на основе данных о публикационной активности членов редколлегии (по оценке индекса Хирша в РИНЦ, SCOPUS и WoS).
Динамика некоторых наукометрических показателей
Ниже будет представлена динамика ряда наукометрических показателей, но прежде считаем нужным сделать одно замечание. В [Glagolev et al., 2018] была опубликована динамика этих показателей до 2016 г. включительно. Поскольку eLibrary приводит информацию за 10 лет, то сейчас5 мы можем видеть на ОСНЭБ данные для 2012-2021 гг. Таким образом, некоторые из этих данных (за 2012-2016 гг.) пересекаются с представленными в [Glagolev et al., 2018] и, казалось бы, должны совпадать с ними. Однако совпадения почти никогда нет. Этому может быть как минимум две причины:
- Некоторые показатели по своей сути действительно могут изменяться с течением времени. Например, в [Glagolev et al., 2018] было указано, что «вероятность цитирования после прочтения» (ВеЦиПоП) статей ДОСиГИК, опубликованных в 2015 г., оказалась нулевой. А теперь выяснилось, что она составила 10.8%. Но при расчете ВеЦиПоП учитываются лишь цитирования теми авторами, которые скачали полный текст статей на портале eLibrary.ru. Очевидно, что на момент написания работы [Glagolev et al., 2018] таких авторов могло просто еще не быть6 (поэтому тогда действительно была ВеЦиПоП = 0), а теперь они появились в значительном количестве.
- Есть и такие показатели, которые (по своему смыслу) изменяться не должны, но поскольку ежегодно на сайте eLibrary какие-то новые журналы размещаются, а какие-то (дискредитировавшие себя) – удаляются, то и эти показатели пересчитываются по текущей базе данных журналов (статей).
В связи с вышесказанным, на сегодняшний день7 там, где возникают противоречия, «правильной» следует считать информацию, приводимую в настоящей статье, а не в [Glagolev et al., 2018].
Краеугольный камень онтологии и репрезентации науки – цитирование. Согласно И.В. Маршаковой-Шайкевич, «цитирование… – факт бытия науки и объект науковедческого исследования, надежность которого определяется самой традицией науки как социального института. Феномен цитирования является неоспоримо важной этической нормой в науке, общенаучным регулятором… и, безусловно, одним из важных средств научной коммуникации» [Ponkin, Red’kina, 2019, p. 13]. В свете этого, анализируя состояние дел в ДОСиГИК, естественно будет начать с анализа показателей, связанных с цитированием статей этого журнала. На Рис. 1 приведена динамика 2-летних ИФ (РИНЦ) – обычного8 и учитывающего цитирования из всех источников. К сожалению, за прошедший относительно короткий срок трудно сделать статистически значимые выводы. С формальной точки зрения есть некоторый положительный тренд: за 15 лет ИФ журнала вырос примерно в два раза. Однако при внимательном рассмотрении становится очевидным, что этот (и даже более высокий) рост произошел в первые годы существования ДОСиГИК, после чего наблюдались некоторые колебания импакт-фактора, но говорить об устойчивом тренде, к сожалению, пока не приходится.
Рис. 1. Динамика импакт-факторов ДОСиГИК (по данным eLibrary на 15.09.2023).
Fig. 1. Dynamics of EDGCC impact factors (according to eLibrary data: 15 Sept. 2023).
С учетом этой динамики ИФ вполне понятна и аналогичная динамика количества цитирований статей, опубликованных за предыдущие 5 лет (Рис. 2). В этом случае тренд кажется более заметным, но все равно примерно с 2017 г. наблюдается некоторая стагнация. Таким образом, по Рис. 1 и 2 можно сделать вывод, что к своему десятилетию журнал достиг уровня, который в дальнейшем, к сожалению, уже не возрастал. На первый взгляд, это не подтверждается динамикой обращений к странице журнала в eLibrary – Рис. 3: количество загрузок текстов статей ДОСиГИК с сайта eLibrary устойчиво растет год от года. Однако ничего удивительного тут нет – ведь в каждый следующий год загрузить можно все большее количество статей, поскольку в этом показателе учитываются сделанные в текущем году загрузки любой статьи, опубликованной в любые годы, а с каждым годом общее количество статей растет. Более того, если каждый год публикуется примерно одинаковое количество статей (кстати говоря, для «Динамики окружающей среды…» это примерно так и есть) и качество статей остается постоянным, то количество загрузок должно ежегодно увеличиваться примерно на одну и ту же величину, т.е. мы будем иметь линейную динамику. Именно такую динамику мы и наблюдаем на Рис. 3.
Рис. 2. Динамика цитирования статей ДОСиГИК (по данным eLibrary на 15.09.2023).
Fig. 2. Dynamics of citation of EDGCC articles (according to eLibrary data: 15 Sept. 2023).
Рис. 3. Динамика обращения к странице ДОСиГИК в eLibrary (по данным eLibrary на 15.09.2023).
Fig. 3. Dynamics of access to the EDGCC page in eLibrary (according to eLibrary data: 15 Sept. 2023).
Очевидно, что достигнутый на сегодняшний день уровень журнала определяется современной политикой редакции и без ее изменения вряд ли будет расти. На наш взгляд, краеугольным камнем этой политики, как уже отмечалось выше в разделе «Введение», было то, что ДОСиГИК позиционировался в качестве «начальной школы» для молодежи, не стремясь к чему-то большему. Теперь, по прошествии 15 лет, можно констатировать, что эту задачу журнал в общем-то выполнял. Достаточно указать имена таких талантливых молодых ученых, как И.Е. Клепцова, А.Ф. Сабреков, Н.В. Филиппова и др., опубликовавших свои первые статьи в ДОСиГИК и… ушедших в большое плавание на страницы известных международных научных журналов. Таким образом, молодежь, в студенческие годы «получив образование» в нашем журнале, впоследствии став научными сотрудниками, свои более поздние высокоцитируемые статьи отдавала в более престижные отечественные и международные журналы (а уровень ДОСиГИК по-прежнему определяется первыми статьями новой неопытной молодежи). Почему так происходит? Тут есть несколько причин, но одна лежит на поверхности. При существующей системе оценки труда как научных работников, так и научных организаций, им «не выгодны» публикации в журналах, не входящих в базы данных SCOPUS или Web of Science (обсуждение этого см., например, [Karelin et al., 2020]). Вывод очевиден: конечно, до того, как журналу удастся войти в указанные базы данных (если вообще удастся), пройдет еще много времени, но сейчас нужно сделать хотя бы первый шаг: войти в перечень ВАК изданий, в которых могут быть опубликованы основные научные результаты диссертации на соискание ученой степени. Публикации в журналах, входящих в этот список, уже приносят своим авторам (и организациям, в которых они работают) некоторые баллы в рейтинговой системе, функционирующей в России в настоящее время. Таким образом, в публикациях в «Динамике окружающей среды…» будут заинтересованы не только молодые, но и состоявшиеся ученые. Более того, сейчас «мимо кассы» ДОСиГИК проходят статьи даже значительной части серьезной научной молодежи – тех, кто уже думает непосредственно о защите диссертации (ведь публикация в данном журнале «не идет в зачет» при защите).
Количество авторов, публикующихся в течение года в «Динамике окружающей среды…» (Рис. 4), все время остается примерно на одном и том же уровне – около 16 чел., причем ежегодная доля новых авторов также примерно постоянна – около 50%. Исключением, чрезвычайно «урожайным» на авторов (и особенно на новых авторов), явился 2016 г., но это было обусловлено выходом в свет специального выпуска ДОСиГИК, посвященного докладам и материалам школы-конференции «Биогенные архивы ландшафтных изменений прошлого»).
Рис. 4. Динамика количества авторов ДОСиГИК (по данным eLibrary на 15.09.2023).
Fig. 4. Dynamics of the number of EDGCC authors (according to eLibrary data: 15 Sept. 2023).
Интересно, что средний индекс Хирша (ИХ) авторов имеет явную тенденцию к увеличению с течением времени – см. Рис. 5а, а это, казалось бы, означает, что в ДОСиГИК с каждым годом публикуются все более опытные авторы. В соответствии с этим, в общем-то, находится и возрастание среднего возраста авторов – Рис. 5b (хотя для него тенденция уже не столь явная). Может показаться, что последнее находится в явном противоречии с заявленной выше направленностью журнала на молодых авторов. Но понятно, что традиционно в научных публикациях наряду с молодым автором участвует и его научный руководитель, подчас весьма преклонного возраста. При этом, учитывая, как было отмечено выше, что половина авторов ДОСиГИК не меняется от года к году, становится понятно, что средний возраст половины авторов с каждым годом увеличивается. Если значительная часть другой половины представляет собой молодых авторов, то ее средний возраст можно принять постоянным. На основании этих простых рассуждений можно сделать вывод, что средний возраст авторов должен возрастать за год примерно на 0.5 года. Из Рис. 5b видно, что возрастание шло несколько быстрее, но так и должно быть, поскольку среди новых авторов нет-нет да и оказываются убеленные сединами корифеи.
Рис. 5. Некоторые характеристики авторов ДОСиГИК (по данным eLibrary на 15.09.2023).
Fig. 5. Some characteristics of the authors of EDGCC (according to eLibrary data: of 15 Sept. 2023).
Безусловно положительной следует признать тенденцию к возрастанию времени полужизни статей журнала ДОСиГИК в течение последних 10 лет (Рис. 6а). При этом может показаться странным, что динамика такого важного параметра, как «вероятность цитирования статьи после прочтения» (ВеЦиПоП) – Рис. 6b, существенно более хаотична. На самом же деле никакого парадокса в этом нет, поскольку время полужизни рассчитывается по цитированиям статьи независимо от того, из какого источника цитируемая статья была получена, а ВеЦиПоП рассчитывается только для статей журнала, прочтенных на eLibrary. Разумеется, статья может быть получена не только на eLibrary, но и из иных источников: на сайте издательства «Эко-Вектор», в сети ResearchGate и др.
Рис. 6. Некоторые характеристики статей ДОСиГИК (по данным eLibrary на 15.09.2023).
Fig. 6. Some characteristics of EDGCC articles (according to eLibrary data: 15 Sept. 2023).
Сравнение показателей ДОСиГИК и других научных журналов
Приведенная выше информация – это «наукометрия абсолютная». Но для осознания места ДОСиГИК в современной системе отечественных научных журналов необходимо провести сравнение с их наукометрическими данными. Для сравнения мы выбрали 26 журналов (см. раздел «Методика»). При этом сравнение проводилось только по данным для 2021 г. (поскольку на момент написания статьи данные для 2022 г. еще не были опубликованы на сайте eLibrary).
На момент публикации данной статьи проанализированы показатели для оценки журнала согласно методике библиометрической экспертизы научных журналов [Methodology…, 2017]. По данным РИНЦ, индекс Хирша ДОСиГИК составил 15, что соответствует оценке «высокий уровень»; среднее число цитирований одной статьи – 5.2 (соответствует оценке «средний»); процент процитированных статей – 76.6% (т.е. «высокий»).
К сожалению, одним словом охарактеризовать нынешнее положение ДОСиГИК в общем списке журналов (Табл. 1), отобранных для целей сравнения еще в [Glagolev et al., 2018], невозможно – нельзя сказать, что он лидер, или аутсайдер, или «середнячок». По разным показателям «Динамика окружающей среды…» занимает совершенно разные позиции. Например, по двухлетнему ИФ РИНЦ наш журнал находится на 19 месте из 27. На первый взгляд этот результат не слишком хорош. Однако, как легко заметить, возраст журналов в Табл. 1 весьма сильно различается, причем ДОСиГИК – самый молодой из всех. И если рассматривать только группу «молодые» журналы (под которыми будем понимать журналы, возникшие в то же десятилетие, что и ДОСиГИК, т.е. в период с 1999 по 2008 г. включительно), то наш журнал оказывается на почетном 2-м месте – его немного обгоняет только «Математическая биология и биоинформатика», впрочем, она все же на несколько лет старше.
Таблица 1. Наукометрические показатели (за 2021 г.) некоторых отечественных журналов, в которых когда-либо печатались авторы ДОСиГИК (по данным eLibrary на 15.09.2023).
Table 1. Scientometric indicators (for 2021) of some domestic journals in which EDGCC authors have ever been published (according to eLibrary data: : 15 Sept. 2023).
Журнал | Показатель | Год основания | ||||
2-летний ИФ РИНЦ* | Время полужизни процитированных статей | Средний индекс Хирша авторов | Средний возраст авторов | Вероятность цитирования статьи после прочтения (%) | ||
Агрохимия | 1.221 | 9.3 | 11.5 | 57.3 | 3.3 | 1964 |
Ботанический журнал | 0.684 | 9.9 | 9.7 | 55.7 | 1.2 | 1916 |
БюМОИП. Отдел Биологический | 0.476 | 8.1 | 9.8 | 53.7 | 7.1 | 1829 |
Вестник МГУ, сер. Почвоведение | 0.453 | 5.6 | 10.4 | 52.9 | 3.5 | 1946 |
Вестник Оренбургского гос. ун-та | 0.42 | 8.6 | 7 | 51.8 | 5.5 | 1999 |
Вестник Томского гос. пед. ун-та | 0.439 | 5.1 | 3.6 | 44.2 | 4.5 | 1998 |
Вестник Томского гос. ун-та | 0.594 | 6.6 | 7.7 | 46.4 | 3.6 | 1998 |
Вестник Югорского гос. ун-та | 0.347 | 5.8 | 8.8 | 44.4 | 2.8 | 2003 |
Водные ресурсы | 1.23 | 5.4 | 11.4 | 56.4 | 5 | 1972 |
Геоинформатика | 0.537 | 4 | 6.3 | 49.3 | 0 | 1992 |
ДОСиГИК | 0.5 | 4.6 | 17.1 | 50.3 | 10.7 | 2008 |
Известия РАН. Сер. биологическая | 1.035 | 5.2 | 10.3 | 58.5 | 3.3 | 1936 |
Известия РАН. Физика атмосферы и океана | 1.136 | 3.9 | 12.9 | 60.3 | 1.7 | 1937 |
Известия Самарского НЦ РАН | 0.297 | 7.8 | 8.6 | 46.8 | 3.5 | 1999 |
Исследование Земли из космоса | 0.959 | 3 | 10.5 | 53 | 1.6 | 1980 |
Математическая биология и биоинформатика | 0.612 | 3.8 | 9.5 | 56.1 | 0 | 2006 |
Метеорология и гидрология | 0.879 | 5.8 | 9.2 | 57.1 | 2.7 | 1935 |
Микология и фитопатология | 0.904 | 6.4 | 10.5 | 51.3 | 4.9 | 1967 |
Микробиология | 1.55 | 8.5 | 14.3 | 51.3 | 2.9 | 1932 |
Оптика атмосферы и океана | 0.727 | 4.1 | 11.9 | 56.1 | 7.2 | 1988 |
Почвоведение | 2.417 | 7.2 | 11.7 | 52.3 | 3.4 | 1899 |
Сибирский экологический журнал | 1.025 | 6.7 | 10.1 | 54.2 | 1.1 | 1994 |
ЭВеСеК | 0.404 | 3.4 | 9.2 | 52.9 | 3.6 | 2005 |
Экологическая химия | 0.434 | 4 | 9.4 | 55.6 | 33.3 | 1999 |
Экология | 1.035 | 8.2 | 11.5 | 51 | 1.2 | 1970 |
Arctoa | 1.205 | 11 | 17.2 | 54.8 | 11.1 | 1992 |
Turczaninowia | 1.074 | 5.4 | 11.8 | 51.8 | 3.2 | 1998 |
*Примечание: приводится ИФ с учетом переводной версии (если у журнала она существует); показатели большие, чем у ДОСиГИК, выделены полужирным шрифтом, а меньшие – курсивом.
Note: the IF is given taking into account the translated version (if the journal has one); indicators greater than those of EDGCC are highlighted in bold, and smaller ones are in italics.
Время полужизни статей у 20 журналов (74%) оказалось выше, чем для статей ДОСиГИК. Но если рассматривать только группу «молодые журналы», то оно выше лишь у 3 из них, что составляет 43% от журналов этой группы; и получается, что ДОСиГИК находится точно в середине группы. Поскольку наш журнал начал выходить 15 лет назад, то очевидно, что достигнутое значение (4.6 года) действительно отражает характерное время устаревания научного материала, публикуемого в ДОСиГИК, а не является артефактом методики расчета9. Если посмотреть в динамике (Рис. 6а), то нельзя не заметить устойчивый рост данного показателя. Но вот с ходу однозначно интерпретировать его (в терминах «плохо»/«хорошо») затруднительно. Тут необходим несколько более подробный анализ.
Согласно определению (которое имеется непосредственно в eLibrary и в [Glagolev et al., 2018]), «время полужизни статей журнала, процитированных в текущем году» (ВПоС) для некоторого года, отражает то, что половина ссылок на журнал, сделанных в этом году, идет на статьи моложе данного возраста, а другая половина – на статьи старше. Получается, что большие величины ВПоС отражают тот факт, что половина ссылок идет на старые статьи. А это может говорить о том, что качество журнала упало. И тут важны конкретные численные значения. Тот факт, что у ДОСиГИК ВПоС = 4.6 г., сам по себе ни о чем не говорит. Но добавим сюда еще один факт: по данным eLibrary, всего в 2021 году статьи «Динамики окружающей среды…» были процитированы 71 раз из 53 публикаций (т.е. в среднем 1.34 цитирования в каждой цитирующей статье). За 4.6 г. было опубликовано 59 статей (которые мы будем называть «молодыми»). А предшествующих им «старых» статей было опубликовано 124. Следовательно, на каждую «молодую» статью приходится 35.5/59 ≈ 0.60 ссылки, а на «старую» – только лишь 35.5/124 ≈ 0.29 ссылки. Таким образом, нельзя сказать, что при ВПоС = 4.6 г. качество журнала упало10.
По среднему ИХ авторов ДОСиГИК стоит на втором месте среди всех проанализированных журналов (и на 1-м среди «молодых» журналов). Казалось бы, это не может не радовать, но… Одна «ложка дегтя в бочку» этого достижения уже была добавлена в [Glagolev et al., 2018] (см. там разд. «Сравнение показателей ДОСиГИК и других научных журналов»). Теперь пришло время добавить и вторую: если считать, что ИХ напрямую связан с опытностью авторов, с объемом их научных достижений, то почему же тогда (при очень высоком среднем ИХ авторов) импакт-фактор ДОСиГИК и его ВеЦиПоП не слишком высоки? Т.е., иначе говоря, раз в ДОСиГИК публикуются такие выдающиеся авторы, то почему статьи не слишком выдающиеся? Не по тому ли, что эти авторы свои лучшие статьи публикуют в иных журналах?
Наконец, рассмотрим последний (но, пожалуй, один из важнейших!) показатель – «Вероятность цитирования статьи после прочтения». По этому показателю ДОСиГИК обгоняет почти все проанализированные журналы и находится на почетном 3-м месте. Однако и в этой «бочке меда» можно найти изрядную «ложку дегтя»: ведь цитируются далеко не все статьи; ВеЦиПоП – это очередная «средняя температура по больнице». Но какая польза автору нецитируемой статьи от того, что статьи другого автора активно цитируются? Поэтому будет полезно попытаться проанализировать, какие конкретно статьи (и почему) привлекли наибольший интерес.
Какие статьи получили наибольший отклик?
Разумеется, встает вопрос: как оценить этот интерес к работам? Представляется естественным использовать тот же подход, что и в предыдущей статье о нашем журнале [Glagolev et al., 2018]: учитывать количество ссылок на ту или иную статью. Если несколько статей получили одно и то же количество ссылок, то они оказываются на одном месте в рейтинге.
В Табл. 2 приведены 10 статей-лидеров. Из них 8 оказались принадлежащими авторам, входящим в одну научную школу. Это неудивительно, если вспомнить, что журнал вырос из «Сборника научных трудов кафедры ЮНЕСКО Югорского государственного университета», а упомянутая научная школа как раз и представляет эту кафедру. Из публикаций, авторы которых не входят в данную школу, обратим внимание на статью А.И. Жилибы и др. [Zhiliba et al., 2011], занявшую 4-е место (19 ссылок). Мы уже отмечали ее в анализе 2018 года [Glagolev et al., 2018], и за прошедшие 5 лет данная работа не потеряла своей актуальности, более того, она поднялась с 5-го на 4-е место.
Таблица 2. Статьи, получившие наибольшее количество ссылок.
Table 2. Articles that have received the most сitations.
Место | N1** | N2** | N3** | Название | Тип* | Авторы |
1 | 30 | 7 | 2.0 | Эмиссия метана: идеология и методология «стандартной модели» для Западной Сибири | Т | [Glagolev, 2008] |
2 | 24 | 20 | 1.8 | Аннотированный список литературных источников по результатам измерений потоков СН4 и СО2 из болот России | Т | [Glagolev, 2010] |
3 | 21 | 15 | 2.3 | Ответ А.В. Смагину: II. Углеродный баланс России | Д | [Glagolev, Sabrekov, 2014] |
21 | 9 | 1.9 | О значениях эмиссии метана из осушительных каналов | Э | [Sirin et al., 2012] | |
21 | 5 | 1.6 | К методу «обратной задачи» для определения поверхностной плотности потока газа из почвы | Т | [Glagolev, 2010] | |
4 | 19 | 19 | 1.6 | Глобальные изменения климата: «метановая бомба» – наукообразный миф или потенциальный сценарий? | Т | [Zhiliba et al., 2011] |
5 | 18 | 17 | 1.6 | Анализ чувствительности модели | Т | [Glagolev, 2012] |
18 | 2 | 1.4 | Эмиссия метана из рямов и гряд средней тайги Западной Сибири | Э | [Kleptsova et al., 2010] | |
6 | 17 | 15 | 1.7 | Продукционно-деструкционные процессы в болотных экосистемах Васюганья | Э | [Mironycheva-Tokareva et al., 2013] |
7 | 16 | 10 | 2.0 | Маршрутные исследования макромицетов в окрестностях стационара Мухрино ЮГУ (Западная Сибирь) | Э | [Filippova et al., 2015] |
Примечания.
*По типу рецензируемые статьи (в терминологии eLibrary – «научные статьи») делятся на «теоретические» (Т) и «экспериментальные» (Э). Статья, поданная в раздел «Дискуссии» (Д), по просьбе авторов также рецензировалась в обычном порядке.
**N1 – количество ссылок, N2 – количество независимых ссылок, N3 – скорость получения ссылок (рассчитана как общее количество ссылок на статью, деленное на время, за которое эти ссылки получены).
Notes.
*By type, peer-reviewed articles (in eLibrary terminology – “scientific articles”) are divided into “theoretical” (T) and “experimental” (Э). The article submitted to the “Discussions” (Д) section was also peer-reviewed in the usual manner at the request of the authors.
**N1 – number of citations, N2 – number of independent citations, N3 – total number of citations of an article divided by the time it took to acquire those citations.
Однако кроме общего числа ссылок будет интересно учесть и количество «независимых» ссылок. Для некоторой статьи А «независимой» будем считать ссылку, полученную из статьи Б, среди авторов которой не было авторов статьи А. Эта информация показана во втором столбце Табл. 2. Как можно заметить, значения существенно отличаются. Мы составили Табл. 3 для статей-лидеров с учетом только «независимых» ссылок. Наибольшее число ссылок получают статьи общего характера (1 и 2) – обзорные по широкой тематике. Это вполне закономерно. Чем более широкий охват, тематика статьи, тем большее число читателей (потенциальных авторов) сможет в дальнейшем использовать и цитировать эту работу. Относительно большое количество ссылок могут получить работы, раскрывающие метод, который может быть использован для решения широкого спектра задач (3-е, 5-е и 6-е места). Следует отметить, что среди лидеров оказалась и дискуссионная статья (4-е место).
Таблица 3. Статьи*, получившие наибольшее количество независимых ссылок.
Table 3. Articles* that have received the highest number of independent сitations.
Место | N2 | N3 | Название | Тип | Авторы |
1 | 20 | 1.5 | Аннотированный список литературных источников по ре-зультатам измерений потоков СН4 и СО2 из болот России | Т | [Glagolev, 2010] |
2 | 19 | 1.6 | Глобальные изменения климата: «метановая бомба» – наукообразный миф или потенциальный сценарий? | Т | [Zhiliba et al., 2011] |
3 | 17 | 1.5 | Aнализ чувствительности модели | Т | [Glagolev, 2012] |
4 | 15 | 1.7 | Ответ А.В. Смагину: II. Углеродный баланс России | Д | [Glagolev, Sabrekov, 2014] |
15 | 1.5 | Продукционно-деструкционные процессы в болотных экосистемах Васюганья | Э | [Mironycheva-Tokareva et al., 2013] | |
5 | 11 | 0.8 | Анализ временных рядов осадков Обь-Иртышского междуречья в ХХ-начале ХХI вв. | Э | [Litvinova et al., 2010] |
11 | 0.8 | Способы оценки пространственно-временных колебаний стока (на примере бассейна Верхней Оби) | Э | [Goroshko, 2010] | |
6 | 10 | 1.2 | Маршрутные исследования макромицетов в окрестностях стационара Мухрино ЮГУ (Западная Сибирь) | Э | [Filippova et al., 2015] |
10 | 0.7 | О восстановлении плотности вероятности методом гистограмм в почвоведении и экологии | Т | [Glagolev, Sabrekov, 2008] | |
7 | 9 | 0.8 | О значениях эмиссии метана из осушительных каналов | Э | [Sirin et al., 2012] |
*Примечание: см. Примечание к Табл. 2.
*Note: see note to Table 2.
Отметим, что значительную долю статей-лидеров составляют теоретические статьи: 50% и 40% среди статей, получивших соответственно наибольшее количество ссылок и наибольшее количество независимых ссылок. Доля дискуссионных статей при этом равна 10%. Любопытно проследить за изменениями для статей-лидеров за прошедшие 5 лет. За этот недолгий срок сменились лидеры на 41.7% и 61.5% среди, соответственно, статей, получивших наибольшее количество ссылок и наибольшее количество независимых ссылок. При этом первые места по общему числу ссылок сохраняются за «старыми» статьями. Любопытен и тот факт, что среди пришедших на смену «новых» статей-лидеров доля экспериментальных статей составляет 40% и 50% соответственно.
Согласно вышесказанному, можно сделать вывод относительно предположений, высказанных в [Glagolev et al., 2018], а именно «количество теоретических статей хорошо бы увеличить, ибо именно они создают, так сказать, славу журнала», и «необходимо повышать качество ”экспериментальных” статей». Исходя из текущей тенденции очевидно, что теоретические работы показали большое «время жизни» на страницах журнала, и, следовательно, наше предположение в этом смысле было верным. Удалось ли повысить качество «экспериментальных» статей? Судя по появлению достаточно большого количества новых, хорошо цитируемых работ, предпринятые в этом направлении усилия не прошли даром.
Отдельно хотелось бы отметить статьи, подаваемые в раздел «Дискуссии». Часть авторов просит прорецензировать статьи, подаваемые в этот раздел. Мы всегда стараемся в этом идти им навстречу, и, как показывает наш анализ, в разделе «Дискуссии» могут попадать крайне интересные читателям работы.
Конечно, количество ссылок не является идеальным критерием, показывающим отклик читателей. Причины и проблемы, связанные с получением ссылок, для статей хорошо известны и не раз описывались. Мы подробно о них говорили в предыдущем анализе [Glagolev et al., 2018], поэтому здесь не станем повторяться. В современном мире чтение работ чаще происходит не в читальных залах библиотек и не дома с приобретенным выпуском журнала, а через Интернет на электронных ресурсах. Цифровой век всё больше вступает в свои права, и наш журнал, идя в ногу со временем, также полностью перешёл на электронный формат. Благодаря этому число просмотров статей на сайте становится более значимым, чем раньше. Конечно, сохраняется возможность, что статья первоначально привлекла внимание лишь благодаря интригующему названию или громкому имени автора. Для этого мы ввели два критерия: «количество просмотров аннотации» и «количество просмотров полного текста». С одной стороны, это позволит лучше понять, соответствует ли статья ожиданиям читателя (или же громкое название всего лишь рекламный ход), а с другой – позволит оценить уровень аннотации: возникает ли после её прочтения желание ознакомиться со всей статьей. В Табл. 4 перечислены 10 статей-лидеров11 за всё время существования журнала. Среди них 60% – это статьи, вышедшие после 2017 года. Любопытен следующий феномен: большое количество просмотров может быть запоздалым эффектом от большого цитирования работы. Так, например, статья «Способы оценки пространственно-временных колебаний стока (на примере бассейна Верхней Оби)» [Goroshko, 2010] не имела много просмотров и не попала в таблицу лидеров, но уже имела существенное количество «независимых» ссылок, занимая второе место. Теперь же по количеству «независимых» ссылок она занимает 5-е место, но при этом занимает 2-е место среди просматриваемых статей. Это вполне логично, ведь читатель может пожелать ознакомиться с источниками, на которые ссылаются в работах, что, конечно, приведет к увеличению просмотров статьи. Таким образом, увеличение количества просмотров может быть свидетельством сохранения интереса у читателей к работам даже при условии, что цитирование статьи может существенно не измениться.
Таблица 4. Наиболее часто просматриваемые статьи* (по данным сайта журнала ДОСиГИК: https://journals.eco-vector.com/EDGCC/issue/archive; дата обращения: 15.09.2023).
Table 4. The most frequently viewed articles* (according to the EDGCC journal website: https://journals.eco-vector.com/EDGCC/issue/archive; access date: 15 Sept. 2023).
Место | Количество просмотров | Название статьи | Тип | Авторы | |
полного текста | анно-тации | ||||
1 | 1552 | 1491 | Типы болотных микроландшафтов озерно-болотных систем Среднего Приобья | Э | [Filippov, Lapshina, 2008] |
2 | 1414 | 1188 | Способы оценки пространственно-временных колебаний стока (на примере бассейна Верхней Оби) | Т | [Goroshko, 2010] |
3 | 1238 | 2130 | Anaerobic methane oxidation by nitrate: kinetic isotope effect | Т | [Vavilin, 2019] |
4 | 1177 | 1871 | К биологии и экологии Sarcosoma globosum в условиях средней тайги Западной Сибири | Э | [Zvyagina, 2015] |
5 | 1107 | 3151 | Информатика биоразнообразия: мировые тенденции, состояние дел в России и развитие направления в Ханты-Мансийском автономном округе | Т | [Filippova et al., 2017] |
6 | 1035 | 1337 | К методу «обратной задачи» для определения поверхностной плотности потока газа из почвы | Э | [Glagolev, 2010] |
7 | 990 | 1573 | Групповой химический состав органического вещества торфа среднетаежной зоны Западной Сибири на примере болотного массива «Мухрино» | Э | [Latysh, 2017] |
8 | 972 | 4723 | История микологических исследований в Ханты-Мансийском автономном округе: 2) изучение макромицетов, лишайников и миксомицетов, состояние коллекций и региональная база находок видов | Т | [Filippova et al., 2017] |
9 | 953 | 4468 | История микологических исследований в Ханты-Мансийском автономном округе: 1) период разрозненных исследований, изучение сообществ ксилотрофных базидиомицетов и фитопатология | Т | [Filippova et al., 2017] |
10 | 949 | 1526 | On some physical and chemical properties of soils of sandy outcrops of the West Siberian northern regions | Э | [Kapitonova et al., 2019] |
*Примечание: см. Примечание к Табл. 2.
*Note: see note to Table 2.
Здесь было бы интересно проследить судьбу статей, которые ранее были выявлены как наиболее просматриваемые статьи (в [Glagolev et al., 2018] было выделено 10 таких статей) – стали ли они высокоцитируемыми или нет? Проанализируем скорость получения ими ссылок за прошедшие годы (Табл. 5). Конечно, пока наиболее просматриваемые статьи не могут сравниться с тем количеством ссылок, которое есть у более ранних статей (см. Табл. 2 и 3). Однако часть этих статей обладает очень хорошей скоростью получения новых ссылок, что вполне соответствует этому показателю у статей-лидеров. Вообще, коэффициент корреляции между количеством просмотров и скоростью получения ссылок составляет 0.792, что свидетельствует о довольно тесной связи между этими параметрами. Таким образом, оценка интереса читателей к относительно недавно опубликованным статьям, очевидно, будет более полной при учете не только текущего количества ссылок на них, но и количества просмотров на сайте журнала. Точнее говоря, поскольку статьи, опубликованные, скажем, 1 и 2 года назад имели существенно разное время для того, чтобы читатели познакомились с ними, вероятно, для недавно опубликованных статей более важным показателем (по сравнению с количеством просмотров) будет «скорость получения просмотров», т.е. отношение количества просмотров к тому времени, в течение которого они осуществлялись. В Табл. 6 мы привели такую информацию по статьям, занявшим первые 10 мест (по скорости получения просмотров полного текста), опубликованным в 2018-2022 гг., т.е. уже после анализа, проведенного в [Glagolev et al., 2018]. Среди этих статей в раздел «теоретические статьи» поданы 50% от общего числа статей, в раздел «экспериментальные статьи» – 40% и 10% в раздел «хроники».
Таблица 5. Скорость получения ссылок* наиболее часто просматриваемыми статьями, отмеченными в [Glagolev et al., 2018: Табл. 4].
Table 5. Calculation of the speed of obtaining сitations* to the most frequently viewed articles noted in Table 4 in the work [Glagolev et al., 2018].
Место | N2 | N3 | Название | Тип | Авторы |
1 | 354 | 1.8 | Информатика биоразнообразия: мировые тенденции, состояние дел в России и развитие направления в Ханты-Мансийском автономном округе | Т | [Filippova et al., 2017] |
2 | 269 | 2.3 | Ответ А.В. Смагину: II. Углеродный баланс России | Д | [Glagolev, Sabrekov, 2014] |
3 | 245 | 1.9 | Аннотированный список литературных источников по результатам измерений потоков СН4 и СО2 из болот России | Т | [Glagolev, 2010] |
4 | 220 | 1.1 | История микологических исследований в Ханты-Мансийском автономном округе: 2) изучение макромицетов, лишайников и миксомицетов, состояние коллекций и региональная база находок видов | T | [Filippova et al., 2017] |
5 | 187 | 1.1 | Физические, химические и биохимические свойства сфагновых и осоковых торфов Западной Сибири | Э | [Szajdak et al., 2016] |
6 | 179 | 0.6 | Фитолиты видов некоторых родов семейства Cyperaceae | Э | [Bobrov et al., 2016] |
7 | 169 | 0.7 | Модель гумификации и минерализации органических веществ в почве и ее использование для расчета составляющих углеродного баланса болотных экосистем | Т | [Zinchenko, 2017] |
8 | 156 | 0.7 | Моделирование динамики концентрации грибного аэрозоля в приземном слое атмосферы | Т | [Glagolev et al., 2016] |
9 | 149 | 1.1 | Динамика фитомассы и продукции мезотрофного болота в ходе повторного заболачивания после мелиорации в Приамурье | Э | [Kopoteva, Kuptsova, 2016] |
10 | 147 | 0.2 | Holocene history of the environment and development of bogs on the eastern slope of the Polar and Pre-Polar Urals | Э | [Panova et al., 2010] |
*Примечание: см. Примечание к Табл. 2.
*Note: see note to Table 2.
Таблица 6. Скорость получения просмотров некоторыми статьями, опубликованными в 2018-2022 гг.
Table 6. Article views rate 2018-2022.
Место | Скорость получения просмотров | Название | Типа) | Авторы | |
полного текстаb) | аннотацииc) | ||||
1 | 309.5 | 532.5 | Anaerobic methane oxidation by nitrate: kinetic isotope effect | Т | [Vavilin, 2019] |
2 | 266.3 | 458.3 | Systems approach to the study of microbial methanogenesis in West-Siberian wetlands | Т | [Kotsyurbenko et al., 2020] |
3 | 255.7 | 607.0 | The reaction of the environment to climate change in the Northern latitudes (on the example of the taiga zone of the Khanty-Mansiysk Autonomous Okrug – Yugra) | Э | [Kuznetsova, 2020] |
4 | 252.7 | 481.7 | Annual range of temperature and precipitation forecast for Altai-Sayan mountain country | Т | [Kirsta, Lovtskaya, 2020] |
5 | 237.3 | 381.5 | On some physical and chemical properties of soils of sandy outcrops of the West Siberian northern regions | Э | [Kapitonova et al., 2019] |
6 | 236.0 | 608.0 | Application of the automated chamber method for longterm measurements CO2 and CH4 fluxes from wetland ecosystems of the West Siberia | Э | [Davydov et al., 2021] |
7 | 235.7 | 272.0 | On the possibility of long-term forecasting of seasonal hydrometeorological phenomena | Т | [Alimpieva, Morozova, 2020] |
8 | 231.0 | 448.7 | Land cover features of the pool of river Polia of the eastern slope of the Subpolar Ural | Э | [Bolshanik, Kuznetsova, 2020] |
9 | 226.3 | 279.3 | Transformation of the relief of territories of development of gas mining deposits of the Taza peninsula | Т | [Bolshanik, Mukhamedyanov, 2019] |
10 | 218.0 | 909.0 | The Blue Earth Project: “Is Humanity Settling its own Fate on Ecological Survival?” | Х | [Jheeta et al., 2022] |
Примечание:
- a) По типу рецензируемые статьи (в терминологии eLibrary – «научные статьи») делятся на теоретические (Т) и «экспериментальные» (Э); статьи в разделе «Хроника» (Х) не рецензируются.
- b) «Скорость просмотров полного текста» рассчитана как общее количество просмотров полного текста статьи, деленное на количество лет, за которое эти просмотры получены.
- c) «Скорость просмотров аннотации» рассчитана как общее количество просмотров аннотации статьи, деленное на количество лет, за которое эти просмотры получены.
Note:
- a) By type, peer-reviewed articles (in eLibrary terminology – “research articles”) are divided into theoretical (T) and “experimental” (Э); articles in the “Chronicle” (X) section are not peer-reviewed.
- b) “Full-text view rate” is calculated as the total number of full-text views of an article divided by the number of years over which these views were received.
- c) “Abstract view rate” is calculated as the total number of abstract views of an article divided by the number of years over which these views were received.
Уровень редакционной коллегии ДОСиГИК
На Рис. 7 приведена оценка показателей публикационной активности членов редакционной коллегии журнала ДОСиГИК. В использованной методике12 [Methodology…, 2017; Mazov, Gureev, 2018] выделяются пять групп публикационной активности: высокая активность, если индекс Хирша ≥ 15; хорошая – если индекс Хирша находится в интервале от 8 до 14; средняя – если индекс Хирша от 4 до 7; слабая – если индекс Хирша 1¸3, а при нулевом индексе активность считается вообще отсутствующей. Расчет проводился на основе данных о публикационной активности членов редколлегии, отраженной в РИНЦ, SCOPUS и WoS. Из Рис. 7 видно, что более 70% членов редколлегии имеют высокую активность (по данным РИНЦ), а более 40% – даже по данным SCOPUS и WoS. Более того, в редколлегии вообще не оказалось членов со средней или хотя бы слабой активностью (по данным РИНЦ), и лишь незначительная доля таковых – по данным более «строгих» библиографических систем (соответственно, менее четверти – по данным SCOPUS и менее трети – по WoS).
Рис. 7. Оценка показателей публикационной активности членов редакционной коллегии журнала ДОСиГИК за весь период их научной деятельности (по данным eLibrary, Scopus, WoS на 01.03.2024).
Fig. 7. Assessment of the publication activity indicators of the members of the editorial board of the journal EDGCC for the entire period of scientific activity (according to eLibrary, Scopus, Web of Science Core Collection; access date: 01 Mar.2024).
Однако, на наш взгляд, данная методика далеко не безупречна. Прежде всего, если под публикационной активностью понимать то, насколько активно публикуется тот или иной автор, то индекс Хирша, строго говоря, ее не характеризует и потому не может называться «показателем публикационной активности». Публикационная активность, очевидно, должна характеризоваться количеством работ, опубликованных за единицу времени. Но более глубокий вопрос состоит в следующем: важна ли для члена редколлегии публикационная активность или что-то иное (например, индекс Хирша)? Ничтожность публикационной активности и индекса Хирша в этом случае, на наш взгляд, легко иллюстрируется следующим примером. Предположим, член Y работала 10 лет и опубликовала 100 статей, цитируемость которых была такова, что индекс Хирша = 3. А член Х работал 1 год, опубликовал 2 статьи, и его индекс Хирша = 2. Публикационная активность, очевидно, выше у Y (100/10 = 10 публикаций/г. > 2/1 = 2 публикаций/г.). И индекс Хирша выше у Y. Но представляется очевидным, что Х – более «крутой» ученый (и, что, по-видимому, наиболее важно для члена редколлегии, он лучше умеет писать статьи – ведь на то, чтобы заработать почти такой же индекс Хирша, как у Y, он потратил в 10 раз меньше времени). Вероятно, уровень членов редколлегии можно было бы характеризовать не индексом Хирша, а скоростью его возрастания, если бы… Если бы индекс Хирша не был слишком «грубой» величиной. Например, у двух ученых, опубликовавших, скажем, по 3 статьи каждый, но имеющих на них соответственно 4, 3, 2 ссылки – у 1-го ученого и 33, 3, 2 ссылки – у 2-го, индекс Хирша будет одинаковым (равным 2), хотя, очевидно, успехи 2-го исследователя существенно больше, чем 1-го. Итак, в соответствии с каким же критерием мы предлагаем анализировать авторитетность членов редколлегии? Из числа наиболее простых критериев, на наш взгляд, это может быть среднее количество ссылок, приходящихся на 1 публикацию данного исследователя. Чем выше этот показатель, тем выше качество статьи, и если он превышает аналогичный показатель для журнала, то, следовательно, данный член редколлегии умеет писать статьи лучше, чем средний автор данного журнала. В этом случае можно надеяться, что своими ценными советами такой член редколлегии с большой вероятностью может способствовать улучшению качества статей журнала.
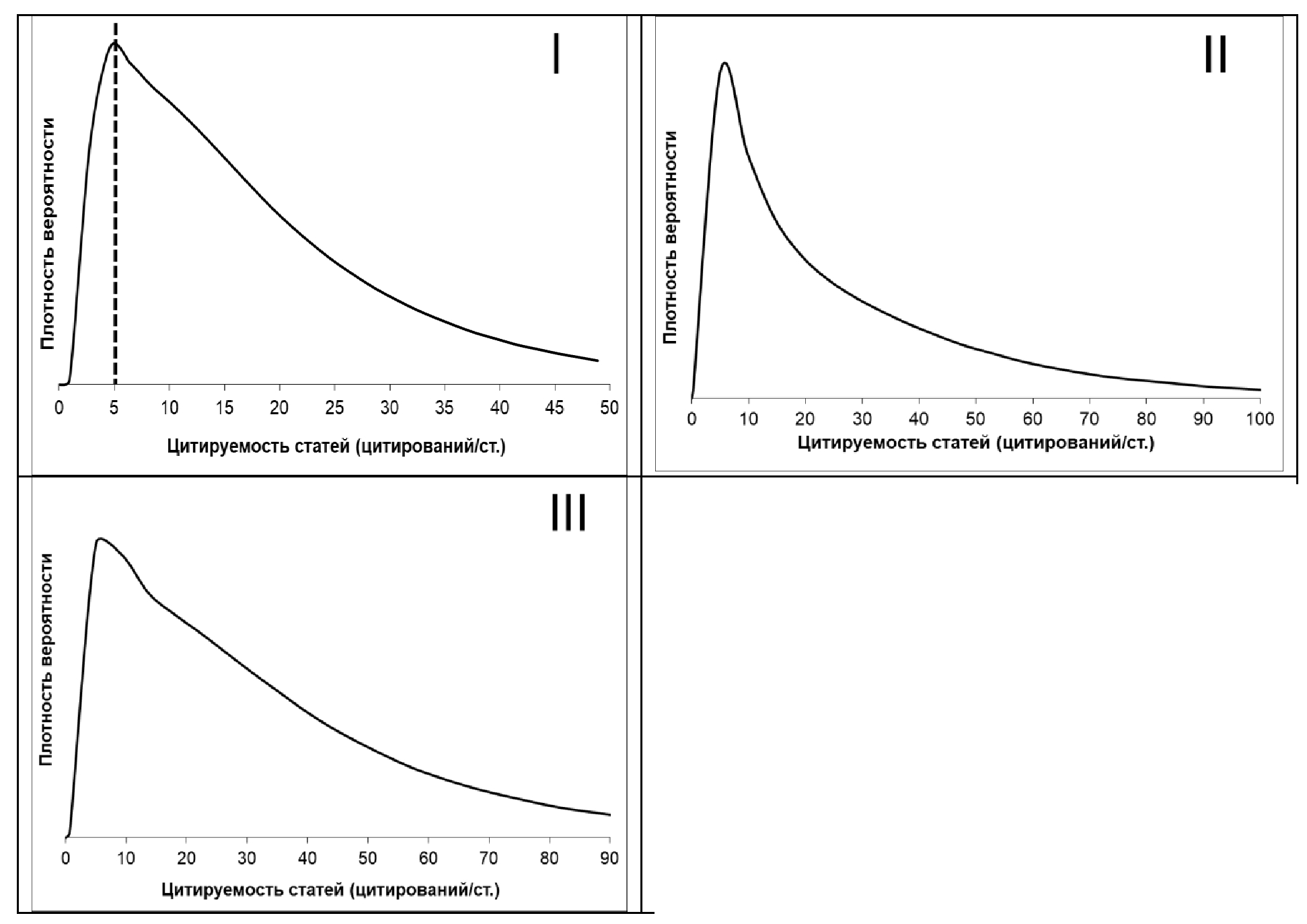
Как видно из Рис. 8, цитируемость членов редколлегии ДОСиГИК находится в достаточно широких пределах, причем у значительной их части она весьма высока (многие десятки ссылок на статью). Более 80% членов редколлегии имеют такую же или большую (иногда существенно большую – в 2-3 раза) цитируемость, чем средняя статья журнала ДОСиГИК.
Рис. 8. Распределение членов редколлегии ДОСиГИК по цитируемости (на 01.03.2024).
I – по данным РИНЦ (пунктирная линия – цитируемость статей журнала ДОСиГИК); II – по данным Scopus; III – по данным WoS.
Fig. 8. Distribution of editorial board members of EDGCC by citation (access date: 01 Mar.2024).
I – according to RSCI data (citations/article), dotted line – citations of the journal EDGCC; II – according to Scopus data (citations/article); III – according to WoS data (citations/article).
ЗАКЛЮЧЕНИЕ
Приведены статистические (наукометрические) данные публикационной активности журнала ДОСиГИК. Кроме того, сделана попытка проанализировать, какие материалы оказались наиболее полезны читателям. В дополнение к ранее вышедшему обзору (за 10 лет) проведена оценка работы журнала за последние пять лет. Отмечены изменения в формате издания журнала (переход только к электронной публикации статей) и то, как эти изменения сказываются на статистических данных. Выделены статьи, вызывавшие наибольший отклик у читателя (по количеству просмотров на сайте и цитированию). Наибольшую скорость получения ссылок продемонстрировала статья, опубликованная в разделе «Дискуссии», а наибольшее количество просмотров аннотации за последние пять лет – статья в разделе «Хроника». Отметим, что значительную долю статей-лидеров, получивших ссылки, составляют теоретические статьи: 50% и 40% среди статей, получивших соответственно наибольшее количество ссылок и наибольшее количество независимых ссылок. Для этих «лидеров» среднее число ссылок на теоретические работы составляет 22, на экспериментальные статьи – 18. На основании этого сделан вывод о том, что наибольший интерес представляют теоретические работы, чуть меньший – экспериментальные. Следовательно, при формировании выпуска журнала редакции следует выбирать статьи разного типа, но, возможно, с некоторым приоритетом в сторону теоретических работ.
Двухлетний ИФ журнала за последние пять лет сохраняется примерно на одном уровне, достигнув хорошего показателя в сравнении с другими журналами сходной тематики (выборка объемом 27 журналов из числа тех, в которых публикуются наши постоянные авторы). Число авторов ДОСиГИК существенно не меняется: за год в ДОСиГИК публикуется около 16 человек, причем ежегодная доля новых авторов также примерно постоянна – около 50%. Средний ИХ авторов ДОСиГИК с течением времени имеет тенденцию к увеличению. По показателю «Вероятность цитирования статьи после прочтения» журнал оказался на третьем месте среди журналов рассматриваемой выборки. Стабильность показателей подчеркивает то, что у журнала сформировалась группа авторов и, по-видимому, читателей. Переход в электронный формат не вызвал существенных изменений (за краткосрочный период) в цитировании статей. Ожидаемо увеличилось количество просмотров статей на сайте. Можно предположить, что на прочтение и цитирование работ в значительной степени будет влиять доступность материалов на сайте, что следует учитывать при дальнейшем планировании работы журнала.
БЛАГОДАРНОСТЬ
Авторы выражают благодарность ректору ЮГУ к.б.н Р.В. Кучину за всемерную поддержку журнала «Динамика окружающей среды и глобальные изменения климата», проректору по научной работе д.ю.н. В.Ф. Лапшину, который активно включился в работу по продвижению журнала в научных и информационных ресурсах и базах данных, а также директору Научной библиотеки ЮГУ И.Е. Кузнецовой и заведующей Единой редакцией научных журналов ЮГУ П.С. Шаровой за неоценимую помощь в оформлении организационно-технологических документов и обеспечении выпуска журнала. Особую благодарность мы хотели бы выразить главному редактору журнала д.б.н. Е.Д. Лапшиной, без которой не было бы вообще ничего. И, конечно, мы благодарны нашим рецензентам и редакторам, без которых работа журнала была бы невозможна.
1 Лейбниц Г. 1936. Новые опыты о человеческом разуме. М. С. 366. – Цит. по [Il’in, 1989, p. 19, 123].
2 Маршакова-Шайкевич И.В. 2009. Цитирование в науке // Энциклопедия эпистемологии и философии науки. М.: Канон+; Реабилитация. С. 1116-1120. – Цит. по [Ponkin, Red’kina, 2019, p. 12].
3 Идея создания именно периодического научного журнала принадлежала Е.Д. Лапшиной. М.В. Глаголев со свойственной ему (не всегда уместной) осторожностью предлагал ограничиться на первых порах изданием ежегодного сборника научных трудов, а если такой сборник продемонстрирует свою жизнеспособность в течение 4 или, лучше, 5 лет, то лишь тогда можно будет перейти к изданию журнала.
4 https://elibrary.ru
5 На момент написания статьи. Вероятно, к моменту опубликования «окно» представленных в eLibrary данных сдвинется на 2013-2022 или даже 2014-2023 гг.
6 На первый взгляд может показаться, что импакт-фактор журнала никогда не был нулевым, следовательно, цитирования все-таки были. Однако никакого парадокса тут нет: цитирующие авторы могли скачать цитируемые статьи не с eLibrary.ru, а, например, с сайта издательства (или вообще ниоткуда не скачивать, а взять в библиотеке бумажный вариант журнала).
7 Если для читателя «сегодняшний день» уже довольно далеко отстоит от момента написания нашей статьи, то, вероятнее всего, неугомонная elibrary наукометрические показатели опять изменит. Поэтому «правильными» в каждый момент времени следует считать те значения, которые размещены на ОСНЭБ.
8 Учитывающего цитирования только из журнальных статей.
9 Правомерность использования этого показателя у некоторых исследователей вообще вызывает сомнение. Ведь он может зависеть от возраста журнала, но раз так, то сравнивать журналы по этому показателю нельзя, если в выборке оказываются разновозрастные журналы. Однако, если ВПоС существенно меньше того срока, в течение которого издается журнал, то зависимость от возраста исчезает, и разновозрастность журналов на анализе не сказывается. На практике обычно реализуется именно такая ситуация.
10 Казалось бы, оно возросло – ведь каждая «молодая» статья в среднем получает ссылок в 2 раза больше, чем старая. К сожалению, вывод о возрастании качества журнала сделать тоже нельзя – из-за того, что существует некоторая «мода» на цитирование более новых статей. Часто журналы поощряют своих авторов цитировать статьи, опубликованные за последние 5 лет, ставя определенные нормативы – какую долю должны составлять такие статьи от общего числа процитированных автором статей. В этих условиях статья, написанная, скажем, 3 г. назад, будет цитироваться чаще, чем статья по тому же вопросу и такая же по качеству, но написанная, например, 13 лет назад. Разумеется, в ДОСиГИК никаких подобных «нормативов» нет, но ведь ссылки на статьи данного журнала идут не только из его же статей.
11 Количество просмотров статей на страницах ДОСиГИК на сайтах издательства и eLibrary сильно различаются (например, в 2023 г. доля просмотров на eLibrary от числа просмотров на сайте издательства составляла меньше 10%: от 1.3% для [Martynova et al., 2023] до 9.0% для [Lapshina, Zarov, 2023]).
12 Уровень редакционной коллегии с использованием данного подхода оценен по совету одного из анонимных рецензентов.
About the authors
O. A. Frolov
Yugra State University
Email: 6.40.7.4@mail.ru
Russian Federation, Khanty-Mansyisk
M. V. Glagolev
Yugra State University; Lomonosov Moscow State University; Institute of Forest Science, Russian Academy of Sciences
Author for correspondence.
Email: m_glagolev@mail.ru
Russian Federation, Khanty-Mansyisk; Moscow; Uspenskoe (Moscow region)
I. Е. Теrentievа
University of Calgary
Email: 6.40.7.4@mail.ru
Canada, Calgary
References
- Alimpieva M.A., Morozova S.V. 2020. On the possibility of long-term forecasting of seasonal hydrometeorological phenomena. Environmental dynamics and global climate change, 11(2): 73-78 (in Russian). doi: 10.17816/edgcc19010
- Bobrov A.A., Semenov A.N., Alexeev Y.E. 2016. Phytoliths of species some genera of the family Cyperaceae. Environmental Dynamics and Global Climate Change, 7(1): 27-33 (in Russian). [Бобров А.А., Семенов А.Н., Алексеев Ю.Е. 2016. Фитолиты видов некоторых родов семейства Cyperaceae // Динамика окружающей среды и глобальные изменения климата. Т. 7. № 1. С. 27-33]. doi: 10.17816/edgcc7127-33
- Bolshanik P.V., Kuznetsova S.B. 2020. Land cover features of the pool of river Polia of the eastern slope of the Subpolar Ural. Environmental Dynamics and Global Climate Change, 11(1): 4-15 (in Russian). doi: 10.17816/edgcc21261
- Bolshanik P.V., Mukhamedyanov T.I. 2019. Transformation of the relief of territories of development of gas mining deposits of the Taza peninsula. Environmental Dynamics and Global Climate Change, 10(1): 16-27 (in Russian). doi: 10.17816/edgcc10454
- Davydov D.K., Dyachkova A.V., Krasnov O.A., Simonenkov D.V., Fofonov A.V., Maksyutov S.S. 2021. Application of the automated chamber method for long-term measurements CO2 and CH4 fluxes from wetland ecosystems of the West Siberia. Environmental dynamics and global climate change, 12(1): 5-14 (in Russian). doi: 10.17816/edgcc48700
- eLIBRARY.RU – Scientific Electronic Library URL: https://elibrary.ru (Last accessed 01.03.2024)
- Filippov I.V., Lapshina E.D. 2008. Peatland unit types of lake-bog systems in the middle Priob’ie (Western Siberia). Environmental Dynamics and Global Climate Change, 1(1S): 115-124 (in Russian). [Филиппов И.В., Лапшина Е.Д. 2008. Типы болотных микроландшафтов озерно-болотных систем Среднего Приобья // Динамика окружающей среды и глобальные изменения климата. Т. 1. № S1. С. 115-124]. doi: 10.17816/edgcc11S115-124
- Filippova N.V., Arefyev S.P., Bulyonkova T.M., Zvyagina E.A., Kapitonov V.I., Makarova T.A., Mukhin V.A., Stavishenko I.V., Tavshanzhi E.I., Shiryaev A.G. 2017. The history of mycological studies in Khanty-Mansi autonomous okrug: 2) studies of Macromycetes, Lichens and Myxomycetes, state of mycological collections and fungal records database. Environmental Dynamics and Global Climate Change, 8(2): 29-45 (in Russian). [Филиппова Н.В., Арефьев С.П., Бульонкова Т.М., Звягина Е.А., Капитонов В.И., Макарова Т.А., Мухин В.А., Ставишенко И.В., Тавшанжи Е.И., Ширяев А.Г. 2017. История микологических исследований в Ханты-Мансийском автономном округе: 2) изучение макромицетов, лишайников и миксомицетов, состояние коллекций и региональная база находок видов // Динамика окружающей среды и глобальные изменения климата. Т. 8. № 2. С. 29-45] . doi: 10.17816/edgcc8229-45
- Filippova N.V., Arefyev S.P., Bulyonkova T.M., Zvyagina E.A., Kapitonov V.I., Makarova T.A., Mukhin V.A., Stavishenko I.V., Tavshanzhi E.I., Shiryaev A.G. 2017. The history of mycological studies in Khanty-Mansi autonomous okrug: 1) the period of isolated studies, lignicolous basidiomycetes and phytopathological studies. Environmental Dynamics and Global Climate Change, 8(2): 18-28 (in Russian). [Филиппова Н.В., Арефьев С.П., Бульонкова Т.М., Звягина Е.А., Капитонов В.И., Макарова Т.А., Мухин В.А., Ставишенко И.В., Тавшанжи Е.И., Ширяев А.Г. 2017. История микологических исследований в Ханты-Мансийском автономном округе: 1) период разрозненных исследований, изучение сообществ ксилотрофных базидиомицетов и фитопатология // Динамика окружающей среды и глобальные изменения климата. Т. 8. № 2. C. 18-28]. doi: 10.17816/edgcc8218-28
- Filippova N.V., Bulyonkova T.M., Lapshina E.D. 2015. Fleshy fungi forays in the vicinities of the YSU Mukhrino field station. Environmental Dynamics and Global Climate Change, 6(1): 3-31 (in Russian). [Филиппова Н.В., Бульонкова Т.М., Лапшина Е.Д. 2015. Маршрутные исследования макромицетов в окрестностях стационара Мухрино ЮГУ (Западная Сибирь) // Динамика окружающей среды и глобальные изменения климата. Т. 6. № 1. С. 3-31]. doi: 10.17816/edgcc613-31
- Filippova N.V., Filippov I.V., Schigel D.S., Ivanova N.V., Shashkov M.P. 2017. Biodiversity informatics: global trends, national perspective and regional progress in Khanty-Mansi Autonomous Okrug. Environmental Dynamics and Global Climate Change, 8(2): 46-56 (in Russian). [Филиппова Н.В., Филиппов И.В., Щигель Д.С., Иванова Н.В., Шашков М.П. 2017. Информатика биоразнообразия: мировые тенденции, состояние дел в России и развитие направления в Ханты-Мансийском автономном округе // Динамика окружающей среды и глобальные изменения климата. Т. 8. № 2. С. 46-56]. doi: 10.17816/edgcc8218-28
- Giri R., Das A.K. 2023. The Journal of Scientometric Research: A Statistical Outlook of the First Eleven Volumes of the Journal. Journal of Scientometric Research, 13(3): 739-754. doi: 10.5530/jscires.12.3.070
- Glagolev M.V. 2008. The emission of methane: ideology and methodology of «Standard model» for Western Siberia. Environmental Dynamics and Global Climate Change, 1(1S): 176-190 (in Russian). [Глаголев М.В. 2008. Эмиссия метана: идеология и методология «стандартной модели» для Западной Сибири // Динамика окружающей среды и глобальные изменения климата. № S1. C. 176-190.] doi: 10.17816/edgcc11S176-190
- Glagolev M.V. 2010. Annotated reference list of CH4 and CO2 flux measurements from Russia mires. Environmental Dynamics and Global Climate Change, 1(2): 1-53 (in Russian). [Глаголев М.В. 2010. Аннотированный список литературных источников по результатам измерений потоков СН4 и СО2 из болот России // Динамика окружающей среды и глобальные изменения климата. Т. 1. № 2. С. 3-55]. doi: 10.17816/edgcc121-
- Glagolev M.V. 2010. Inverse modelling method for the determination of the gas flux from the soil. Environmental Dynamics and Global Climate Change, 1(1): 17-36 (in Russian). [Глаголев М.В. 2010. К методу «обратной задачи» для определения поверхностной плотности потока газа из почвы // Динамика окружающей среды и глобальные изменения климата. Т. 1. № 1 С. 17-36]. doi: 10.17816/edgcc1117-36
- Glagolev M.V. 2012. High water table can lower a methane emission from soil. Environmental Dynamics and Global Climate Change, 3(1): 1-10 (in Russian). [Глаголев М.В. 2012. Высокий уровень стояния воды может снижать эмиссию метана из почвы // Динамика окружающей среды и глобальные изменения климата. Т. 3. № 1. С. 1-10]. doi: 10.17816/edgcc311-10
- Glagolev M.V. 2012. Sensitivity analysis of the model. Environmental Dynamics and Global Climate Change, 3(3): 31-53 (in Russian). [Глаголев М.В. 2012. Анализ чувствительности модели // Динамика окружающей среды и глобальные изменения климата. Т. 3. № 3. С. 31-53]. doi: 10.17816/edgcc3331-53
- Glagolev M.V., Sabrekov A.F. 2008. Reconstruction of probability density distribution by histogram method in soil science and ecology. Environmental Dynamics and Global Climate Change, 1(1S): 55-83 (in Russian). [Глаголев М.В., Сабреков А.Ф. 2008. О восстановлении плотности вероятности методом гистограмм в почвоведении и экологии // Динамика окружающей среды и глобальные изменения климата. Т. 1. № S1. С. 55-83]. doi: 10.17816/edgcc11S55-83
- Glagolev M.V., Sabrekov A.F. 2014. A reply to A.V. Smagin: II. Carbon balance of Russia. Environmental Dynamics and Global Climate Change, 5(2): 50-70 (in Russian). [Глаголев М.В., Сабреков А.Ф. 2014. Ответ А.В. Смагину: II. Углеродный баланс России // Динамика окружающей среды и глобальные изменения климата. Т. 5. № 2. С. 50-70]. doi: 10.17816/edgcc5250-70
- Glagolev M.V., Sabrekov A.F., Faustova E.V., Marfenina O.E. 2016. Modelling of concentration dynamics of fungal aerosols in the atmospheric boundary layer: I. Basic processes and equations. Environmental Dynamics and Global Climate Change, 7(2): 85-102 (in Russian). [Глаголев М.В., Сабреков А.Ф., Фаустова Е.В., Марфенина О.Е. 2016. Моделирование динамики концентрации грибного аэрозоля в приземном слое атмосферы: I. Основные процессы и уравнения // Динамика окружающей среды и глобальные изменения климата. Т. 7. № 2 (14). С. 85-102]. doi: 10.17816/edgcc7285-102
- Glagolev M.V., Sabrekov A.F., Filippova N.V., Lapshina E.D. 2018. Ten years of progress: Analytic review of the first decade of journal functioning. Environmental Dynamics and Global Climate Change, 9(2): 3-16 (in Russian). [Глаголев М.В., Сабреков А.Ф., Филиппова Н.В., Лапшина Е.Д. 2018. Десять лет в победном строю: анализ деятельности журнала за первое десятилетие существования // Динамика окружающей среды и глобальные изменения климата. Т. 9. № 2. C. 3-16.] doi: 10.17816/edgcc8838
- Goroshko N.V. 2010. Methods of assessment of spatio-temporal fluctuations (based on the example of the Upper Ob basin). Environmental Dynamics and Global Climate Change, 1(1): 55-65 (in Russian). [Горошко Н.В. 2010. Способы оценки пространственно-временных колебаний стока (на примере бассейна Верхней Оби) // Динамика окружающей среды и глобальные изменения климата. Т. 1. № 1. С. 55-65]. doi: 10.17816/edgcc1155-65
- Heinig K. 1977. On the importance of scientific periodicals in the formation of Liebig’s scientific school. In: Schools in science (S.R. Mikulinskii, M.G. Jaroševskij, H. Steiner, G. Kröber, eds.). Nauka, Moscow, pp. 416-423 (in Russian). [Гейниг К. 1977. О значении научной периодики в формировании научной школы Либиха // Школы в науке / Под ред. С.Р. Микулинского, М.Г. Ярошевского, Г. Крёбера, Г. Штейнера. М.: Наука. C. 416-423.]
- Il’in V.V. 1989. Criteria for scientific knowledge. Publishing house "Higher School", Moscow, 128 p. (in Russian). [Ильин В.В. 1989. Критерии научности знания. М.: Высш. шк. 128 с.]
- Jheeta S., Chatzitheodoridis E., Dominik M., Kotsyurbenko O.R., Laine P., Pérez M.P., Torres de Farias S., McGrath K., Rezaei A., Nyambuya G., Gupta V., Changela H., Bhatt M.C., Simpemba P., Gustafson L., Kadiri M.O., Godoy-Faúndez A., Nelson N., Nielsen J.N., Smith D. 2022. The Blue Earth Project: “Is Humanity Settling its own Fate on Ecological Survival?”. Environmental dynamics and global climate change, 13(1): 49-58. doi: 10.18822/edgcc108267
- Kalaimathi V., Geethalakshmi V., Parasuraman P., Kathirvelan P., Swaminathan C. 2024. A bibliometric analysis of the Journal of Agrometeorology (JAM) from 2008 to 2022. Journal of Agrometeorology, 26(1): 1-17. doi: 10.54386/jam.v26i1.2525
- Kapitonova O.A., Aksarina K.Y., Yu A.K. 2019. On some physical and chemical properties of soils of sandy outcrops of the West Siberian northern regions. Environmental dynamics and global climate change, 10(1): 28-37 (in Russian). doi: 10.17816/edgcc10533
- Karelin D.V., Glagolev M.V., Sabrekov A.F. 2020. «Whither, then, are you speeding, O Russia of mine?»: What do scientists think about the new system of their labor evaluation in Russia? Environmental dynamics and global climate change, 11(2): 104-124 (in Russian). doi: 10.17816/edgcc52983
- Kirsta Y.B., Lovtskaya O.V. 2020. Annual range of temperature and precipitation forecast for Altai-Sayan mountain country. Environmental dynamics and global climate change, 11(1): 16-23 (in Russian). doi: 10.17816/edgcc34020
- Kleptsova I.E., Glagolev M.V., Filippov I.V., Maksyutov S.S. 2010. Methane emission from middle taiga ridges and ryams of Western Siberia. Environmental Dynamics and Global Climate Change, 1(1): 66-76 (in Russian). [Клепцова И.Е., Глаголев М.В., Филиппов И.В., Максютов Ш.Ш. 2010. Эмиссия метана из рямов и гряд средней тайги Западной Сибири // Динамика окружающей среды и глобальные изменения климата. Т. 1. № 1. С. 66-76]. doi: 10.17816/edgcc1166-76
- Kopoteva T.A., Kuptsova V.A. 2016. Dynamics of phytomass and production on reclaimed mesotrophic mire during repeated water-logging process in the Lower Amur region. Environmental Dynamics and Global Climate Change, 7(2): 3-12 (in Russian). [Копотева Т.А., Купцова В.А. 2016. Динамика фитомассы и продукции мезотрофного болота в ходе повторного заболачивания после мелиорации в Приамурье // Динамика окружающей среды и глобальные изменения климата. Т. 7. № 2. С. 3-12]. doi: 10.17816/edgcc723-12
- Kosyakov D.V., Selivanova I.V., Lavrik O.L. 2020. The Scientometrics of Journal “Bibliosphere”: analysis of tendencies and future development. Bibliosphere, (3): 3-13. (in Russian). [Косяков Д.В., Селиванова И.В., Лаврик О.Л. 2020. Наукометрия журнала "Библиосфера": анализ тенденций и перспектив развития // Библиосфера. №. 3. С. 3-13]. doi: 10.20913/13/1815-3186-2020-3-3-13
- Kotsyurbenko O.R., Glagolev M.V., Sabrekov A.F., Terentieva I.E. 2020. Systems approach to the study of microbial methanogenesis in West-Siberian wetlands. Environmental Dynamics and Global Climate Change, 11(1): 53-68 (in Russian). doi: 10.17816/edgcc15809
- Kuznetsova V.P. 2020. The reaction of the environment to climate change in the Northern latitudes (on the example of the taiga zone of the Khanty-Mansiysk Autonomous Okrug – Yugra). Environmental dynamics and global climate change, 11(1): 24-36 (in Russian). doi: 10.17816/edgcc33996
- Lapshina E.D., Zarov E.A. 2023. Stratigraphy of peat deposits and mire development in the southernpart of the forest zone of Western Siberia in Holocene. Environmental dynamics and global climate change, 14(2): 70-101. doi: 10.18822/edgcc568688
- Latysh I.M. 2017. Methods of assessment of spatio-temporal fluctuations(based on the example of the Upper Ob basin). Environmental Dynamics and Global Climate Change, 8(2): 57-63 (in Russian). [Латыш И.М. 2017. Групповой химический состав органического вещества торфа среднетаежной зоны Западной Сибири на примере болотного массива "Мухрино" // Динамика окружающей среды и глобальные изменения климата. Т. 8. № 2. С. 57-63]. doi: 10.17816/edgcc8257-63
- Litvinova O.S., Gulyaeva N.V. 2010. The analysis of time numbers of deposits Ob-Irtysh interfluvesin ХХ – beginning ХХI centuries. Environmental Dynamics and Global Climate Change, 1(1): 45-54 (in Russian). [Литвинова О.С., Гуляева Н.В. 2010. Анализ временных рядов осадков Обь-Иртышского междуречья в ХХ-начале ХХI вв. // Динамика окружающей среды и глобальные изменения климата. Т. 1. № 1. С. 45-54]. doi: 10.17816/edgcc1145-54
- Martirosyan A.B. 2010. Inspirer of repression or talented organizer?1917-1941. Veche, Moscow, 313 p. (in Russian). [Мартиросян А.Б. 2010. Вдохновитель репрессий или талантливый организатор? 1917-1941 гг. М.: Вече. C. 313.]
- Martynova Y.V., Voropay N.N., Matyukhina A.A. 2023. Variability of temporal characteristics of snow cover in Siberia on ground-based data. Environmental Dynamics and Global Climate Change, 14(3): 181-197 (in Russian). doi: 10.18822/edgcc625771
- Mazov N.A., Gureev V.N. 2018. “Seismic technologies” in the context of Russian journals on Earth sciences: an extensive 10-year bibliometric analysis. Russian Journal of Geophysical Technologies, (1): 3-14 (in Russian). [Мазов Н.А., Гуреев В.Н. 2018. Журнал «Технологии сейсморазведки» в контексте российских изданий по наукам о Земле: многопрофильный библиометрический анализ за последние 10 лет // Геофизические технологии. №. 1. С. 3-14.] doi: 10.18303/2619-1563-2018-1-1
- Methodology of bibliometric examination. 2017. NEICON, Moscow, 27 pp. (in Russian). [Методика библиометрической экспертизы. 2017. М.: НЭИКОН. 27 C.].
- Mironycheva-Tokareva N.P., Kosykh N.P., Vishnykova E.K. 2013. Production and destruction processes in peatland ecosystems of Vasyugan region. Environmental Dynamics and Global Climate Change, 4(1): 1-9 (in Russian). [Миронычева-Токарева Н.П., Косых Н.П., Вишнякова Е.К. 2013. Продукционно-деструкционные процессы в болотных экосистемах Васюганья // Динамика окружающей среды и глобальные изменения климата. Т. 4. № 1. С. 1-9]. doi: 10.17816/edgcc411-9
- Mukhametshin R.R., Asylgaraeva G.Sh. 2021. Comparative analysis of scientometrics indicators of “Povolzhskaya аrkheologiya” journal. Scientific and Technical Libraries, (4): 73-92 (in Russian). [Мухаметшин Р.Р., Асылгараева Г.Ш. 2021. Сравнительный анализ наукометрических показателей журнала «Поволжская археология» // Научные и технические библиотеки. №. 4. С. 73-92]. doi: 10.33186/1027-3689-2021-4-73-92
- Nalimov V.V., Mul’chenko Z.М. 1969. Scientometrics. Study of the development of science as an information process. Nauka, Moscow, 192 pp. (in Russian). [Налимов В.В., Мульченко З.М. 1969. Наукометрия. Изучение развития науки как информационного процесса. М.: Наука. 192 с.]
- Panova N.K., Antipina T.G., Jankoska V. 2010. Holocene history of the environment and development of bogs on the eastern slope of the Polar and Pre-Polar Urals // Динамика окружающей среды и глобальные изменения климата. Т. 1. № 2. С. 105-117.
- Ponkin I.V., Red’kina А.I. 2019. Citation as a method of supporting and supporting scientific research. Publishing house "INFRA-M", Moscow, 86 p. (in Russian). [Понкин И.В., Редькина А.И. 2019. Цитирование как метод сопровождения и обеспечения научного исследования. М.: ИНФРА-М. 86 с.]
- Sidiropoulos A., Katsaros D., Manolopoulos Y. 2006. Generalized h-index for Disclosing Latent Facts in Citation Networks. URL: http://arxiv.org/abs/cs/0607066v1
- Sirin A.A., Suvorov G.G., Chistotin M.V., Glagolev M.V. 2012. Values of methane emission from drainage ditches. Environmental Dynamics and Global Climate Change, 3(2): 1-10 (in Russian). [Сирин А.А., Суворов Г.Г., Чистотин М.В., Глаголев М.В. 2012. О значениях эмиссии метана из осушительных каналов // Динамика окружающей среды и глобальные изменения климата. Т. 3. № 2 (6). С. 1-10]. doi: 10.17816/edgcc321-10
- Smagin A.V. 2014. Spornye voprosy kolichestvennoy otsenki gazovykh potokov mezhdu pochvoy i atmosferoy (k diskussii M.V. Glagoleva i A.V. Naumova). Environmental Dynamics and Global Climate Change, 5(2): 10-25 (in Russian). [Смагин А.В. 2014. Спорные вопросы количественной оценки газовых потоков между почвой и атмосферой (к дискуссии М.В. Глаголева и А.В. Наумова) // Динамика окружающей среды и глобальные изменения климата. Т. 5. № 2. С. 10-25]. doi: 10.17816/edgcc5210-25
- Szajdak L.W., Lapshina E.D., Gaca W., Styła K., Meysner T., Szczepański M., Zarov E.A. 2016. Physical, chemical and biochemical properties of Western Siberia Sphagnum and Carex peat soils. Environmental Dynamics and Global Climate Change, 7(2): 13-25 (in Russian). [Шайдак Л.В., Лапшина Е.Д., Гака В., Стыла К., Мейснер Т., Шчепански М., Заров Е.А. 2016. Физические, химические и биохимические свойства сфагновых и осоковых торфов Западной Сибири // Динамика окружающей среды и глобальные изменения климата. Т. 7. № 2. С. 13-25]. doi: 10.17816/edgcc7213-25
- Vavilin V.A. 2019. Anaerobic methane oxidation by nitrate: kinetic isotope effect. Environmental dynamics and global climate change, 10(1): 3-15 (in Russian).
- Web of Science (WoS) search platform that unites several bibliographic and abstract databases of peer-reviewed scientific literature. URL: https://www.webofscience.com (Last accessed 01.03.2024).
- Zhiliba A.I., Vandisheva G.A., Gribanov K.G., Zakharov V.I. 2011. Global climate change. Is «Methane bomb» scenario sensitive to melting permafrost of West Siberia peat land? Environmental Dynamics and Global Climate Change, 2(1): 1-14 (in Russian). [Жилиба А.И., Вандышева Г.А., Грибанов К.Г., Захаров В.И. 2011. Глобальные изменения климата: «метановая бомба» – наукообразный миф или потенциальный сценарий? // Динамика окружающей среды и глобальные изменения климата. Т. 2. № 1(3). С. 3-16]. doi: 10.17816/edgcc211-14
- Zinchenko A.V. 2017. Model of soil organic matter humification and mineralization and its application for calculation of peatland ecosystems carbon budget characteristics. Environmental Dynamics and Global Climate Change, 8(2): 3-17 (in Russian). [Зинченко А.В. 2017. Модель гумификации и минерализации органических веществ в почве и ее использование для расчета составляющих углеродного баланса болотных экосистем // Динамика окружающей среды и глобальные изменения климата. Т. 8. № 2. С. 3-17]. doi: 10.17816/edgcc823-17
- Zvyagina E.A. 2015. On the biology and ecology of Sarcosoma globosum in the middle taiga belt of West Siberia. Environmental Dynamics and Global Climate Change, 6(2): 3-11 (in Russian). [Звягина Е.А. 2015. К биологии и экологии Sarcosoma globosum в условиях средней тайги Западной Сибири // Динамика окружающей среды и глобальные изменения климата. Т. 6. № 2. С. 3-11]. doi: 10.17816/edgcc623-11
Supplementary files














