Исследование влияния расчетных параметров системы «основание–фундамент» на проверку слабого подстилающего слоя с помощью математической модели
- 作者: 1
-
隶属关系:
- Самарский государственный технический университет
- 期: 卷 1 (2025)
- 页面: 188-189
- 栏目: ЧАСТЬ I. Математическое моделирование и компьютерный инжиниринг
- ##submission.dateSubmitted##: 21.05.2025
- ##submission.dateAccepted##: 04.06.2025
- ##submission.datePublished##: 02.11.2025
- URL: https://edgccjournal.org/osnk-sr2025/article/view/680057
- ID: 680057
如何引用文章
全文:
详细
Обоснование. В практике проектирования довольно частыми являются случаи, когда несущий слой грунта, на который опирается фундамент, подстилается менее прочным грунтом. Помимо природных условий, такая ситуация всегда имеет место при проектировании искусственных оснований. Актуальность темы исследования обусловлена тем, что изучение и анализ влияния изменения расчетных параметров на результаты проверки позволит выполнять расчеты более рационально.
Цель — изучение влияния расчетных параметров системы «основание–фундамент» на результаты проверки слабого подстилающего слоя.
Методы. При выполнении исследований использовались следующие методы: изучение и анализ нормативной и научно-технической литературы по расчету слабого подстилающего слоя; метод суперпозиции при выполнении численного эксперимента на математической модели; аналитическая обработка результатов; сравнительный качественный и количественный анализы полученных данных.
Результаты. Данное исследование представляет собой многофакторную задачу на основе применяемого в инженерной практике аналитического решения, реализованного способом численного моделирования в среде Microsoft Excel в специально разработанной оригинальной программе. В ходе исследования был составлен алгоритм расчета по проверке слабого подстилающего слоя [1], при анализе которого выявлены основные параметры, оказывающие наибольшее влияние на результаты проверки:
- величина внешней нагрузки;
- глубина заложения фундамента;
- ширина подошвы фундамента;
- мощность несущего слоя.
Данные величины были приняты как варьируемые показатели. В качестве исходных данных по геологическим условиям основания были заданы четыре разных сочетания грунтовых напластований [2]:
- песок–песок;
- глина–песок;
- песок–глина;
- суглинок–супесь.
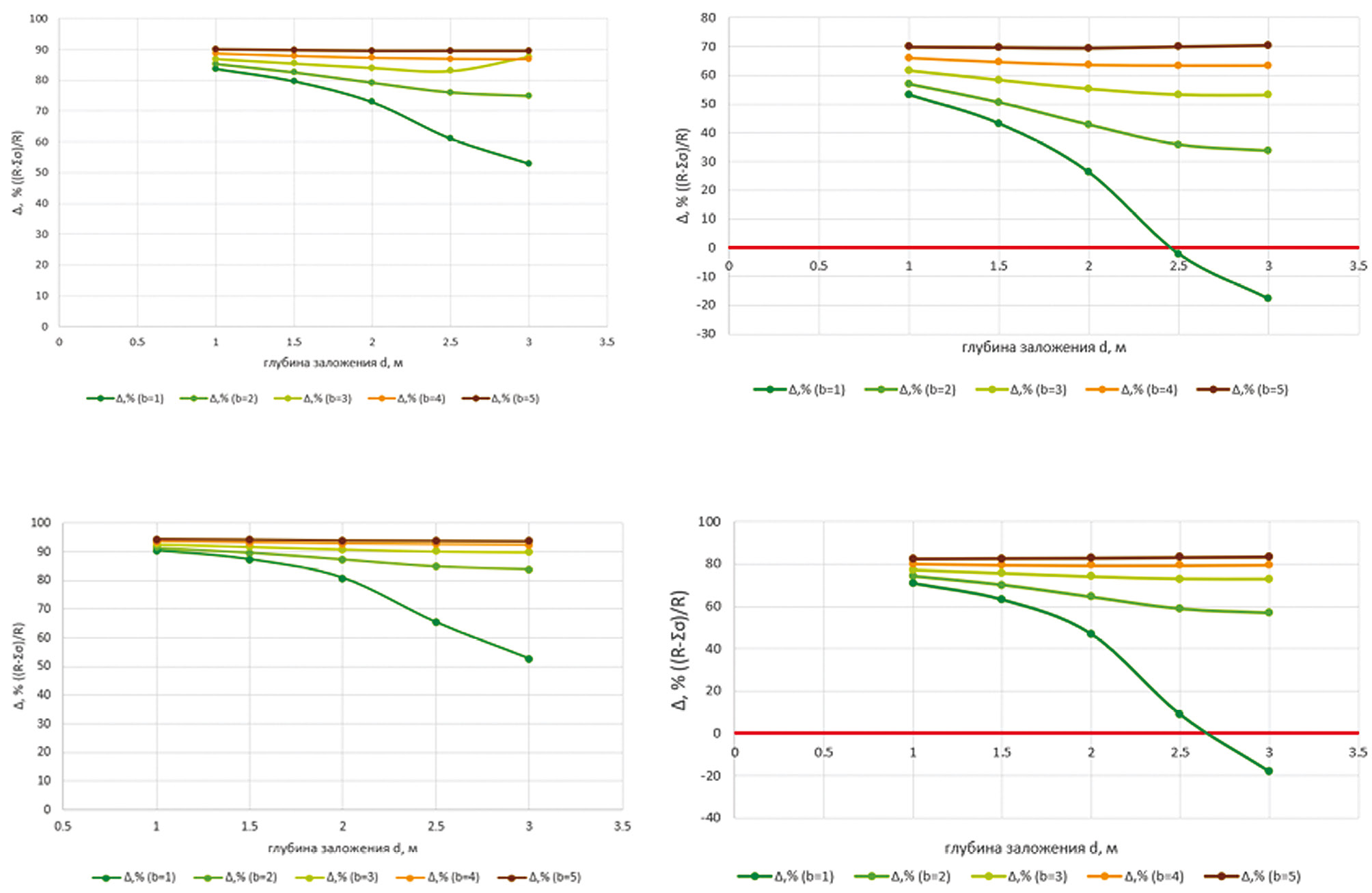
На каждом из указанных грунтовых оснований рассматривались два вида фундаментов мелкого заложения — ленточный и отдельно стоящий. Результаты исследования, представленные в табличной и графической форме, оценивались качественно и количественно. Некоторые примеры графических зависимостей, полученных в процессе эксперимента, показаны на рис. 1.
Рис. 1. Сравнение результатов варьирования ширины подошвы фундамента b при величине внешней нагрузки N = 300 кН и мощности несущего слоя h = 3 м: а) сочетание «глина–песок» — ленточный фундамент; б) сочетание «глина–песок» — отдельно стоящий фундамент; в) сочетание «суглинок–супесь» — ленточный фундамент; г) сочетание «суглинок–супесь» — отдельно стоящий фундамент
Выводы. Анализ результатов численного эксперимента показал:
- Варьирование внешней нагрузки в случае ленточного фундамента оказывает большее влияние на результат проверки, чем в отдельно стоящем фундаменте.
- При ширине подошвы b > 3 м изменение глубины заложения не приводит к изменению результатов расчета.
- При больших нагрузках резко повышается влияние мощности несущего слоя.
作者简介
Самарский государственный технический университет
编辑信件的主要联系方式.
Email: pkalaschnikova@yandex.ru
студентка, группа 21ФПГС-107, факультет промышленного и гражданского строительства
俄罗斯联邦, Самара参考
- Кочергин В.Д., Метелева З.Л., Ведяков И.И. Проектирование фундаментов мелкого заложения зданий и сооружений. Электросталь: ЭПИ МИСиС, 2005. 122 с.
- СП 22.13330.2016. Основания зданий и сооружений. СНиП 2.02.01-83 (с Изменениями № 1, 2, 3). М.: Российский институт стандартизации, 2020. 204 с.
补充文件




