Decomposition rate of peat-forming plants at the initial stages of destruction in peat deposits of the oligotrophic bogs “Bakcharskoe” and “Timiryasevskoe”
- Authors: Nikonova L.G.1, Golovatskaya E.A.1, Tereshchenko N.N.1
-
Affiliations:
- Институт мониторинга климатических и экологических систем СО РАН
- Issue: Vol 11, No 1 (2020)
- Pages: 37-48
- Section: Experimental works
- Published: 20.05.2020
- URL: https://edgccjournal.org/EDGCC/article/view/34045
- DOI: https://doi.org/10.17816/edgcc34045
- ID: 34045
Cite item
Abstract
The article presents experimental data on the decomposition of peat-forming plants at the initial stages in peat deposits of oligotrophic bogs with different hydrothermal conditions. A quantitative assessment of the decomposition rate of the main peat-forming plants is given; the dynamics of the total carbon, nitrogen and ash elements content is determined; a microbiological analysis is performed. It was found that the most intensive decomposition processes occur in the first month of destruction, then the rate of decomposition decreases. Sphagnum mosses are the most resistant to decomposition (the mass loss of Sphagnum fuscum is 9-18% of the initial value). In general, more intensive decomposition processes are observed in the peat deposits of the warmer and less humid Timiryazevskoe bog, in which the nitrogen cycle microflora is most active. Microflora involved in the carbon cycle in the first months of decomposition is generally less active than other groups of microorganisms-destructors.
Full Text
ВВЕДЕНИЕ
Россия занимает первое место в мире по площади, занимаемой болотными экосистемами. Наиболее заболоченным регионом является Западная Сибирь, где преобладают болота олиготрофного типа [Бабешина и Дмитрук, 2009; Евсеева, 2012]. Особенность болотных биогеоценозов заключается в медленной скорости разложения растительных остатков, в следствии чего углерод на долгое время исключается из круговорота веществ [Тюремнов, 1976; Inisheva et al., 2016]. Темпы деструкции зависят от множества факторов, основными из которых являются условия среды, химический состав самих растений-торфообразователей и активность микроорганизмов [Денисенков, 2000]. Наиболее интенсивно деструкция органического вещества протекает в летнее время года, когда уровень болотных вод понижается и атмосферный кислород свободно проникает в верхние горизонты торфяной толщи, в зимний период наблюдается ослабление процессов разложения, связанное с понижением активности микроорганизмов [Козловская с соавт., 1978; Миронычева-Токарева с соавт., 2013; Головацкая с соавт., 2017]. В процессе разложения органического вещества растительного опада в торфяных залежах, наиболее активные потери массы происходят именно на начальных этапах [Коронатова, 2010; Peltoniemi, 2012; Вишнякова, 2012; Filippova, 2018], т.к. микроорганизмы в первую очередь разрушают легкодоступные компоненты, содержание которых со временем убывает и скорость разложения снижается [Боч и Мазинг, 1979]. По стойкости к разложению опад растений-торфообразователей можно разделить на 2 группы: (1) не фиксирующиеся в ботаническом составе органического слоя болотных почв (быстроразлагающаяся фракция) – листья Chamaedaphne cаlyculata, Menyanthes trifoliata, разнотравья; (2) постоянно фиксирующиеся в ботаническом составе торфа (стабильная фракция) – все фракции большинства кустарничков, узлы кущения, корни и корневища трав Carex (осоки), Scheuchzeria (шейхцерия), Eriophorum (пушица), все сфагновые мхи [Вишнякова, 2012; Berg, 2018; Никонова с соавт., 2019]. Современные климатические изменения могут привести к усилению разложения органического вещества и, как следствие, к уменьшению мировых запасов торфа [Hogg et al., 1992]. В связи с изменениями климата и возрастанием антропогенного воздействия на природные экосистемы, изучение процессов трансформации органического вещества, особенно, на начальных стадиях разложения, приобретает важное значение.
Цель работы: изучение влияния гидротермических условий и химического состава растений-торфообразователей на динамику деструкционных процессов на начальных этапах разложения растений-торфообразователей в болотных экосистемах южно-таежной подзоны Западной Сибири.
ОБЪЕКТЫ И МЕТОДЫ ИССЛЕДОВАНИЯ
Исследования динамики процессов разложения растительного опада растений-торфообразователей проводились в Бакчарском районе Томской области на территории стационара «Васюганье» (ИМКЭС СО РАН) на олиготрофном болоте «Бакчарское» и в Томском районе Томской области на территории Обь-Томского междуречья на олиготрофном болоте «Тимирязевское» [Дюкарев, 2002]. Согласно данным метеостанций «Бакчар» и «Томск», погодные условия в Бакчарском районе прохладнее по сравнению с Томским, а количество осадков в среднем выше в Томском районе, за исключением летних месяцев [Головацкая и Никонова, 2013]. Бакчарское болото не подвержено заметному антропогенному влиянию, и его можно считать естественно развивающимся, в отличие от Тимирязевского, находящегося в зоне влияния Томского водозабора, что проявляется в снижении уровня болотных вод (УБВ). Уровни болотных вод сосново-кустарничково-сфагнового фитоценоза Тимирязевского болота в среднем на 15 см ниже по сравнению с рямом Бакчарского болота. В осоково-сфагновых топях различие среднего за вегетационный период и среднего минимального уровня болотных вод между двумя болотами незначимо [Никонова с соавт., 2019].
Разложение растительного материала изучалось в торфяной залежи сосново-кустарничково-сфагновых фитоценозов (рямах) и осоково-сфагновых топях.
Эксперимент по определению скорости разложения растений-торфообразователей на начальных стадиях деструкции проводился методом закладки растительности в торф [Козловская,1978]. С 20 мая 2016 года проводились исследования в ряме болота «Тимирязевское» (56°26'22" с.ш. 84°50'03" в.д.), 20 мая 2017 года осуществлялась закладка растений в торфяную залежь осоково-сфагновой топи болота «Тимирязевское» (56°26'25" с.ш. 84°50'15"в.д.). В болоте «Бакчарское» растительные образцы закладывали в торфяную залежь ряма (56°58'34" с.ш. 82°36'27" в.д.) и осоково-сфагновой топи (56°58'16" с.ш. 82°37'06" в.д.) 1 июня 2017 года. В исследуемых фитоценозах изучали скорость разложения основных растений-торфообразователей: в рямах – Sphagnum fuscum и Eriophorum vaginatum, в осоково-сфагновых топях – Sphagnum angustifolium и Carex rostrata. Собранные растения (очес мхов, ветошь трав) в лабораторных условиях высушивали до воздушно-сухого веса при комнатной температуре до достижения постоянного веса, измельчали до размера 1-2 см и раскладывали в нейлоновые мешочки по 10 г. Приготовленный растительный материал закладывался в торфяную залежь, на глубину 10 см от поверхности в пятикратной повторности. Образцы с растительным материалом извлекались ежемесячно, до сентября в каждой из 4 точек (Тимирязевский рям, Тимирязевская топь, Бакчарский рям, Бакчарская топь). В образцах определяли убыль массы растительного вещества весовым методом, после чего были проведены анализы (в трех повторностях): 1) микробиологические исследования, 2) определение содержания углерода, азота и зольных элементов.
Определение количества зольных элементов проводилось методом сухого озоления, содержание общего азота и общего углерода – методом Анстета в модификации В.В. Пономаревой и Т.А. Плотниковой [Егоров и Дурынина, 1998; Воробьева, 2006]. При изучении активности микрофлоры, использовали прямое микроскопирование по Виноградскому, а также посев на элективные среды для определения численности микроорганизмов, участвующих в цикле превращений соединений азота и углерода [Мишустин, 1975, Рябичева, 2015]. В качестве среды, применяемой для обнаружения микроорганизмов, предпочитающих минеральные формы азота, применялся крахмало-аммиачный агар (КАА); для аммонификаторов – питательная среда на основе гидролизата рыбной муки (ГРМ-агар). Аэробная целлюлозолитическая микрофлора выращивалась на среде Гетчинсона-Клейтона. Анаэробные разрушители целлюлозы анализировали на жидкой среде Омелянского. Определение олиготрофных микроорганизмов осуществлялось на агаризованной водной вытяжке из торфа и растительных остатков. Сахаролитические грибы учитывали на среде Чапека, денитрификаторы – на среде Гильтая [Решетникова с соавт., 2007; Казеев с соавт., 2016]. Численность микроорганизмов определялась через подсчет сформировавшихся на элективных средах изолированных колоний и выражалась как N × 104 КОЕ / 1 г а.с.в. (абсолютно сухого вещества) торфа / растительных остатков). Статистическая обработка экспериментальных данных проведена с использованием пакета программ Microsoft Office Excel 2007 и STATISTICA 6. На рисунках и в таблицах данные представлены в виде средней арифметической со стандартной ошибкой. Для выявления взаимного влияния факторов друг на друга и на скорость разложения органического вещества проводился корреляционный анализ. Все статистические анализы выполнялись при уровне значимости α < 0,05.
РЕЗУЛЬТАТЫ
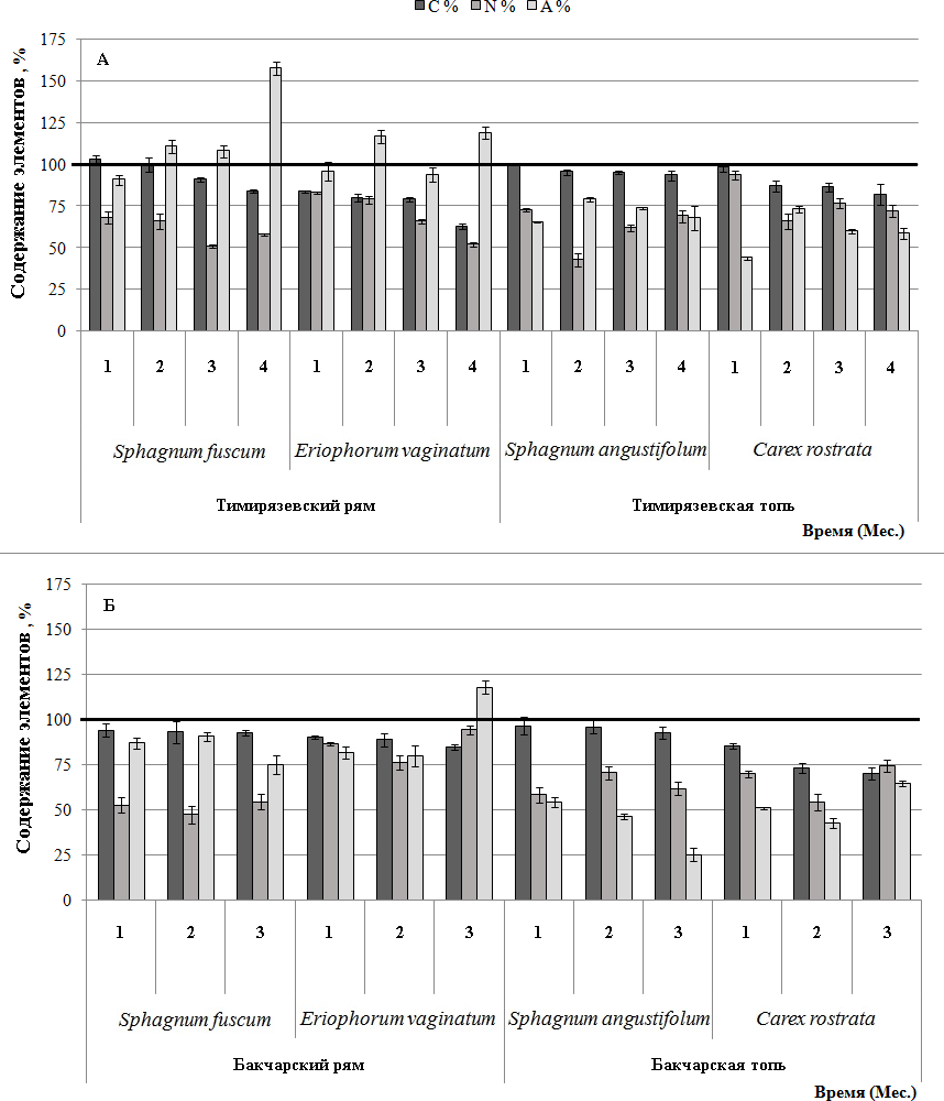
Потери массы на начальных этапах деструкции. Исследуемые растения делятся на две группы по видовому и химическому составу. Самым низким содержанием углерода (среднее содержание углерода достигает 38,3%) и азота (0,65%) и самым высоким соотношением C/N (61) характеризуются сфагновые мхи. Они же являются и самыми низкозольными (1,58%). Вторую группу растений образуют травы, обладающие более благоприятным химическим составом для микроорганизмов-деструкторов по содержанию углерода (43,75%), азота (0,75%), отношению C/N (57) и содержанию зольных элементов (2,93). В результате проведенных исследований по разложению опада основных растений-торфообразователей выявлено, что деструкция органического вещества во всех образцах наиболее активно происходит в первый месяц разложения (36 и 52% от общих потерь за вегетационный период в Тимирязевском и Бакчарском болоте соответственно), за исключением E. vaginatum в условиях Бакчарского ряма, для которой максимальная скорость разложения достигается во второй месяц эксперимента. Наибольшие потери массы органического вещества в первый месяц относительно общих потерь массы (72%) получены для C. rostrata в условиях осоково-сфагновой топи болота «Бакчарское». Среди исследуемых растений наиболее устойчив к разложению S. fuscum (потери массы 9-18% от исходного значения), наименее устойчива – E. vaginatum (рис.1). Средние потери массы за весь период эксперимента составляют 26% на Тимирязевском болоте и 22% в торфяной залежи Бакчарского болота.
Изменение содержания общего углерода и активность микроорганизмов углеродного цикла при разложении растительных остатков. Потери углерода в процессе разложения растительных остатков хорошо коррелируют с потерями массы (коэффициент корреляции (r) равен 0,63). Максимальный вынос углерода зафиксирован для C. rostrata во второй месяц эксперимента в условиях Тимирязевского болота. Для сфагновых мхов наблюдалась низкая скорость выноса углерода из растительных образцов (S. angustifolium на 3,55% и S. fuscum на 6%) в условиях Бакчарского болота, и даже некоторое увеличение содержания углерода в течение первого месяца эксперимента в условиях Тимирязевского болота (S. angustifolium на 0,43% и S. fuscum на 3%). Для травянистых растений потери углерода в течение эксперимента выше и составляют от 15,4 до 37%, при этом осока активнее теряет углерод в условиях болота «Бакчарское», а пушица – в Тимирязевском болоте (рис.2).
Преобладающей группой микроорганизмов среди олиготрофов как на Бакчарском, так и на Тимирязевском болотах являются бактерии. В торфе с Тимирязевского болота наибольшая численность олиготрофов наблюдается в ряме, а в Бакчарском болоте – в топи. При разложении растительных образцов, максимальная численность олиготрофов наблюдалась в августе на топяных участках, и в июле на рямовых, за исключением S. fuscum в ряме Тимирязевского болота, где максимальное количество олиготрофной микрофлоры наблюдалось в сентябре (табл.1, 2).
Численность микроорганизмов разрушителей целлюлозы в исследуемых растительных образцах и торфе на обоих болотах очень низкая по сравнению с другими группами микроорганизмов и составляет не более 1,2×104 КОЕ/ 1 г а.с.в. Обедненность торфяных почв целлюлозолитической микрофлорой была отмечена еще в работах Н.Н. Наплековой, показавшей, что количество аэробных разрушителей целлюлозы в низинных и верховых торфяниках Новосибирской области, как правило, не превышает 5-10 и 0,1-0,8 тыс. клеток в 1 г. торфа соответственно [Наплекова, 1974]. В составе целлюлозолитического микробного сообщества растительных остатков, заложенных в условиях рямов, преобладали грибы, а в условиях топи – миксобактерии, так же, как и грибы способные синтезировать ферменты, разрушающие целлюлозу (табл. 1, 2).
Максимальная численность микроорганизмов достигается в июле для всех фитоценозов и имеет близкие значения. Для большинства образцов активность микрофлоры цикла углерода отражается в увеличении потерь органического вещества в течение 1-2 месяцев разложения (табл. 1, 2). Однако для S. fuscum в условиях Бакчарского ряма максимальная численность данных микроорганизмов фиксируется лишь в августе и сентябре. Всплеск активности микроорганизмов углеродного цикла в сентябре происходит и в торфяной залежи Тимирязевского ряма, что также отражается в возрастании потерь массы растительных остатков.
Численность сахаролитических грибов в среднем выше в условиях Бакчарского болота. При этом в условиях рямов обоих болот количество сахаролитических грибов приблизительно в 5 раз превышает количество последних в топях. Максимальное содержание микроорганизмов сахаролитического комплекса среди растительных образцов фиксировалось в остатках S. fuscum и E. vaginatum в сентябре.
Изменение содержания общего азота и активность микроорганизмов азотного цикла при разложении растительных остатков. При разложении трав за первый месяц потери азота для E. vaginatum составили 14% («Бакчарское» рям) и 17% («Тимирязевское» рям). Для C. rostrata потери азота в первый месяц значительно отличались в зависимости от места закладки образцов, так в торфяной залежи болота «Тимирязевское» потери достигали 7%, в условиях Бакчарского болота – 31%, однако к сентябрю общие потери азота составили 26% («Тимирязевское» топь) и 28% («Бакчарское» топь). Для сфагновых мхов потери азота при разложении более существенны. За первый месяц максимальные потери характерны также для образцов, заложенных в торфяную залежь Бакчарского болота, и достигают 48% для S. fuscum и 42% для S. angustifolium (рис. 2). В целом потери азота из остатков сфагновых мхов происходят равномерно, однако к августу в образцах S. angustifolium и к сентябрю в образцах S. fuscum также происходит накопление азота относительно предшествующего месяца разложения.
За весь вегетационный период во всех изучаемых образцах в среднем количество микроорганизмов, участвующих в цикле азота в условиях Тимирязевского болота превышает в 4 раза общую численность микроорганизмов азотного цикла Бакчарского болота. По отношению к другим группам микроорганизмов количество денитрификаторов минимально, однако в условиях более влажного Бакчарского болота количество данной группы микроорганизмов несколько выше. Во всех образцах количество денитрификаторов к сентябрю уменьшается, достигая своего пика в первые месяцы разложения (табл. 1–4).
Изменение содержания зольных элементов при разложении растительных остатков. Для сфагновых мхов наблюдались изменения содержания зольных элементов в условиях Бакчарского болота, при этом максимальные потери характерны для S. angustifolium (74%). В условиях Тимирязевского болота зафиксировано накопление зольных элементов, с максимальными значениями в образцах S. fuscum (увеличение значения до 58%). Для трав в условиях Бакчарского болота происходило снижение потерь зольных элементов к четвертому месяцу. В условиях Тимирязевского болота наблюдалось чередование повышения и снижения содержания зольных элементов в остатках травянистых растений. Для E.vaginatum в рямах как Бакчарского, так и Тимирязевского болот происходило накопление зольных элементов на 18 и 19% соответственно.
ОБСУЖДЕНИЕ
Потери массы на начальных этапах деструкции. Согласно Н.Г. Коронатовой [2010], проводившей краткосрочный эксперимент по разложению торфа в условиях торфяной залежи топи и ряма болота «Бакчарское», активное разложение органического вещества также происходит в первый месяц деструкции (40 и 50 % от общих потерь массы за 3 месяца в ряме и топи соответственно), что в целом соответствует полученным нами данным. Наибольшая доля разложения в первый месяц характерна для Бакчарского болота (рис. 1). Вероятно, менее интенсивное разложение опада растений в условиях Тимирязевского болота обусловлено погодными условиями во время первого месяца эксперимента – засушливый июнь 2016 года (Гидротермический коэффициент (ГТК) =0,7), избыточно влажный июнь 2017 в условиях Тимирязевского болота (ГТК=1,7). Корреляционный анализ между потерями массы и ГТК показал умеренную обратную связь в условиях Тимирязевского болота (r=–0,35), и более сильную связь – в условиях Бакчарского болота (r=–0,71). Интенсивному разложению также способствует увеличение аэрации, вызываемое снижением УБВ, однако как излишне засушливые, так и избыточно влажные условия способны угнетать процесс разложения [Добровольская с соавт., 2014]. В условиях торфяной залежи болота «Бакчарское», как в топи, так и в ряме снижение скорости разложения происходило постепенно. Однако, в условиях болота «Тимирязевское» во всех образцах после постепенного снижения скорости разложения происходит всплеск активности микроорганизмов, приводящий к заметному увеличению потерь растительного вещества к сентябрю (рис.1, табл. 1). Среди исследуемых растений наиболее устойчивым к разложению оказывается S. fuscum (потери массы 9-19% от исходного значения). Устойчивость сфагновых мхов объясняется наличием в их составе замедляющих активность микроорганизмов и стойких химических соединений, таких как сфагнолы и гемицеллюлоза, а также медленному разложению может способствовать низкое содержание лигнина, доля которого либо не обнаруживается [Добровольская с соавт., 2013], либо составляет незначительную величину – 0,3-0,5% сухой массы [Резников с соавт., 1968]. Наименее устойчивыми – E. vaginatum, при этом в долгосрочном эксперименте пушица, заложенная в условиях осоково-сфагновой топи, из трав являлась наиболее устойчивой к разложению, в отличие от C. rostrata [Головацкая и Никонова 2013]. Согласно исследованиям [Никонова с соавт., 2019] на процессы разложения растительных остатков большое влияние оказывает влажность субстрата, в более сухих условиях рямов разложение E. vaginatum протекает более интенсивно.
Изменение содержания общего углерода и активность микроорганизмов углеродного цикла при разложении растительных остатков. Система биогеохимических циклов определяется ведущим циклом углерода, который состоит из процессов продукции и деструкции органического вещества. Органическое вещество растительного опада на 40-45% состоит из углерода [Вишнякова и Миронычева-Токарева, 2010; Головацкая и Никонова, 2013]. Соответственно изменение массы приводит к изменению содержания углерода, так в трехлетнем эксперименте по разложению растительных остатков [Никонова и Головацкая, 2019], потери углерода хорошо коррелируют с потерями массы (r=0,68). Увеличение содержания углерода в образцах сфагновых мхов (0,43-3%) на самых ранних этапах деструкции возможно связанно со способностью сфагновых мхов к регенерации и активному вегетативному размножению даже после отмирания большей части растения [Бабешина и Дмитрук, 2009]. В отличие от процессов образования органического вещества растений, которые осуществляются самими растениями в результате фотосинтеза, разрушение органического вещества в значительной степени зависит от жизнедеятельности микроорганизмов.
Как известно, олиготрофная микрофлора обладает большим сродством с субстратом, так как этим организмам необходимы малые концентрации биогенных элементов. Преобладание данной группы микроорганизмов свидетельствует о низкой скорости трансформации органического вещества, поскольку чаще всего они минерализуют остатки опада после так называемой «зимогенной» группы микроорганизмов, то есть развивающейся только при наличии в субстрате легкодоступного органического вещества [Мишустин, 1975]. В торфе, в среде, в которой протекает процесс разложения, как в топи, так и в ряме наблюдается всплеск активности микроорганизмов в июле и в сентябре, а в свежих растительных остатках в основном в июле и в августе в зависимости от фитоценоза (рям и топь соответственно). Существенно отличался от остальных образцов S. fuscum, для которого максимальная активность олиготрофов в условиях Бакчарского болота проявлялась в первый месяц, а в условиях Тимирязевского – лишь к 4 месяцу эксперимента, при этом среди микрофлоры преобладали грибы что, в целом, является дополнительным свидетельством низкой доступности для бактерий органического вещества в составе S. fuscum.
Разрушители целлюлозы являются неотъемлемым компонентом углеродного цикла, благодаря своей способности под действием ферментов целлюлаз и гемицеллюлаз трансформировать сложные высокомолекулярные соединения, составляющие основу «скелета» растительных остатков [Наплекова, 1974; Речкин и Ладыгина, 2010]. Грибы – первая группа микроорганизмов, за счет своего мицеллярного строения и способности продуцировать гидролитические ферменты, легче всего внедряются в мицеллы лигноцеллюлозных волокон и разрыхляют их изнутри. Различная динамика процесса разложения органического вещества и соответственно выноса углерода из растительных остатков, выявленная для разных видов растений объясняется составом и численностью микроорганизмов, задействованных в процессе трансформации. Так, например, равномерный вынос углерода у травянистых растений, возможно, обусловлен приблизительно одинаковым уровнем активности целлюлозолитической микрофлоры в первые 3 месяца эксперимента. Не менее важным фактором является среда, в которой протекают процессы трансформации. Изучение микробиологических свойств самого торфа, в котором экспонировали изучаемые растительные остатки, показало, что торф Тимирязевского болота обогащен микроорганизмами лигноцеллюлозного комплекса в большей степени, чем торф Бакчарского болота, что является более благоприятными условиями для развития собственной микрофлоры образцов заложенных в торфяную залежь.
В составе целлюлозолитического сообщества преобладают миксобактерии и грибы, что вероятно вызвано, их большей устойчивостью к засушливым периодам, которые наблюдались в ходе нашего эксперимента. Повышенная численность миксобактерий в рассматриваемых вариантах также косвенно может свидетельствовать о наличии легкодоступных углеводородов в растительных остатках [Мишустин, 1975].
Разрушителям целлюлозы сопутствуют микроорганизмы сахаролитического комплекса – дрожжи и мукоровые грибы, являющиеся одними из основных потребителей продуктов ферментативного гидролиза целлюлозы [Речкин и Ладыгина, 2010]. При этом в торфе Тимирязевского болота также зафиксирована наибольшая активность грибов в сентябре, в торфе Бакчарского болота наибольшая численность сахаролитических грибов наблюдалась в начале эксперимента. Как правило, высокая численность сахаролитических грибов служит индикатором повышенной активности целлюлозолитических процессов, протекающих в более благоприятных аэробных условиях [Наплекова, 1974]. Не случайно содержание сахаролитических грибов в торфяной среде, окружающей растительные образцы, имеет тесную связь с их содержанием в самих растительных образцах, причем в лучше аэрируемых условиях рямов эта зависимость более сильная по сравнению с топяными участками. Коэффициенты корреляции равны 0,97 и 0,84 для рямов и 0,71 и 0,52 для топей Тимирязевского и Бакчарского болот.
Изменение содержания общего азота и активность микроорганизмов азотного цикла при разложении растительных остатков. Цикл органического углерода также тесно связан с циклом азота [Речкин и Ладыгина, 2010, Головченко с соавт., 2013]. Но в отличие от цикла углерода, который частично зависит от фотосинтетической активности растений, цикл азота с его этапами – азотфиксацией, аммонификацией, нитрификацией, денитрификацией – целиком определяется деятельностью бактерий [Речкин и Ладыгина, 2010]. Выявленная существенная разница в изменении содержания общего азота в растительных образцах в течение первого месяца эксперимента объясняется максимальной численностью микроорганизмов, участвующих в цикле азота в этот период в образцах растений и торфа Бакчарского болота.
Коэффициент минерализации является одним из наиболее информативных показателей интенсивности процесса микробного разложения органического вещества, определяемый как количественное соотношение микроорганизмов, преимущественно усваивающих минеральные формы азота, и микроорганизмов-аммонификаторов. Относительное увеличение коэффициента минерализации, как правило, свидетельствует о возрастании скорости биодеградации органических соединений в почве. Результаты исследований показали, что микроорганизмов, усваивающих минеральные формы азота, в условиях рямов оказалось в 1,7 раз, а в условиях топи в 1,2 раза меньше, чем микроорганизмов, усваивающих органические формы азота. Более высокий коэффициент минерализации (1,7), характерный для условий рямов, вероятнее всего, обусловлен лучшей аэрацией торфяной залежи ряма по сравнению с условиями топи (табл. 3,4).
Несмотря на то, что грибы растут быстрее и их биомасса зачастую на первых этапах деструкции превышает биомассу актиномицетов и бактерий [Красильников, 1958; Аристовская, 1980], численность последних в наших исследованиях для большинства образцов превышает численность грибов. В ходе корреляционного анализа обнаружена умеренная обратная связь между содержанием азота и количеством грибов (r=-0,29), что возможно объясняет небольшое угнетение грибной микрофлоры.
Конечным этапом цикла азота является денитрификация – восстановление нитратов до газообразного состояния в анаэробных условиях [Речкин и Ладыгина, 2010]. Результаты корреляционного анализа выявили умеренную зависимость между количеством денитрификаторов и олиготрофов в растительных остатках (r=0,32) что, возможно, свидетельствует о трофической сопряженности денитрификаторов и процессов гетеротрофной нитрификации, осуществляемой олиготрофными грибами.
Изменение содержания зольных элементов при разложении растительных остатков. На метаболическую активность микроорганизмов большое влияние оказывают и зольные элементы, способные косвенно регулировать скорость разложения органического вещества растений-торфообразователей [Евдокимова и Мозгова, 1984; Сакович и Безматерных, 2005]. При этом низкое содержание зольных элементов может привести к снижению скорости деструкции органического вещества [Морозова, 1991; Федорец, 1997]. Так и в наших исследованиях, изначально низкозольные сфагновые мхи медленнее всех образцов теряли массу, а травянистые растения с более высоким содержанием зольных элементов разлагались быстрее. В течении эксперимента наблюдалось как снижение зольности, так и увеличение. Так, в условиях Тимирязевского болота наблюдается накопление зольных элементов, при этом максимальное накопление свойственно для главного торфообразователя – S. fuscum. Сведения о накоплении зольных элементов в растительных остатках при разложении в условиях верховых болот встречаются и в работах других авторов, особенно способностью к биоаккумуляции зольных элементов отличаются сфагновые мхи [Никонов, 1955; Косых, 2010; Ляпина 2015; Говоруха, 2017].
ВЫВОДЫ
- Наибольшие потери массы растительных остатков во время деструкции происходят в первый месяц разложения – от 36 до 52% от общих потерь за вегетационный период. Существует связь между гидротермическим коэффициентом и потерями массы растительных остатков: умеренная обратная связь в условиях Тимирязевского болота (r=–0,35), и более сильная связь – в условиях Бакчарского болота (r=–0,71). Сфагновые мхи обладают медленными темпами разложения, минимальной скоростью деструкции на начальных этапах характеризуется Sphagnum fuscum (потери массы за вегетационный период достигают 9-18%). Наименее устойчивым на начальных стадиях разложения является Eriophorum vaginatum.
- Потери углерода хорошо коррелируют с потерями массы. У трав потери углерода значительнее, чем у мхов. Потери азота для большинства растений-торфообразователей в первый месяц разложения наиболее активны для более влажных условий Бакчарского болота, в последующем общие потери приобретают близкие значения. Наибольшие потери азота характерны для сфагновых мхов. На первых этапах деструкции происходит неоднозначное изменение содержания зольных элементов, в некоторых остатках растений обнаруживается их накопление. Максимальное накопление характерно для Sphagnum fuscum в условиях Тимирязевского ряма.
- Максимальная численность микроорганизмов отмечается в июле и сентябре. Торф и образцы растений, заложенные в условиях Тимирязевского болота, более насыщены микроорганизмами, участвующими в цикле азота, а образцы с Бакчарского болота богаты микроорганизмами цикла углерода.
- В составе целлюлозолитического микробного сообщества в рямах преобладают грибы, а в условиях топи – миксобактерии. В торфе с Тимирязевского болота наибольшая численность олиготрофов наблюдается в ряме, а в Бакчарском болоте – в топи. Также, в условиях рямов выше количество сахаролитических грибов. В целом микроорганизмы лигноцеллюлозного комплекса менее активны по сравнению с другими группами микроорганизмов.
- Численность микроорганизмов, усваивающих минеральные формы азота в рямах, в среднем в 1,5 раза меньше, чем микроорганизмов, усваивающих органические формы, при этом число бактерий превышает общую численность грибов. Обнаружена положительная зависимость между содержанием азота и численностью грибов. Также обнаружена зависимость между численностью денитрификаторов и олиготрофов, что свидетельствует о трофических связях между данными группами микроорганизмов.
Таблица 1. Изменение численности микроорганизмов торфа и растительных образцов на начальных стадиях деструкции в условиях болота «Тимирязевское», N × 104 КОЕ / 1г а.с.в. торфа/растительных остатков
Фито ценоз | Образец | Время | Олиготрофы | Целлюлозолитическая микрофлора | Сахароли-тические грибы | Денитрификаторы |
Сосново-кустарничково-сфагновый фитоценоз | Торф | Исходн. | 78,2 | 0,06 | 0,09 | –– |
Июнь | 216,8 | 0,08 | 0,40 | –– | ||
Июль | 23174,0 | 1,21 | 2,70 | –– | ||
Август | 3522,7 | 0,05 | 8,58 | –– | ||
Сентябрь | 5280,1 | <0,01 | 51,20 | 5,58 | ||
Eriophorum vaginatum | Июнь | 117,9 | 0,06 | 0,25 | –– | |
Июль | 77571,0 | 0,63 | 5,44 | –– | ||
Август | 3173,4 | 0,16 | 2,02 | –– | ||
Сентябрь | 1086,8 | 0,04 | 17,48 | 0,05 | ||
Sphagnum fuscum | Июнь | 1098,8 | 0,07 | 0,10 | –– | |
Июль | 12873,0 | 0,02 | <0,01 | –– | ||
Август | 2679,5 | 0,01 | 6,30 | –– | ||
Сентябрь | 37361,4 | 0,05 | 30,71 | <0,01 | ||
Осоково-сфагновая топь | Торф | Исходн. | 59,7 | 0,16 | 0,22 | <0,01 |
Июнь | 334,0 | 0,18 | 0,02 | 0,01 | ||
Июль | 418,2 | 0,94 | 0,94 | 0,16 | ||
Август | 533,4 | 0,10 | 2,07 | 0,16 | ||
Сентябрь | 123,4 | 0,08 | 2,17 | 0,08 | ||
Carex rostrata | Июнь | 402,2 | 0,05 | 0,02 | <0,01 | |
Июль | 1618,2 | 0,33 | 0,47 | <0,01 | ||
Август | 11570,4 | 0,04 | 18,18 | 0,12 | ||
Сентябрь | 1744,2 | 0,01 | 1,35 | 0,03 | ||
Sphagnum angustifolum | Июнь | 282,2 | 0,03 | 0,13 | 0,01 | |
Июль | 400,0 | 0,37 | 0,58 | 0,01 | ||
Август | 2120,0 | 0,21 | 0,42 | 0,01 | ||
Сентябрь | 509,1 | 0,04 | 1,87 | 0,01 |
Примечание: «––» – нет данных.
Таблица 2. Изменение численности микроорганизмов торфа и растительных образцов на начальных стадиях деструкции в условиях болота «Бакчарское», N × 104 КОЕ / 1г а.с.в. торфа/растительных остатков
Фито ценоз | Образец | Время | Олиготрофы | Целлюлозолитическая микрофлора | Сахароли-тические грибы | Денитрификаторы |
Сосново-кустарничково-сфагновый фитоценоз | Торф | Исходн. | 1656,8 | 0,02 | 3,13 | <0,001 |
Июль | 2016,5 | 0,09 | 8,38 | 0,01 | ||
Август | 1624,0 | 0,04 | 9,84 | 0,01 | ||
Сентябрь | 63029,2 | 0,04 | 1,63 | 15,21 | ||
Eriophorum vaginatum | Июль | 1780,8 | 0,05 | 21,02 | 0,02 | |
Август | 17753,8 | <0,001 | 10,58 | 0,38 | ||
Сентябрь | 8410,8 | <0,001 | 21,80 | 0,02 | ||
Sphagnum fuscum | Июль | 3996,2 | <0,001 | 15,54 | 0,13 | |
Август | 2640,0 | 0,01 | 12,57 | 0,05 | ||
Сентябрь | 2901,0 | 0,01 | 22,00 | <0,001 | ||
Осоково-сфагновая топь | Торф | Исходн. | 32071,2 | 0,07 | 4,45 | 0,20 |
Июль | 72548,0 | 0,92 | 0,81 | 0,28 | ||
Август | 15662,4 | 0,01 | 0,06 | 0,01 | ||
Сентябрь | 46416,0 | <0,001 | 0,02 | 0,36 | ||
Carex rostrata | Июль | 672,1 | 0,09 | 6,61 | 0,07 | |
Август | 768,0 | 0,02 | 4,73 | <0,001 | ||
Сентябрь | 355,5 | 0,04 | 0,45 | <0,001 | ||
Sphagnum angustifolum | Июль | 10700,0 | 0,40 | 0,26 | 0,61 | |
Август | 40460,0 | 0,01 | 0,31 | <0,001 | ||
Сентябрь | 228,6 | 0,01 | 0,13 | 0,01 |
Таблица 3. Изменение численности микроорганизмов, усваивающих минеральные и органические формы азота болота «Тимирязевское», N × 104 КОЕ / 1г а.с.в. торфа/растительных остатков
Фитоценоз | Образец | Время | Микроорганизмы, усваивающие органический азот | Микроорганизмы, усваивающие минеральный азот | Коэф-т минерализации |
Сосново-кустарничково-сфагновый фитоценоз | Торф | Исходн. | 13,3 | 0,6 | 0,04 |
Июнь | 1665,2 | 1263,7 | 0,76 | ||
Июль | 27090,0 | –– | –– | ||
Август | 9951,0 | 21926 | 2,20 | ||
Сентябрь | 7715,0 | 103,2 | 0,01 | ||
Eriophorum vaginatum | Июнь | 2195,0 | 37,3 | 0,02 | |
Июль | 28140,0 | –– | –– | ||
Август | 16593,0 | 23311,0 | 1,40 | ||
Сентябрь | <0,001 | –– | –– | ||
Sphagnum fuscum | Июнь | 1271,0 | 195,4 | 0,15 | |
Июль | 7980,0 | –– | –– | ||
Август | 23341,0 | 23811,0 | 1,02 | ||
Сентябрь | 10236,0 | 256 | 0,03 | ||
Осоково-сфагновая топь | Торф | Исходн. | 78,9 | 67,6 | 0,86 |
Июнь | 76,5 | 177,1 | 2,32 | ||
Июль | 222,1 | 159,0 | 0,72 | ||
Август | 406,6 | 93,1 | 0,23 | ||
Сентябрь | 40,8 | 31,4 | 0,77 | ||
Carex rostrata | Июнь | 149,2 | 36,4 | 0,24 | |
Июль | 547,3 | 30,6 | 0,06 | ||
Август | 7647,7 | 375,7 | 0,05 | ||
Сентябрь | 231,8 | 12,1 | 0,05 | ||
Sphagnum angustifolum | Июнь | 95,8 | 241,9 | 2,53 | |
Июль | 236 | 10,7 | 0,05 | ||
Август | 786 | 44,5 | 0,06 | ||
Сентябрь | 246,3 | 123,9 | 0,50 |
Примечание: «––» – нет данных.
Таблица 4. Изменение численности микроорганизмов, усваивающих минеральные и органические формы азота болота «Бакчарское», N × 104 КОЕ / 1г а.с.в. торфа/растительных остатков
Фитоценоз | Образец | Время | Микроорганизмы, усваивающие органический азот | Микроорганизмы, усваивающие минеральный азот | Коэф-т минерализации |
Сосново-кустарничково-сфагновый фитоценоз | Торф | Исходн. | 821,9 | 688,9 | 0,84 |
Июль | 1319,4 | 417,6 | 0,32 | ||
Август | 934,4 | 222,4 | 0,24 | ||
Сентябрь | 2166,4 | 913,5 | 0,43 | ||
Eriophorum vaginatum | Июль | 1015,2 | 979,2 | 0,96 | |
Август | 4616,8 | 7516,8 | 1,63 | ||
Сентябрь | 1048 | 3267,7 | 3,10 | ||
Sphagnum fuscum | Июль | 1601,2 | 33,4 | 0,02 | |
Август | 1101 | 110,5 | 0,10 | ||
Сентябрь | 163,3 | 347,3 | 2,13 | ||
Осоково-сфагновая топь | Торф | Исходн. | 166,8 | 111,2 | 0,67 |
Июль | 4961,6 | 3494,4 | 0,70 | ||
Август | 1884,5 | 1189,7 | 0,63 | ||
Сентябрь | 1924,8 | 1305,6 | 0,68 | ||
Carex rostrata | Июль | 515,7 | 124,7 | 0,24 | |
Август | 280,8 | 38,4 | 0,14 | ||
Сентябрь | 382,8 | 30,6 | 0,08 | ||
Sphagnum angustifolum | Июль | 1634,2 | 1499,5 | 0,92 | |
Август | 5017,6 | 4090,8 | 0,82 | ||
Сентябрь | 69,5 | 21,9 | 0,32 |
About the authors
Liliya Garifullovna Nikonova
Институт мониторинга климатических и экологических систем СО РАН
Author for correspondence.
Email: lili112358@mail.ru
Evgeniya Aleksandrovna Golovatskaya
Email: golovatskaya@imces.ru
Natalia Nikolaevna Tereshchenko
Email: ternat@mail.ru
References
- Аристовская Т.В. 1980. Микробиология процессов почвообразования. Л: Наука. 189 с.
- Бабешина Л.Г., Дмитрук В.Н. 2009. Оценка запасов сфагновых мхов Томской области // Вестник Томского государственного университета. № 328. С. 183-187.
- Боч М.С., Мазинг В.В. 1979. Экосистемы болот СССР. Л.: Наука. 188 с.
- Вишнякова Е.К., Миронычева-Токарева Н.П. 2010. Потери углерода травяной составляющей при разложении растительного вещества в болотных комплексах Васюганского болота // Интерэкспо Гео-Сибирь. Т. 4. №. 2. С. 68-72.
- Вишнякова Е.К., Миронычева-Токарева Н.П., Косых Н.П. 2012. Динамика разложения растений на болотах Васюганья // Вестник ТГПУ. № 7. С. 88-93.
- Воробьева Л. А. 2006. Теория и практика химического анализа почв. М.: ГЕОС. 400 с.
- Говоруха В.В. 2017. Использование мхов для оценки загрязнения окружающей среды ртутью // Проблемы геологии и освоения недр: труды XXI Международного симпозиума имени академика М.А. Усова студентов и молодых ученых, посвященного 130-летию со дня рождения профессора М.И. Кучина (Томск, 3-7 апреля 2017, Т.1). Томск. С. 720-722.
- Головацкая Е.А., Никонова Л.Г. 2013. Разложение растительных остатков в торфяных почвах олиготрофных болот // Вестник Томского государственного университета. Биология. №3(23). С. 137-151.
- Головацкая Е.А., Никонова Л.Г. 2017. Влияние уровня болотных вод на процессы трансформации сфагновых мхов в торфяной почве олиготрофных болот // Почвоведение. № 5. С. 606–613. doi: 10.7868/80032180X17030030
- Денисенков В.П. 2000. Основы болотоведения : учеб. пособие. С.-Петербург: Изд. С.-Петерб. ун-та. 224 с.
- Головченко А.В., Добровольская Т.Г.,Кухаренко О.С. и др. 2013. Структура и функционирование микробных сообществ в торфяных почвах верхового типа – модельный эксперимент // Функционирование микробных комплексов в верховых торфяниках – анализ причин медленной деструкции торфа / под ред. Чернова И.Ю. М.: Товарищество научных изданий КМК. С. 73-79.
- Добровольская Т.Г., Головченко А.В., Звягинцев Д.Г. 2014. Анализ экологических факторов, ограничивающих деструкцию верхового торфа // Почвоведение. №. 3. С. 304-316.
- Дюкарев А.Г., Пологова Н.Н. 2002. Трансформация природной среды в зоне действия Томского водозабора // ENVIROMIS. Труды межд. конф. Томск: ИОА. С. 244-251.
- Евдокимова Г.А., Мозгова Н.П. 1984. Биологическая активность почв в условиях аэротехногенного загрязнения на Крайнем Севере. Л.: Наука. 120 с.
- Евсеева Н.С., Синюткина А.А., Харанжевская Ю.А. 2012. Ландшафты болот Томской области. Томск: НТЛ. 400 с.
- Егоров В. С., Дурынина Е. П. 1998. Агрохимический анализ почв, растений, удобрений. М.: МГУ. 113 с.
- Козловская Л.С., Медведева В.М., Пьявченко Н.И. 1978. Динамика органического вещества в процессе торфообразования. Л.: Наука. 176 с.
- Миронычева-Токарева Н.П., Косых Н.П., Вишнякова Е.К. 2013. Продукционно-деструкционные процессы в болотных экосистемах Васюганья // Динамика окружающей среды и глобальные изменения климата. Т. 4. №. 1. С. 1–9.
- Казеев К.Ш., Колесников С.И., Акименко Ю.В., Даденко Е.В. 2016. Методы биодиагностики наземных экосистем. Ростов-на-Дону: Изд. Южного федерального ун-та. 356 с.
- Коронатова Н.Г. 2010. Исследование разложения торфа в болотах методом инкубации сухих и влажных образцов // Динамика окружающей среды и глобальные изменения климата. Т. 1, № 1. С. 77-84.
- Красильников Н.А. 1958. Микроорганизмы почвы и высшие растения. М.: Изд-во Академии наук СССР. 462 с.
- Ляпина Е.Е. 2015. Геоэкологические особенности ртутной нагрузки на территорию Томской области по данным биомонниторинговых исследований // Современные проблемы науки и образования. №. 1. С. 273-273.
- Мишустин Е.Н. 1975. Ассоциации почвенных микроорганизмов. М.: Наука. 107 с.
- Морозова Р.М. 1991. Лесные почвы Карелии. С-Петербург: Наука. 184 с.
- Наплекова Н.Н. 1974. Аэробное разложение целлюлозы микроорганизмами в почвах Западной Сибири. Новосибирск: Наука. 250 с.
- Никонов М. Н. 1955. Происхождение и состав золы торфов лесной зоны // Труды ин-та леса АН СССР. Т. 26 С. 135-152.
- Никонова Л.Г., Головацкая Е.А., Курьина И.В., Курганова И.Н. 2019. Скорость разложения растений-торфообразователей в олиготрофных болотах южно-таежной подзоны Западной Сибири: оценка влияния уровня болотных вод и температуры торфяной залежи. Почвоведение. №9 С. 1092-1103. doi: 10.1134/S0032180X19090065
- Никонова Л.Г., Курганова И.Н., Лопес де Гереню В.О. Жмурин В.А., Головацкая Е.А. 2019. Влияние абиотических факторов на разложение опада растений-торфообразователей в инкубационном эксперименте // Вестник Томского государственного университета. Биология. № 46. С. 148-170. doi: 10.17223/19988591/46/8
- Резников В.М., Сорокина Н.Ф. 1968. Лигнин сфагнового мха // Химия древесины. №1. С.103-108.
- Решетникова В.Н., Занина М.А., Смирнова Е.Б. 2007. Методы приготовления специальных растворов и сред // Балашов: Николаев. 48 с.
- Речкин А.И., Ладыгина Г.Н. 2010. Геохимическая роль микроорганизмов. Нижний Новгород: НГУ.
- Рябичева А.Е., Исаев Х.М. 2015. Микробиология: учебно-методическое пособие. Брянск: Изд-во Брянского ГАУ. 172 с.
- Сакович Г.С., Безматерных М.А. 2005. Физиология и количественный учет микроорганизмов. Екатеринбург: ГОУ ВПО УГТУ-УПИ. 30 с.
- Тюремнов С.Н. 1976. Торфяные месторождения. М.: Недра. 487 с.
- Федорец Н.Г. 1997. Трансформация азота в почвах лесных биогеоценозов Северо-Запада России: дис. … д-ра биол. Наук. С-Петербург.
- Berg B. 2014. Decomposition patterns for foliar litter: A theory for influencing factors // Soil Biol. Biochem. V. 78. P. 222–232. doi: 10.1016/j.soilbio.2014.08.005
- Inisheva L.I., Szajdak L., Sergeeva M.A. 2016. Dynamics of Biochemical Processes and Redox Conditions in Geochemically Linked Landscapes of Oligotrophic Bogs // Eurasian Soil Science. V. 49. №. 4. P. 466–474.
- Filippova N.V., Glagolev M.V. 2018. Short-term standard litter decomposition across three different ecosystems in middle taiga zone of West Siberia // IOP Conf. Series: Earth and Environmental Science. V. 138, № 1. 012004. doi: 10.1088/1755-1315/138/1/012004
- Hogg E.H., Lieffers V. J., Wein R.W. 1992. Potential carbon losses from peat profiles: effects of temperature, drought cycles, and fire // Ecological Applications. V. 2, №. 3. P. 298–306.
- Peltoniemi K., Strakova P., Fritze H., Iraizoz P.A., Pennanen T. Laiho R. 2012. How waterlevel drawdown modified litter-decomposing fungal and actinobacterial communities in boreal peatlands // Soil Biology and Biochemistry. № 51. P. 20–34. DOI: 10.1016/j. soilbio.2012.04.013
Supplementary files








