Impact of snow cover and air temperature on ground freezing depth and stability in mountain are
- Authors: Frolov D.1
-
Affiliations:
- Lomonosov Moscow State University
- Issue: Vol 12, No 1 (2021)
- Pages: 43-46
- Section: Discussions
- Published: 13.08.2021
- URL: https://edgccjournal.org/EDGCC/article/view/21205
- DOI: https://doi.org/10.18822/edgcc21205
- ID: 21205
Cite item
Full Text
Abstract
During the construction of debris flow and snow avalanche protecting installation in the mountain regions the problem of fixation and stability of these constructions under the conditions of seasonally or permanently frozen ground arise. For this reason ground freezing depth estimation for winter periods 2015/16-2019/20 was performed on the basis of developed calculating scheme for Elbrus region. The calculating scheme for ground freezing is constructed on the basis of three layer media heat conductivity problem (snow cover, frozen and thawed ground) with phase transition on the boundary of frozen and unfrozen ground. Heat balance equation includes phase transition energy, inflow of heat from unfrozen ground and outflow to frozen ground, snow cover and atmosphere. The heat flux is calculated on basis of Fourier law as a product of heat conductivity and temperature gradient. It is supposed, that temperature changes in each media linearly.
Full Text
Введение
Одним из факторов устойчивости грунта на склонах при строительстве селе- и лавиноудерживающих геотехнических сооружений в горных территориях является промерзание подстилающего грунта, так как в горных районах грунт может находиться в мерзлом состоянии в течение восьми и более месяцев. Однако, происходящее последнее время изменение температуры воздуха и количества осадков (в первую очередь в виде снега) [Golubev et al., 2008] ведут к изменению глубины и длительности промерзания грунта и как следствие уменьшение его устойчивости. Модельное исследование промерзания грунта в горах производилось в работах [Haberkorn et al., 2016]. В данной работе на основе разработанной расчётной схемы производится оценка глубины промерзания грунта для последних пяти зимних сезонов на основе данных о толщине снежного покрова и температуре воздуха для метеостанции Терскол. Метеостанция Терскол расположена в долине Азау в Приэльбрусье на высоте 2141 м над уровнем моря. Средняя температура января составляет там -7°C, июля - 13,4°C, а средняя сумма отрицательных месячных температур зимнего период (ноябрь-март) составляет -20°C. За период снегонакопления (в ноябре-марте) выпадает в среднем около 280 мм осадков, вызывая накопление снежного покрова до 70-80 см толщиной. Расчёты изменения глубины промерзания грунта производились по предложенной расчётной схеме по данным о толщине снежного покрова и температуре воздуха на основании трехслойной модели среды (талый грунт, мерзлый грунт, снег) и при предположении линейного изменения температуры в средах и тепловому потоку согласно закону Фурье.
Материалы и методы
В работе произведены расчёты глубины промерзания грунта на основе данных о температуре воздуха и толщине снежного покрова для метеостанций Терскол за зимние сезоны 2015/16-2019/20 по предложенной в статье [Фролов, 2019] расчётной схеме. Расчётная схема строилась на основе задачи теплопроводности трехслойной среды (снег, мерзлый и талый грунт) с фазовым переходом на границе мерзлого и талого грунта. Расчётная схема применима для условий как покрытой снегом поверхности грунта, так и для оголённой поверхности. Уравнение теплового баланса включало энергию фазового перехода, приток тепла из талого грунта и отток в мерзлый грунт и при наличии снежного покрова через него в атмосферу. Поток тепла рассчитывался по закону Фурье, как произведение теплопроводности и градиента температуры. Предполагалось, что температура в каждой из сред изменяется линейно (например, [DeGaetano et al., 2001]). Для снежного покрова и мерзлого грунта использовалась формула теплопроводности двухслойной среды.
Расчет промерзания грунта, на основе данных о температуре воздуха и толщине и теплопроводности снежного покрова в течение зимнего периода позволял оценить интенсивность движения фронта промерзания в этот период времени. Зависимость скорости движения фронта промерзания находилась по расчетной схеме. Схема учитывала намерзание грунта снизу на массиве мерзлого грунта в зимний период на основе данных о ежедневной температуре воздуха (и толщине и теплопроводности снежного покрова).
Уравнение теплового баланса на границе фронта промерзания записывалось как F1=cLV+F2 или как:
dhмг /dτ =V= ( F1 ‑ F2 )/cL, где:
F1 ‑ отток тепла через замёрзший грунт (и снежный покров) от фронта промерзания (Вт/м2) в атмосферу;
c L V = c L dhмг /dτ ‑ ‑ расход тепла на фазовый переход, c влагосодержание грунта (1-4 кг/см*м2, или с долей содержания влаги 0,1-0,4 от общего объёма среды, где максимальное значение содержания влаги, равное 0,4 (которое было принято при расчётах) соответствует полному заполнению пор водой у легкой глины с плотностью 2000 кг/м3 и коэффициентом пористости 0,617 [Грунтоведение, 2005])
L ‑ энергия фазового перехода (335 кДж/кг), V ‑ скорость движения фронта промерзания (см/с);
F2 – отток тепла на охлаждение талого грунта перед фронтом промерзания (Вт/м2).
При составлении уравнения баланса тепла было сделано пренебрежение слагаемыми, отвечающими за теплопотери на охлаждение грунта, а также за изменение его влажности с глубиной.
Тепловой поток выражается по закону Фурье через градиент температуры и теплопроводность как F=- λ (grad T). Таким образом, тепловой поток от фронта промерзания в атмосферу через комбинацию из двух сред (снег и мерзлый грунт) согласно данным справочника [Михеев, 1977] может быть записан как:
формула 1 (см. в доп.файлах)
Здесь Tвозд – температура воздуха, hc и hмг – толщина снега и глубина промерзания, а λc и λмг – теплопроводность снега и мёрзлого грунта.
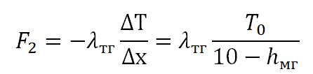
Предполагалось, что на глубине 10 м в грунте находится точка нулевых годовых колебаний температуры T0 со значением около 4°C (значение привязывалось к среднегодовой температуре в Терсколе). Поэтому
формула 2 (см. в доп.файлах)
Здесь λтг – теплопроводность талого грунта. Вычисления производились с шагом в один день. На первый момент предполагалось, что толщина мерзлого грунта hмг равна 0,5 см. На каждом шаге по времени (каждый день) вычислялась (рассчитывалась) скорость промерзания V и значение толщины мерзлого грунта hмг для следующего дня (шага по времени). Согласно [Грунтоведение, 2005], средняя теплопроводность талого и мерзлого глинистого грунта может быть взята как 1,4 и 1,8 Вт/м°C.
Средняя теплопроводность снега λc рассчитывалась относительно плотности по формуле А.В. Павлова [Павлов, 1979] и бралась равной 0,18 Вт/м°C.
Результаты расчётов и обсуждение
В работе для выведенного дифференциального уравнения по времени первого порядка для изменения глубины промерзания грунта была построена разностная схема посредством аппроксимации этого дифференциального уравнения явным методом Эйлер: hмг(tn+1)= hмг(tn)+ Δt V(tn). По полученной разностной схеме для каждого зимнего сезона 2015/16-2019/20 были произведены расчёты изменения глубины промерзания грунта. Результаты расчётов приведены на рисунке 1.
Рис.1. Изменения температуры воздуха и глубины промерзания по данным расчётов для покрытой снегом и оголённой поверхности грунта для метеостанции Терскол для зимних периодов 2015/16-2018/19 (1 – температура воздуха, 2 – толщина снежного покрова и 3 – расчётная глубина промерзания грунта под снежным покровом 4 – расчётная глубина промерзания оголённого грунта).
Примененный метод расчёта является хорошо физически обоснованным. Решение по методу хорошо описывает процесс изменения глубины промерзания в течение зимнего сезона. Важным для успешной работы метода является наиболее возможно точное задание начальных данных.
Результаты расчета максимальной глубины промерзания грунта для метеостанции Терскол за зимние периоды 2015/16-2019/20 приведены в таблице 1.
Таблица 1. Изменение максимальной глубины промерзания грунта, средней за февраль толщины снежного покрова и суммы отрицательных среднемесячных температур для метеостанции Терскол за зимние периоды 2015/16-2019/20
Зимний период | Сумма отриц. среднемес. температур, °C | Сред. за февраль толщина снежного покрова, см | Макс. глубина промерзания покрытого снегом грунта, см | Макс. глубина промерзания оголённого грунта, см |
2015/16 | -18,7 | 60 | 21 | 97 |
2016/17 | -27,7 | 40 | 23 | 119 |
2017/18 | -14,2 | 70 | 8 | 83 |
2018/19 | -19,4 | 60 | 20 | 96 |
2019/20 |
|
| 20 |
|
Согласно расчётам, грунт под снежным покровом остается мёрзлым в Приэльбрусье с декабря по апрель. Мощность накапливаемого снежного покрова может достигать при этом полуметра и более. При этом грунт под покрытой снежным покровом поверхностью промерзает согласно расчётам в среднем на 20 и более сантиметров. В случае частичного или полного сдувания снежного покрова промерзание грунта может происходить на глубину до 1 метра и более и длиться более продолжительный период. Таким образом, предложенный метод расчёта динамики глубины промерзания грунта на основе данных о температуре воздуха и толщине снежного покрова позволяет оценить промерзание грунта как фактора устойчивости грунта при строительстве селе- и лавинозащитных сооружений.
Работа выполнена на основе темы I.7 АААА-А16-116032810093-2 «Картографирование, моделирование и оценка риска опасных природных процессов» (ГЗ).
About the authors
Denis Frolov
Lomonosov Moscow State University
Author for correspondence.
Email: denisfrolovm@mail.ru
J
Russian FederationReferences
- Грунтоведение / Под ред. В.Т. Трофимов. 2005. М.: Изд-во Наука. С. 1024. [Gruntovedenie / Pod red. V.T. Trofimov. 2005. M.: Izd-vo Nauka. P. 1024.]
- Кудрявцев В.А. 1954. Температура верхних горизонтов вечномерзлой толщи в пределах СССР. М.: Изд-во АН СССР. С. 183. [Kudryavtsev V.A. 1954. Temperatura verkhnikh gorizontov vechnomerzloi tolshchi v predelakh SSSR. M.: Publishing house USSR Academy of Sciences. P. 183. (In Russian)]
- Михеев М.А. 1977. Основы теплопередачи / Под. Ред. М.А. Михеев, И.М. Михеева. М.: Изд-во Энергия С. 344. [Kudryavtsev V.A. 1954. Temperatura verkhnikh gorizontov vechnomerzloi tolshchi v predelakh SSSR. M.: Publishing house USSR Academy of Sciences. P. 183. (In Russian)]
- Павлов А.В. 1979. Теплофизика ландшафтов. Новосибирск.: Изд-во Наука. С. 284. [Pavlov A.V. 1979. Teplofizika landshaftov. Novosibirsk.: Izd-vo Nauka. P. 284. (In Russian)]
- Фролов Д.М. 2019. Расчёт глубины промерзания грунта под оголённой и покрытой снегом поверхностью на метеостанции МГУ за зимние периоды 2011/12-2017/18 // Динамика окружающей среды и глобальные изменения климата. Т. 10. № 2. C. 86-90. [Frolov D.M. 2019. Raschet glubiny promerzaniya grunta pod ogolennoi i pokrytoi snegom poverkhnost'yu na meteostantsii MGU za zimnie periody 2011/12-2017/18 // Dinamika okruzhayushchei sredy i global'nye izmeneniya klimata. V. 10. N 2. P. 86-90. (In Russian)]
- DeGaetano A.T., Cameron M.D., Wilks D.S. 2001. Physical simulation of maximum seasonal soil freezing depth in the United States using routine weather observations // Journal of Applied Meteorology. Vol. 40(3). P. 546–555.
- Golubev V.N., Petrushina M.N., Frolov D.M. 2008. Winter regime of temperature and precipitation as a factor of snow-cover distribution and its stratigraphy // Annals of Glaciology Vol. 49, P. 179-186.
- Haberkorn A., Wever N., Hoelzle M., Phillips M., Kenner R., Bavay M., Lehning M. 2016. Distributed snow and rock temperature modeling in steep rock walls using Alpine3D // The Cryosphere Discuss. DOI. https://doi.org/10.5194/tc-2016-73
Supplementary files







