Methane and carbon dioxide fluxes correlation according to automatic chamber observations at the Mukhrino bog ridge and hollow complex
- Authors: Dyukarev E.A.1,2,3, Veretennikova E.E.2,4, Sabrekov A.F.1, Kulik A.A.1, Zarov E.A.1
-
Affiliations:
- Yugra State University
- Institute of Monitoring of Climatic and Ecological Systems of the Siberian Branch of the Russian Academy of Sciences
- A.M. Obukhov Institute of Atmospheric Physics RAS
- Siberian State Medical University
- Issue: Vol 15, No 4 (2024)
- Pages: 276-288
- Section: Experimental works
- Published: 31.12.2024
- URL: https://edgccjournal.org/EDGCC/article/view/636456
- DOI: https://doi.org/10.18822/edgcc636456
- ID: 636456
Cite item
Full Text
Abstract
Aim: To study the dynamics of specific greenhouse gas (CO2 and CH4) fluxes in a ridge-and-moss oligotrophic bog complex in the middle taiga subzone of Western Siberia taking into account their spatial heterogeneity under the influence of environmental factors, to reveal the degree of influence of meteorological parameters on greenhouse gas fluxes, and to establish quantitative relationships between the observed fluxes of carbon dioxide and methane.
Methods: Greenhouse gas fluxes were measured using the chamber automatic monitoring system with eight transparent chambers and CO₂, CH₄ and H₂O gas analyzer.
Results: The mean values of CO2 and CH4 fluxes from bog surface were obtained; differences in the functioning of the ridge and the hollow are shown: median values of CO2 fluxes indicate a greater uptake on the ridge (-74.4 mgCO2/m2/h) than on the hollow (-52.7 mgCO2/m2/h); methane fluxes on the ridge (0.08 mgCH4/m2/h) are on average 20 times lower than on the hollow (2.76 mgCH4/m2/h). Correlation of greenhouse gas fluxes with environmental factors were revealed: the highest correlations were found with the intensity of incoming solar (r = -0.84 ÷ -0.91) and photosynthetically active radiation (r = -0.85 ÷ -0.92), air temperature (r = -0.51 ÷ -0.63) and relative air humidity (r = +0.56 ÷ +0.62).
Conclusions: Correlations between specific greenhouse gas fluxes were studied based on spatial and temporal flux variability data. Correlations between greenhouse gas fluxes are different at night and daytime, which is directly related to environmental factors.
Full Text
ВВЕДЕНИЕ
Болота играют существенную роль в регуляции климата планеты, участвуя в круговороте двух ключевых парниковых газов – углекислого газа и метана [Forster et al., 2021: 961]. С одной стороны, болотные экосистемы поглощают углекислый газ в процессе фотосинтеза, аккумулируя торф. Запасы углерода в болотах составляют 520-710 Гт углерода, то есть около трети всего почвенного углерода на Земле [Poulter et al., 2021]. Формирование торфяных отложений происходит в ходе отмирания частей растений, которые по мере роста поверхности болота оказываются ниже уровня болотных вод в анаэробных (бескислородных) условиях, в которых скорость разложения органического вещества микроорганизмами замедляется на порядки по сравнению с аэробной (содержащей кислород) средой [Poulter et al., 2021]. С другой стороны, при разложении органического вещества в анаэробных условиях выделяется не только углекислый газ, но и метан, обладающий в 27 раз более высоким потенциалом глобального потепления (ПГП) [Climate change, 1990] на масштабе столетия [Forster et al., 2021: 1017]. Болотные экосистемы – глобально значимый источник метана, выделяющий в атмосферу 149-165 Тг CH4 в год [Saunois et al., 2024]. Таким образом, воздействие болотных экосистем на климат в качестве источника или стока парниковых газов зависит от соотношения двух процессов: поглощения диоксида углерода, сдерживающего глобальный рост температуры воздуха, и выделения метана, ускоряющего этот рост.
В литературе опубликовано сравнительно немного оценок баланса одновременно и углекислого газа, и метана для болотных экосистем [Petrescu et al., 2015], а результаты, полученные на болотах в различных природных зонах, ведут к противоположным выводам. Например, грядово-мочажинное олиготрофное болото Mer Bleue в провинции Онтарио, Канада [Roulet et al., 2007], грядово-мочажинное мезотрофное болото в штате Миннесота, США [Olson et al., 2013], грядово-мочажинное олиготрофное болото Сииканева-2, Финляндия [Alekseychik et al., 2021], показали положительное радиационное воздействие на климат. Напротив, облесённое эвтрофное болото в провинции Альберта, Канада [Long et al., 2010], а также бугристое и открытое верховое болото комплекса Стордален, Швеция [Holmes et al., 2022], интенсивно поглощают углекислый газ и имеют отрицательные значения радиационного воздействия. Термокарстовые и эвтрофное болота на стационаре Бонанза Крик в штате Аляска, США, оказались нетто-источниками и углекислого газа, и метана [Euskirchen et al., 2022].
Выделение метана в значительной степени зависит от уровня болотных вод [Potter, 1997; Cui et al., 2024], температуры почвы [Dunfield et al., 1993; Veretennikova, Dyukarev, 2021], структуры растительного покрова [Ström et al., 2012; Ge et al., 2023], скачков атмосферного давления [Knox et al., 2021] и прочих факторов [Jentzsch et al, 2024]. Потоки углекислого газа формируются под влиянием множества факторов, таких как приходящая солнечная радиация [Farquhar et al., 1980], температура и влажность воздуха [Reichstein et al., 2005; Li et al., 2022], характеристики растительного покрова [Shaver, Kummerow, 1992] и пр. Влияние болотных экосистем на общий баланс парниковых газов различно и может зависеть от множества параметров окружающей среды и биотических факторов. Характер этих зависимостей на разных временных и пространственных масштабах активно исследуется в настоящее время [Li et al., 2022; Ilyasov et al., 2023; Kulik and Zarov, 2023; Jentzsch et al., 2024; Cui et al., 2024].
Цель настоящей работы была в исследовании динамики удельных потоков парниковых газов (СО2 и СН4) в грядово-мочажинном олиготрофном болотном комплексе в подзоне средней тайги Западной Сибири с учетом их пространственной неоднородности под воздействием факторов внешней среды, выявлении степени влияния метеорологических параметров на потоки парниковых газов и количественных зависимостей между наблюдаемыми потоками углекислого газа и метана.
ОБЪЕКТЫ И МЕТОДЫ ИССЛЕДОВАНИЯ
Организация наблюдений
Объект исследования. Измерения проводились на олиготрофном болоте Мухрино (60°53'20'' с.ш., 68°42'10'' в.д.), расположенном в подзоне средней тайги Западной Сибири в 20 км к юго-западу от г. Ханты-Мансийска [Kupriianova et al., 2022]. Климат региона – гумидный континентальный с тёплым летом (полубореальный, Dfb по классификации Кёппена). Средняя температура воздуха за 1995-2023 годы для станции в Ханты-Мансийске равна -0.32 °С, самого холодного месяца (января) – -19.4 °С, самого тёплого месяца (июля) – 18.2 °С. Средняя годовая сумма осадков за этот же период составила 613 мм, из них 39% приходится на три летних месяца [ВНИИГМИ-МЦД, 2024].
Измерения потоков углекислого газа и метана проводили в олиготрофном грядово-мочажинном болотном комплексе (ГМК) – типичном и наиболее распространенном для центральной части Западной Сибири типе болотных экосистем, занимающем 43% площади всех болот средней тайги [Терентьева и др., 2020]. Подробное описание ландшафтных и экологических характеристик болота Мухрино приведено в [Kupriianova et al., 2022]. Исследованный ГМК состоит из повышенных выпуклых багульниково-касандрово-сфагновых (Ledum palustre, Chamaedaphne calyculata, Sphagnum fuscum) гряд с редкой сосной (Pinus sylvestris) и плоских сфагново-шейхцериевых мочажин (Scheuchzeria palustris, Sphagnum balticum, S. majus). Уровень болотных вод на грядах в среднем на 15-40 см ниже поверхности мха, в мочажинах – на 0-10 см ниже поверхности мха. В рельефе гряды поднимаются над мочажинами на 10-50 см и ориентированы перпендикулярно стоку воды. В окрестности радиусом 200 м от пункта наблюдений мочажины занимают 67% площади, 1% приходится на участки открытой воды, а остальное (32%) – на гряды [Alekseychik et al., 2017]. Измерения потоков парниковых газов в грядово-мочажинных комплексах болота Мухрино проводятся в течение последних семнадцати лет [Kleptsova et al., 2010; Sabrekov et al., 2011; Alekseychik et al., 2017; Dyukarev et al., 2021a; Ilyasov et al., 2023; Kulik and Zarov, 2023].
Измерение удельных потоков CO2 и СН4. Удельные потоки углекислого газа и метана регистрировали с помощью автоматического камерного метода [Краснов и др., 2012; Koskinen et al., 2014; Dyukarev et al., 2019]. Камерная автоматизированная система мониторинга (КАСМ8, Россия), содержащая восемь прозрачных камер размером 50х50х50 см, модуль прокачки, переключатель воздушных потоков и блок регистрации данных (Рис. 1а, б), была размещена с конца мая 2023 года на ГМК в 700 м от окраины болотного массива. Четыре камеры были установлены на мочажине и четыре – на гряде (Рис. 1в). В период с 28 мая (с 12:00) по 3 июня (до 15:00) каждые 30 минут камеры последовательно закрывались на 3 минуты. В это время воздух непрерывно прокачивался со скоростью около 2 л/мин через газоанализатор LI-7810 (LI-COR Biosciences, США), измерявший концентрации СО2, СН4 и Н2О и записывавший их во внутреннюю память прибора.
Рис. 1. Внешний вид камерной автоматизированной системы мониторинга потоков парниковых газов КАСМ8 (а) и одной из измерительных камер (б). Схема размещения камер на ГМК (в), 0 – модуль управления КАСМ8, желтыми кружками обозначены места размещения измерительных камер 1-8.
Fig. 1. External appearance of the chamber automated system for monitoring greenhouse gas fluxes KASM8 (a) and one of the measuring chambers (б). Layout of the chamber on the ridge-hollow complex (в), 0 – KASM8 control module, yellow circles indicate the locations of measuring chambers 1-8.
Интенсивность потоков парниковых газов рассчитывалась по линейной скорости изменения концентрации в течение 1 мин 30 секунд после закрытия камеры, как это описано в [Глаголев и др., 2010]. Метеорологические характеристики регистрировались автоматической метеостанцией (In Situ Instruments AB, Швеция) [Dyukarev et al., 2021b]. Измерение потоков осуществлялось круглосуточно, так что потоки СО2 представляли собой чистый экосистемный обмен (NEE – net ecosystem exchange) в дневное время и экосистемное дыхание ночью. Положительные значения потоков парниковых газов соответствуют выделению, а отрицательные значения – поглощению газов.
Корреляционный анализ. Для выявления метеорологических характеристик, влияющих на формирование потоков парниковых газов, были рассчитаны коэффициенты корреляции Спирмена (r), позволяющие оценить в том числе и нелинейные связи между величинами. Коэффициенты корреляции вычислялись для каждой камеры отдельно, чтобы исключить эффект сглаживания вариаций потоков. Для выявления механизма взаимосвязей потоков метана и углекислого газа был проведен корреляционный анализ со смещением фазы. Были рассчитаны коэффициенты корреляции Спирмена между временными рядами удельных потоков метана и углекислого газа, причем значения потока СО2 последовательно смещались на один шаг по времени на более ранний срок.
РЕЗУЛЬТАТЫ
Удельные потоки СО2 и СН4
Температура воздуха за период наблюдений (с 28 мая по 3 июня 2023 г.) изменялась от 4.2 до 28.8 °С, относительная влажность воздуха ночью составляла 60-100%, а днем снижалась до 30%. Кратковременный незначительный дождь с суммой осадков 0.2 мм наблюдался в 4 ч утра 3 июня. Погода преимущественно была солнечная, интенсивность приходящей солнечной радиации достигала 740-803 Вт/м2, за исключением 28 мая и 1 июня, когда радиация не превышала 550 и 660 Вт/м2 соответственно.
Потоки СО2
Всего за период наблюдений получено по 295 значений удельных потоков СО2 и СН4 для каждой из восьми камер, или по 1180 значений для гряды и мочажины. Временной ход удельных потоков парниковых газов приведен на Рис 2.
Рис. 2. Потоки углекислого газа (а, б) и метана (в, г) по камерным измерениям с 28 мая по 3 июня 2023 г. на мочажине (а, в) и гряде (б, г). Камеры 1-4 – мочажина (а, в), камеры 5-8 – гряда (б, г).
Fig. 2. Carbon dioxide (а, б) and methane (в, г) fluxes according to chamber measurements from May 28 to June 3, 2023, on a hollow (а, в) and a ridge (б, г). Chambers 1-4 – hollow (а, в), chambers 5-8 – ridge (б, г).
Потоки углекислого газа (Рис. 2а, 2б) имеют явно выраженный суточный ход как на мочажине (камеры 1-4), так и на гряде (камеры 5-8). Амплитуда суточного хода потоков СО2 на гряде выше, чем на мочажине. Ночью камерами, установленными на гряде, зафиксировано выделение СО2 со скоростью от 120 до 609.8 мгСО2/м2/ч, днем выявлено поглощение СО2 со скоростью от -89 до -504.2 мгСО2/м2/ч. На мочажине ночные и дневные потоки СО2 составляли от 65 до 423.9 и от -48 до -282.9 мгСО2/м2/ч соответственно. На гряде медианные значения потока СО2 свидетельствуют о большем его поглощении (-74.4 мгСО2/м2/ч), чем на мочажине (-52.7 мгСО2/м2/ч) (Табл. 1). Этот факт, скорее всего, связан с тем, что измерения проводились в начале вегетационного периода, то есть в то время, когда на гряде наблюдалось активное развитие травяного покрова, что и обеспечило большее поглощение СО2. При рассмотрении всего вегетационного периода суммарный поток на гряде ниже, чем на мочажине [Dyukarev et al., 2019].
Таблица 1. Удельные потоки углекислого газа и метана на грядово-мочажинном комплексе с 28 мая по 3 июня 2023 г. и их отношение (в пересчете на углерод).
Table 1. Specific fluxes of carbon dioxide and methane in the ridge-hollow complex from May 28 to June 3, 2023 and their ratio (in terms of carbon).
Поток CO2 (fCO2), мгСО2/м2/ч | Поток CH4 (fCH4), мгСН4/м2/ч | Поток CH4, мгСО2-экв/м2/ч | fCH4_С : fCO2_С, % | ||
Медиана | Мочажина | -52.7 | 2.76 | 74.5 | -14.4 |
Гряда | -74.4 | 0.08 | 2.2 | -0.3 | |
СКО | Мочажина | 120.9 | 0.49 | 13.2 |
|
Гряда | 221.2 | 0.09 | 2.4 |
| |
Минимум | Мочажина | -282.9 | 1.20 | 32.4 |
|
Гряда | -504.2 | -0.06 | -1.6 |
| |
Максимум | Мочажина | 423.9 | 6.42 | 173.3 |
|
Гряда | 609.8 | 0.73 | 19.7 |
| |
Среднее | Мочажина | -16.2 | 2.85 | 77.0 | -48.4 |
Гряда | -22.7 | 0.12 | 3.2 | -1.5 | |
Среднее (день) | Мочажина | -116.4 | 2.96 | 79.9 | -7.0 |
Гряда | -208.4 | 0.09 | 2.4 | -0.1 | |
Среднее (ночь) | Мочажина | 135.6 | 2.72 | 73.4 | 5.5 |
Гряда | 244.0 | 0.17 | 4.6 | 0.2 |
Примечание: fCO2_C, fCH4_C – потоки углекислого газа и метана в пересчете на потоки углерода. fCO2_C = fCO2 ×MC/MCO2, fCH4_C = fCH4×MC/MCH4 , MC, MCO2, MCH4 – молярная масса углерода, углекислого газа и метана.
Note: fCO2_C, fCH4_C – carbon dioxide and methane fluxes converted to carbon fluxes. fCO2_C = fCO2 MC/MCO2, fCH4_C = fCH4 MC/MCH4, MC, MCO2, MCH4 – molar mass of carbon, carbon dioxide and methane.
Потоки СН4
Согласно камерным измерениям, потоки метана на гряде и мочажине значительно различаются (Рис. 2в, г, Табл. 1). На мочажине (Рис. 2а) потоки метана имеют суточный ход с вариациями от 1.2 до 6.42 мгСН4/м2/ч. Вместе с тем наблюдались отдельные кратковременные всплески эмиссии СН4, увеличивающие поток на 0.5-1.0 мгСН4/м2/ч. Обнаружены статистически значимые различия (по t-тесту) между медианными значениями потоков, рассчитанных для разных камер на мочажине (p<0.001, n = 295). Так, в камере № 4 в среднем за весь период медианное значение потока составило (3.53 мгСН4/м2/ч), в камере № 2 потоки чуть ниже (3.02 мгСН4/м2/ч). В камерах № 3 и № 1 удельные потоки метана близки и составили 2.45 и 2.0 мгСН4/м2/ч соответственно.
На гряде потоки метана (Рис. 2г) в среднем в 20 раз меньше, чем на мочажине. В отдельные моменты времени здесь регистрируется слабое поглощение метана (со скоростью до 0.06 мгСН4/м2/ч). Максимальные значения удельного потока, зарегистрированные на гряде, не превышают 1.19 мгСН4/м2/ч, что практически совпадает с минимальными значениями для мочажины. Как и на мочажине, на гряде выделение метана из разных камер значимо различается между собой: медианный поток варьируется от 0.01 (камера № 7) до 0.15 мгСН4/м2/ч (камера № 6).
Отношение потока CH4 к CO2 составило 48.4 и 1.5% для мочажины и гряды соответственно в пересчете на углерод (см. примечание к Табл. 1). Отношение потоков CH4 к CO2 принципиально различается для дневных и ночных измерений. Днем это отношение составляет -7.0 и -0.1%, а ночью – + 5.5 и + 0.2% для мочажины и гряды соответственно. При пересчете удельных потоков метана на СО2-эквивалент и использовании коэффициента ПГП = 27 для метана [Forster et al., 2021: 1017] выявлено, что мочажина в среднем характеризуется незначительными положительными потоками в пересчете на СО2-эквивалент на столетнем периоде, а гряда вследствие меньшего выделения метана – отрицательными потоками в СО2-эквиваленте.
Корреляционный анализ
Получено, что наибольшие (по модулю) коэффициенты корреляции потоков углекислого газа найдены с интенсивностью приходящей солнечной (r = -0.84 ÷ -0.91), или фотосинтетически активной радиации (r = -0.85 ÷ -0.92), температурой воздуха (r = -0,51 ÷ -0,63) и относительной влажностью воздуха (r = +0.56 ÷ +0.62). Уровень значимости для приведенных здесь и далее коэффициентов корреляции менее 0.05.
Значимые коэффициенты корреляции были обнаружены между потоками метана и метеорологическими характеристиками. Однако, как правило, знак коэффициента корреляции для потоков на мочажине отличается от знака коэффициента для гряды. Например, значимые корреляции между потоками метана и интенсивностью ФАР (Рис. 3) имеют значения от +0.38 до +0.47 для мочажины и от -0.23 до -0.38 для гряды. Между потоком метана и температурой воздуха на мочажине получены положительные коэффициенты корреляции (r = +0.30 ÷ +0.66), а для гряды – отрицательные (r = -0.28 ÷ -0.43). Схожие закономерности получены и для температуры торфяной залежи на мочажине r = +0.30 ÷ +0.78, для гряды r = -0.23 ÷ -0.28. Это говорит о разнонаправленности процессов, отвечающих за продукцию и окисление метана в различных условиях ГМК. Отметим, что для камер № 3 (мочажина) и № 5 (гряда) значимой корреляции с характеристиками радиации и температуры воздуха не обнаружено.
Рис. 3. Взаимосвязь удельных потоков СО2 (а, б), СН4 (в, г) и интенсивности приходящей фотосинтетически активной радиации. Камеры 1-4 – мочажина (а, в), камеры 5-8 – гряда (б, г).
Fig. 3. Relationship between specific fluxes of CO2 (а, б), CH4 (в, г) and intensity of incoming photosynthetically active radiation. Chambers 1-4 – hollow (а, в), chambers 5-8 – ridge (б, г).
Значимые коэффициенты корреляции получены между рядами удельных потоков углекислого газа и метана (Табл. 2). Преимущественно отрицательные корреляционные связи получены для потоков на мочажине (r = -0.22 ÷ -0.36, p < 10-4), за исключением камеры № 3, в которой выявлена положительная связь (r = +0.26, p < 10-5). На гряде получены положительные связи между потоками СО2 и СН4 (r = +0.39 ÷ +0.67), при этом самый низкий коэффициент корреляции был отмечен для камеры № 5 (r = +0.18, p = 0.003).
Таблица 2. Коэффициент корреляции Спирмана между удельными потоками СО2 и СН4, вычисленный по всем значениям (r), ночным (rN) и дневным (rD). rS – наибольший коэффициент корреляции между удельными потоками СО2 и СН4, полученный при сдвиге одного из рядов на dt часов.
Table 2. Spearman correlation coefficient between specific fluxes of CO2 and CH4 calculated for all values (r), nighttime (rN) and daytime (rD). rS is the largest correlation coefficient between specific fluxes of CO2 and CH4, obtained by shifting one of the series by dt hours.
Камера | r | rN | rD | dt, ч | rS |
Мочажина | |||||
1 | -0.36 | 0.38 | -0.35 | 4 | -0.74 |
2 | -0.22 | 0.45 | -0.21 | 4.5 | -0.58 |
3 | 0.26 | 0.78 | 0.14* | 6.5 | -0.41 |
4 | -0.30 | 0.38 | -0.38 | 3 | -0.44 |
Гряда | |||||
5 | 0.18 | 0.46 | 0.08* | 4 | 0.25 |
6 | 0.67 | 0.66 | 0.62 | - | - |
7 | 0.39 | 0.55 | 0.27 | - | - |
8 | 0.51 | 0.64 | 0.44 | - | - |
Примечание: * – незначимые коэффициенты корреляции, p>0.05
Note: * – insignificant correlation coefficients, p>0.05
На рис. 4а отображено облако точек, иллюстрирующее корреляционные взаимосвязи между удельными потоками углекислого газа и метана. Для мочажины линейная взаимосвязь потоков прослеживается при рассмотрении всего массива наблюдений, однако околонулевым потокам СО2 соответствуют пониженные значения потоков СН4. При увеличении потоков СО2 по модулю также увеличиваются и потоки метана. Если рассмотреть раздельно только дневные и только ночные наблюдения, то данная закономерность может быть оценена количественно. В период ночных наблюдений (PAR < 20 мкмоль/м2/с), когда потоки СО2 принимают положительные значения, на мочажине и гряде получены значительные положительные коэффициенты корреляции (r = +0.38 ÷ +0.78), и линии регрессии имеют положительные коэффициенты наклона. Увеличение выделения СО2 совпадает с увеличением эмиссии метана, что может быть объяснено воздействием единого управляющего параметра (например, температуры почвы), в частности, на образование как СО2, так и СН4.
Рис. 4. Взаимосвязь между удельными потоками СО2 и СН4. Камеры 1-4 – мочажина (а), камеры 5-8 – гряда (б). Линиями показана аппроксимация данных линейной зависимостью.
Fig. 4. Relationship between specific fluxes of CO2 and CH4. Chambers 1-4 – hollow (а), chambers 5-8 – ridge (б). Lines show approximation of data by linear dependence.
Днем, при преимущественно отрицательных потоках СО2, тип связи между потоками парниковых газов меняется. Для гряды наблюдаются положительные коэффициенты корреляции (r = +0.27 ÷ +0.62) и снижение потока метана при увеличении поглощения СО2 растительностью. Для мочажины коэффициенты корреляции отрицательные (r = -0.21 ÷ -0.38), то есть выделение метана усиливается наряду с ростом интенсивности фотосинтеза. При этом на мочажине в дневное время суток данная связь имеет отрицательный характер (за исключением камеры № 3), а ночью – положительный. На гряде потоки метана и углекислого газа всегда характеризуются положительной взаимосвязью (см. Табл. 2).
ОБСУЖДЕНИЕ РЕЗУЛЬТАТОВ
Выявленные корреляционные связи потоков углекислого газа и метеорологических параметров проявляются как для пунктов наблюдений на гряде, так и на мочажине и указывают на известные закономерности изменения интенсивности фотосинтеза с увеличением освещенности [Farquhar et al., 1980]. Отрицательные коэффициенты корреляции между потоком СО2 и температурой воздуха являются также проявлением этой закономерности.
Обнаружение отрицательной взаимосвязи потока метана с температурой не соответствовало результатам, полученным ранее, в которых были выявлены положительные корреляции между потоком и температурой торфяной залежи для болотных экосистем открытого и залесенного типа Бакчарского болота, расположенного в южной тайге [Veretennikova, Dyukarev, 2021]. Однако следует отметить, что эти связи были установлены для более длительного интервала времени (для всего вегетационного периода). Отрицательные зависимости между температурой и потоком метана на гряде свидетельствуют о более высоком окислении метана в дневное время в прогретом аэробном слое. Подобную отрицательную зависимость интенсивности эмиссии метана от температуры отмечали на омбротрофном болоте с кустарничковой растительностью и сосной на юге Финляндии [Korkiakoski et al., 2017].
Наблюдаемые закономерности взаимосвязей потоков СО2 и СН4 в дневное время можно объяснить различными факторами и процессами. Одной из очевидных, на наш взгляд, причин, оказывающих влияние на взаимосвязь потоков, является количество приходящей солнечной радиации с утренних часов до полудня (а именно с 8 до 12 часов местного времени). Приходящая солнечная радиация в этот период времени вызывает рост интенсивности фотосинтеза, вследствие чего наблюдаются отрицательные потоки СО2, максимальные (по модулю). В середине дня и после полудня более интенсивный прогрев торфяной залежи способствует увеличению гетеротрофного и экосистемного дыхания, и это в свою очередь приводит к еще большему снижению наблюдаемых потоков СО2, даже несмотря на достаточно большое поступление солнечной радиации в этот период времени.
На мочажине болотные воды находятся достаточно близко к поверхности и хорошо прогреваются. Максимум температуры торфа на глубине 10 см наблюдается на 2 часа позже максимума температуры торфа на поверхности. Прогрев верхних слоев торфа, насыщенных водой, интенсифицирует анаэробное разложение растительных остатков и рост интенсивности эмиссии метана в 12-16 ч местного времени. Кроме того, нельзя отрицать роль растительности (в частности, Scheuchzeria pallustris, произрастающая на исследуемой мочажине) в регуляции оттока метана из мочажины. Известно, что аэренхимные (или сосудистые) растения помогают избежать окисления метана метанотрофными микробами в аэробном слое торфа, действуя как основной канал выхода метана в атмосферу (например, Green and Baird 2012; Korrensaalo et al., 2022). Этот факт также необходимо учитывать при рассматривании особенностей эмиссии метана с поверхности мочажины исследуемого ГМК. В результате увеличение эмиссии метана оказывается согласовано с интенсификацией поглощения СО2 растениями в полдень, что демонстрируют отрицательные коэффициенты корреляции (Табл. 2). На гряде уровень болотных вод находится на глубине около 30-50 см, и тепловая волна достигает анаэробного слоя с запозданием примерно на 12-15 часов [Киселев и др., 2019]. Однако в прогретом аэробном слое (выше уровня воды) активизируются метанотрофы, преобразующие СН4 в СО2, и поток метана с поверхности в послеполуденные часы снижается. Этот процесс также хорошо отражают полученные отрицательные корреляции между потоком метана и температурой торфяной залежи. Кроме того, корреляционный анализ показывает положительные связи между потоками СН4 и СО2 днем: низкие положительные значения потока метана согласованы с более низкими значениями потока СО2 (более интенсивное поглощение).
С другой стороны, увеличение выделения метана одновременно с ростом поглощения CO2 на мочажине в дневное время суток может быть связано с увеличением поступления корневых экссудатов, участвующих в продукции CH4. Методы стабильных изотопов показали, что значительная часть выделяемого СН4 из болотных экосистем происходит из свежего углерода, зафиксированного растительностью в результате фотосинтеза [Chanton et al., 1995; Ström et al., 2015, Dorodnikov et al., 2011; Korrensaalo et al., 2022]. Косвенно этот процесс может демонстрировать корреляционная связь потоков метана и чистого экосистемного обмена (NEE). Во многих исследованиях сообщается о существовании взаимосвязи между NEE и потоком СН4 для разных типов болотных экосистем, при этом ученые наблюдают как отрицательную, так и положительную взаимосвязь, а также отсутствие таковой [Whiting and Chanton, 1993; Waddington et al., 1996; Bellisario et al., 1999; Lai et al., 2014].
В частности, отрицательную взаимосвязь между NEE и потоком метана, которую мы также наблюдали на исследуемой нами мочажине ГМК, частично можно объяснить стимуляцией продукции метана за счет увеличения поступления лабильного органического углерода в ризосферу посредством корневой экссудации [Whiting and Chanton, 1993; Ström et al., 2012]. Согласно [Shaver and Kummerow, 1992], значительное количество углерода, усвояемого сосудистыми растениями посредством фотосинтеза, может быть выделено под землей (от 47 до 92%). Кроме того, из корневой системы растений непрерывно высвобождается широкий спектр лабильных углеродных соединений [Marschner, 1995], которые, попадая в почву, могут служить легкодоступным субстратом для почвенной микробиоты, в том числе и для метаногенных микроорганизмов, оказывая существенное влияние на продукцию метана в почве [Joabsson et al., 1999]. В частности, для болотных экосистем особый интерес представляет уксусная кислота (соли и сложные эфиры которой называются ацетатами), которая часто оказывается субстратом для метаногенных микроорганизмов (например, [Bellisario et al., 1999; Ström et al., 2012].
В многочисленных исследованиях [Ström et al., 2012; Greenup et al., 2000; Dorodnikov et al., 2011; Korrensaalo et al., 2021] было показано, что видовой состав сосудистых растений влияет на поток СН4 и доступность субстрата для метаногенов, и указана важность таких видов сосудистой растительности, как Eriophorum sp., Carex. sp. и Scheuchzeria sp., в этом отношении. Наличие в растительном покрове сосудистых растений приводит к более высоким потокам метана и более высокому усвоению СО2 через фотосинтез. Это в первую очередь обусловлено значительной концентрацией лабильных низкомолекулярных соединений в корневой зоне этих видов растений. Исходя из наших исследований, есть основания говорить о влиянии растительного сообщества шейхцерии на поддержание связей между потоками метана и углекислого газа.
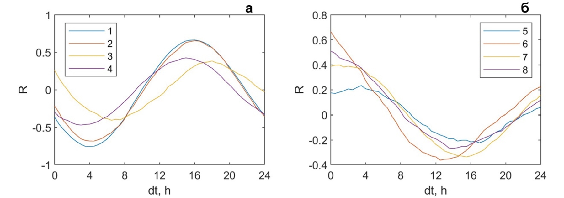
Если свежий фотосинтетический материал (образуемый за счет фотосинтетического поглощения СО2) является субстратом для продукции метана, то мы предположили, что поток метана будет отставать от фотосинтетического поглощения СО2 на определенный период времени. Максимальное смещение составляло 24 часа, или 48 значений. Таким образом были получены наборы корреляционных коэффициентов (Рис. 5), по которым видно фазовое запаздывание одного временного ряда относительно другого. Расчеты были выполнены для каждой измерительной камеры в отдельности.
Рис. 5. Коэффициент корреляции Спирмана удельных потоков СН4 и СО2 со сдвигом dt. Камеры 1-4 – мочажина (а), камеры 5-8 – гряда (б).
Fig. 5. Spearman correlation coefficient of specific fluxes of CH4 and CO2 with shift dt. Chambers 1-4 – hollow (a), chambers 5-8 – ridge (б).
Получено, что для мочажины наилучшие (отрицательные) значения коэффициента корреляции получаются при сдвиге ряда потока СО2 на 3-6.5 часа на более ранний срок (Табл. 2, Рис. 5). Медианное значение величины сдвига, обеспечивающее наилучшую корреляцию, составляет 4.25 ± 1.5 часа. Величина коэффициента корреляции увеличивается (по модулю) до -0.41 ÷ -0.74. Линии регрессии, построенные по временным рядам со смещением, удовлетворительно описывают взаимосвязи между потоками СО2 и СН4 в течение суток. Наилучшие связи получены для первой и второй камер.
Для гряды смещение рядов потока СО2 до 4 часов незначительно увеличивает коэффициент корреляции только в камере № 5. Для остальных камер коэффициент не изменяется или немного снижается. Наибольший отрицательный коэффициент корреляции получен для смещения в 12-17 часов и отражает взаимосвязь суточных колебаний потоков СО2 и СН4.
Сравнение полученных нами результатов исследований с литературными данными показало, что временное отставание потока СН4 от NEE на мочажине на 3-6,5 часа, в зависимости от камеры, несколько меньше, чем в бореальной топи с преобладанием осоки (CША) [Waddington et al., 1996], для которой выявлено отставание в 6-12 часов, а также быстрее, чем в омбротрофной топи с сообществом Eriophorum в Канаде [Lai et al., 2014] c отставанием в 9-12 часов. На самом деле этот процесс может быть как очень быстрым (2 часа), так и достаточно медленным (до 24 часов), об этом свидетельствуют результаты, полученные для осокового болота в тундре [King and Reeburg, 2002].
Роль растительного покрова на гряде в процессах регулирования потоков парниковых газов, по-видимому, проявлена в меньшей степени. Как было показано выше, на гряде ГМК, в отличие от мочажины, как днем, так и ночью выделению и поглощению CО2 сопутствовало несущественное выделение СН4 (см. Табл. 2 и Рис. 4), соответственно, полученные корреляции имеют положительный знак. Фиксированный в результате фотосинтеза углерод дольше удерживается в тканях побегов кустарничков, в изобилии произрастающих на гряде (Andromeda polifolia L. и Chamaedaphne calyculata L.,), и медленнее перемещается к их корням [Murphy and Moore, 2010]. Кроме того, корни вересковых кустарничков плохо адаптированы к бескислородным условиям, поэтому проникают в глубь торфяной залежи на 10-15 см, т.е. остаются в хорошо аэрируемой зоне. Поэтому большая часть лабильных веществ (экссудатов), выделяющихся из корней кустарничков, недоступна для метаногенных микроорганизмов, находящихся ниже уровня болотных вод. Это приводит к более медленному обновлению фотосинтетического материала и предпочтительному его сохранению в своих органах и тканях для последующего роста и развития вместо того, чтобы быстро доставлять лабильные органические вещества в ризосферу для последующей продукции метана [Murphy and Moore, 2010]. Поэтому на гряде ГМК роль лабильных органических веществ в процессах взаимосвязи метана и СО2 не проявлена, как это может быть в условиях мочажины; возможно, именно по этой причине практически во всех камерах не было обнаружено корреляционных зависимостей между фотосинтетическим поглощением СО2 и выделением СН4 (за исключением слабой связи в одной камере). Ранее Lai et al (2014) также продемонстрировали положительную связь между потоками СО2 и СН4 на болоте Mer Bleue для участка с кустарничковой растительностью и пришли к выводу, что реакция потока метана на качество субстрата может значительно варьироваться в зависимости от растительного сообщества и уровня болотных вод. Также эти исследования продемонстрировали наличие отрицательной связи между потоками СО2 и СН4 на участках с преобладанием сосудистой растительности, что также согласуется с нашими результатами на мочажине.
ЗАКЛЮЧЕНИЕ
Исследования потоков метана и углекислого газа, проведенные методом автоматических камер на олиготрофном грядово-мочажинном болотном комплексе, выполненные с высоким временным разрешением, показали, что интенсивность среднего удельного потока метана на мочажине в 24 раза выше, чем на гряде. Среднее за исследуемый период поглощение углекислого газа больше на гряде, чем на мочажине, в 1.4 раза. Отношение потока CH4 к CO2 составило 48.4 и 1.5% для гряды и для мочажины соответственно в пересчете на углерод. Обнаружена высокая временная изменчивость потоков СО2 с явным проявлением суточного цикла, вызванного изменением приходящей солнечной радиации. Значимый суточный ход потоков метана получен только для мочажины ГМК.
С помощью корреляционного анализа получено, что на гряде удельные потоки метана возрастают при увеличении потока углекислого газа как днем, так и ночью. На мочажине в ночное время связь между потоками прямая, а днем – обратная. Продемонстрировано запаздывание изменений потока метана на 3-6.5 часа относительно потока СО2 на мочажине, что, с одной стороны, может быть связано с изменением продуцирования и поглощения метана в торфяной толще вследствие колебаний температуры торфа, с другой – с увеличением поступления корневых экссудатов, участвующих в продукции CH4. В реальной ситуации, вероятно, действуют оба механизма. Выявить вклад каждого механизма в формирование потоков метана планируется в последующих работах.
На примере исследуемого ГМК мы показали, что исследуемый болотный комплекс является нетто-поглотителем атмосферного углерода. Безусловно, климаторегулирующая функция болот не сводится только к радиационному воздействию, однако в настоящей работе мы исследовали только баланс важнейших парниковых газов и взаимосвязи между их потоками.
БЛАГОДАРНОСТИ
Работа выполнена в рамках реализации важнейшего инновационного проекта государственного значения «Разработка системы наземного и дистанционного мониторинга пулов углерода и потоков парниковых газов на территории Российской Федерации» No 123030300031-6 при финансовой поддержке гранта Правительства Тюменской области программы Западно-Сибирского межрегионального научно-образовательного центра мирового уровня (национальный проект «Наука»). Обработка результатов наблюдений проведена при поддержке гранта РНФ № 22-47-04408.
Авторы благодарят рецензентов за внимательное прочтение рукописи и высказанные замечания.
About the authors
E. A. Dyukarev
Yugra State University; Institute of Monitoring of Climatic and Ecological Systems of the Siberian Branch of the Russian Academy of Sciences; A.M. Obukhov Institute of Atmospheric Physics RAS
Author for correspondence.
Email: e_dyukarev@ugrasu.ru
ORCID iD: 0000-0002-7019-4459
Russian Federation, Khanty-Mansiysk; Tomsk; Moscow
E. E. Veretennikova
Institute of Monitoring of Climatic and Ecological Systems of the Siberian Branch of the Russian Academy of Sciences; Siberian State Medical University
Email: lena2701@yandex.ru
Russian Federation, Tomsk; Tomsk
A. F. Sabrekov
Yugra State University
Email: misternickel@mail.ru
Russian Federation, Khanty-Mansyisk
A. A. Kulik
Yugra State University
Email: k.artem.a@yandex.ru
SPIN-code: 3435-7765
Russian Federation, Khanty-Mansiysk
E. A. Zarov
Yugra State University
Email: zarov.evgen@yandex.ru
SPIN-code: 2765-5532
Russian Federation, Khanty-Mansiysk
References
- Alekseychik P., Korrensalo A., Mammarella I., Launiainen S., Tuittila E.-S., Korpela I., Vesala T. 2021. Carbon balance of a Finnish bog: temporal variability and limiting factors based on 6 years of eddy-covariance data. Biogeosciences, 18: 4681–4704. doi: 10.5194/bg-18-4681-2021.
- Alekseychik P., Mammarella I., Karpov D., Dengel S., Terentieva I., Sabrekov A., Glagolev M., Lapshina, E. Net ecosystem exchange and energy fluxes measured with the eddy covariance technique in a Western Siberian bog. Atmos. Chem. Phys., 17: 9333–9345. doi: 10.5194/acp-17-9333-2017.
- Bellisario L.M., Bubier J.L., Moore T.R. 1999. Controls on CH4 emissions from a northern peatland. Global Biogeochemical Cycles, 13: 81–91.
- Chanton J.P., Bauer J.E., Glaser P.A., Siegel D.I., Kelley C.A., Tyler S.C., Romanowicz E.H., Lazrus A. 1995. Radiocarbon evidence for the substrates supporting methane formation within northern Minnesota peatlands. Geochimica et Cosmochimica Acta, 59: 3663-3668.
- Climate Change. 1990. The IPCC scientific assessment. Contribution of Working Group I to the First Assessment Report of the Intergovernmental Panel on Climate Change, 365 p.
- Cui S., Liu P., Guo H., Nielsen C.K., Pullens J.W.M., Chen Q., Pugliese L., Wu, S. 2024. Wetland hydrological dynamics and methane emissions. Communications Earth & Environment, 5(1): 470.
- Dorodnikov M., Knorr K.-H., Kuzyakov Y., Wilmking M. 2011. Plant-mediated CH4 transport and contribution of photosynthates to methanogenesis at a boreal mire: a 14C pulse-labeling study. Biogeosciences, 8: 2365-2375. doi: 10.5194/bg-8-2365-2011
- Dunfield P., Dumont R., Moore, T.R., 1993. Methane production and consumption in temperate and subarctic peat soils: response to temperature and pH. Soil Biology and Biochemistry, 25(3): 321-326.
- Dyukarev E., Filippova N., Karpov D., Shnyrev N., Zarov E., Filippov I., Voropay N., Avilov V., Artamonov A., Lapshina E. 2021b. Hydrometeorological dataset of West Siberian boreal peatland: a 10-year record from the Mukhrino fieldstation. Earth System Science Data, 13(6): 2595-2605. doi: 10.5194/essd-13-2595-2021.
- Dyukarev E., Zarov E., Alekseychik P., Nijp J., Filippova N., Mammarella I., Filippov I., Bleuten W., Khoroshavin V., Ganasevich G., Meshcheryakova A., Vesala T., Lapshina E. 2021a. The multiscale monitoring of peatland ecosystem carbon cycling in the middle taiga zone of Western Siberia: the Mukhrino bog case study. Land, 10(8): 824. https://doi.org/10.3390/land10080824.
- Dyukarev E.A., Godovnikov E.A., Karpov D.V., Kurakov S.A., Lapshina E.D., Filippov I.V., Filippova N.V., Zarov E.A. 2019. Net Ecosystem Exchange, Gross Primary Production AndEcosystem Respiration In Ridge-Hollow Complex At Mukhrino Bog. Geography, Environment, Sustainability, 12(2): 227-244. doi: 10.24057/2071-9388-2018-77.
- Euskirchen E.S., Edgar C.W., Kane E.S., Waldrop M.P., Neumann R.B., Manies K.L., Douglas T.A., Dieleman C., Jones M.C., Turetsky M. R. 2024. Persistent net release of carbon dioxide and methane from an Alaskan lowland boreal peatland complex. Global Change Biology, 30: e17139. doi: 10.1111/gcb.17139.
- Farquhar, G.D., von Caemmerer, S., Berry, J.A. 1980. A biochemical model of photosynthetic CO2 assimilation in leaves of C3 species. Planta, 149 (1): 78–90.
- Forster P., Storelvmo T., Armour K., Collins W., Dufresne J.-L., Frame D., Lunt D.J., Mauritsen T., Palmer M.D., Watanabe M., Wild M., Zhang H. 2021. The Earth’s Energy Budget, Climate Feedbacks, and Climate Sensitivity. In Climate Change 2021: The Physical Science Basis. Contribution of Working Group I to the Sixth Assessment Report of the Intergovernmental Panel on Climate Change (Masson-Delmotte V., Zhai P., Pirani A., Connors S.L., Péan C., Berger S., Caud N., Chen Y., Goldfarb L., Gomis M.I., Huang M., Leitzell K., Lonnoy E., Matthews J.B.R., Maycock T.K., Waterfield T., Yelekçi O., Yu R., Zhou B. eds.). Cambridge University Press, Cambridge, United Kingdom and New York, NY, USA, pp. 923–1054. doi: 10.1017/9781009157896.009.
- Ge M., Korrensalo A., Laiho R., Kohl L., Lohila A., Pihlatie M., Li X., Laine A.M., Anttila J., Putkinen A., Wang, W. 2023. Plant-mediated CH4 exchange in wetlands: A review of mechanisms and measurement methods with implications for modelling. Science of the Total Environment, 169662.
- Glagolev M.V., Sabrekov A.F., Kazantsev V.S. 2010. Methods for measuring gas exchange at the soil/atmosphere interface. Publishing house of Tomsk State Pedagogical University, Tomsk, 96 p. (in Russian). [Глаголев М.В., Сабреков А.Ф., Казанцев В.С. 2010. Методы измерения газообмена на границе почва/атмосфера. – Томск: Издательство Томского государственного педагогического университета, 96 с.].
- Green S. M., Baird A.J. 2012. A mesocosm study of the role of the sedge Eriophorum angustifolium in the efflux of methane—including that due to episodic ebullition—from peatlands. Plant Soil, 351, 207–218 doi: 10.1007/s11104-011-0945-1
- Greenup A.L., Bradford M.A., McNamara P.N., Ineson P., Lee J.A. 2000. The role of Eriophorum vaginatum in CH4 flux from an ombrotrophic peatland. Plant and Soil, 227: 265–272.
- Holmes, M. E., Crill, P. M., Burnett, W. C., McCalley, C. K., Wilson, R. M., Frolking, S. 2022. Carbon accumulation, flux, and fate in Stordalen Mire, a permafrost peatland in transition. Global Biogeochemical Cycles, 36: e2021GB007113. doi: 10.1029/2021GB007113.
- Ilyasov D.V., Meshcheryakova A.V., Glagolev M.V., Kupriianova I.V., Kaverin A.A., Sabrekov A.F., Kulyabin M.F., Lapshina E.D. 2023. Field-layer vegetation and water table level as a proxy of CO2 exchange in the West Siberian boreal bog. Land, 12, 566. doi: 10.3390/land12030566.
- Jentzsch K., Männistö E., Marushchak M.E., Korrensalo A., van Delden L., Tuittila E.S., Knoblauch C., Treat C.C. 2024. Seasonal controls on methane flux components in a boreal peatland–combining plant removal and stable isotope analyses. EGUsphere, 2024: 1-32.
- Joabsson A., Christensen T.R., Wallén B. 1999. Vascular plant controls on methane emissions from northern peatforming wetlands. Trends in Ecology and Evolution, 14: 385–388.
- King J.Y., Reeburgh W.S. 2002. A pulse-labeling experiment to determine the contribution of recent plant photosynthates to net methane emission in arctic wet sedge tundra, Soil Biology and Biochemistry, 34: 173–180.
- Kiselev M.V., Dyukarev E.A., Voropay N.N. 2019. SEASONALLY FROZEN LAYER OF PEATLANDS IN THE SOUTHERN TAIGA ZONE OF WESTERN SIBERIA. Earth's Cryosphere, XXIII(4): 3–15. (in Russian). [Киселев М.В., Дюкарев Е.А., Воропай Н.Н. 2019. Сезонно-мерзлый слой болот южно-таёжной зоны Западной Сибири // Криосфера Земли. Т. 23. № 4. С. 3-15.] doi: 10.21782/KZ1560-7496-2019-4(3-15).
- Kleptsova I.E., Glagolev M.V., Filippov I.V., Maksyutov S.S. 2010. Methane emission from middle taiga ridges and ryams of Western Siberia. Environmental Dynamics and Global Climate Change. 1(1): 66-76.
- Knox S.H., Bansal S., McNicol G., Schafer K., Sturtevant C., Ueyama M., Valach A.C., Baldocchi D., Delwiche K., Desai A.R., Euskirchen, E. 2021. Identifying dominant environmental predictors of freshwater wetland methane fluxes across diurnal to seasonal time scales. Global Change Biology, 27(15): 3582-3604.
- Korkiakoski M., Tuovinen J.-P., Aurela M., Koskinen M., Minkkinen K., Ojanen P., Penttilä T., Rainne J., Laurila T., Lohila A. 2017. Methane exchange at the peatland forest floor – automatic chamber system exposes the dynamics of small fluxes. Biogeosciences, 14:1947–1967. doi: 10.5194/bg-14-1947-2017.
- Korrensalo A., Mammarella I., Alekseychik P., Vesala T., Tuittila E.S. Plant mediated methane efflux from a boreal peatland complex. Plant Soil, 2022, 471: 375–392. doi: 10.1007/s11104-021-05180-9.
- Koskinen M., Minkkinen K., Ojanen P., Kämäräinen M., Laurila T., Lohila A. 2014. Measurements of CO2 exchange with an automated chamber system throughout the year: challenges in measuring night-time respiration on porous peat soil. Biogeosciences, 11: 347–363. doi: 10.5194/bg-11-347-2014.
- Krasnov O.A., Maksyutov S., Glagolev M.V., Kataev M.Yu., Inoue G., Nadeev A.I., Shelevoi V.D. 2013. Automated complex “Flux-NIES” for measurement of methane and carbon dioxide fluxes. Atmospheric and Oceanic Optics. 26(12): 1090-1097 (in Russian). [Краснов О.А., Maksyutov S., Глаголев М.В., Катаев М.Ю., Inoue G., Надеев А.И., Шелевой В.Д. 2013. Автоматизированный комплекс «FLUX-NIES» для измерения потоков метана и диоксида углерода // Оптика атмосферы и океана. Т. 26. №. 12. С. 1090-1097].
- Kulik A.A., Zarov E.A. 2023. The influence of the hydrometeorological factors on the CO2 fluxes from the oligotrophic bog surface. Environmental Dynamics and Global Climate Change. 14(4): 249-263.
- Kupriianova I.V., Kaverin A.A., Filippov I.V., Ilyasov D.V., Lapshina E.D., Logunova E.V., Kulyabin M.F. 2022. The main physical and geographical characteristics of the Mukhrino field station area and its surroundings. Environmental Dynamics and Global Climate Change, 13(4): 215-252.
- Lai D. Y.E., Roulet N.T., Moore T.R. 2014. The spatial and temporal relationships between CO2 and CH4 exchange in a temperate ombrotrophic bog. Atmospheric Environment, 89: 249-259. doi: 10.1016/j.atmosenv.2014.02.034.
- Li N., Shao J., Zhou G., Zhou, L. Du, Z., Zhou X. 2022. Improving estimations of ecosystem respiration with asymmetric daytime and nighttime temperature sensitivity and relative humidity. Agricultural and Forest Meteorology, 312: 108709.
- Long K.D., Flanagan L.B., Cai T. 2010. Diurnal and seasonal variation in methane emissions in a northern Canadian peatland measured by eddy covariance. Global change biology, 16(9): 2420-2435.
- Marschner H. 1995. Mineral Nutrition of Higher Plants 2nd edn. Academic Press, London. 889 p.
- Murphy M.T., Moore T.R. 2010. Linking root production to aboveground plant characteristics and water table in a temperate bog. Plant and Soil, 336: 219-231.
- Olson D.M., Griffis T.J., Noormets A., Kolka R., Chen J. 2013. Interannual, seasonal, and retrospective analysis of the methane and carbon dioxide budgets of a temperate peatland. Journal of Geophysical Research Biogeoscience, 118: 226–238. doi: 10.1002/jgrg.20031.
- Petrescu, A.M.R., Lohila, A., Tuovinen, J.P., Baldocchi, D.D., Desai, A.R., Roulet, N.T., Vesala, T., Dolman, A.J., Oechel, W.C., Marcolla, B. and Friborg, T., 2015. The uncertain climate footprint of wetlands under human pressure. Proc. of the National Academy of Sciences, 112(15), 4594-4599. doi: 10.1073/pnas.1416267112.
- Potter C.S. 1997. An ecosystem simulation model for methane production and emission from wetlands. Global Biogeochemical Cycles, 11(4): 495-506.
- Poulter B., Fluet-Chouinard E., Hugelius G., Koven C., Fatoyinbo L., Page S.E., Rosentreter J.A., Smart L.S., Taillie, P.J. Thomas N., Zhang Z., Wijedasa L.S. 2021. A Review of global wetland carbon stocks and management challenges. In: Wetland carbon and environmental management (eds Krauss K.W., Zhu Z., Stagg C.L.). doi: 10.1002/9781119639305.ch1.
- Reichstein M., Falge E., Baldocchi D., Papale D., Aubinet M., Berbigier P., Bernhofer C., Buchmann N., Gilmanov T., Granier A., Grünwald T. 2005. On the separation of net ecosystem exchange into assimilation and ecosystem respiration: review and improved algorithm. Global change biology, 11(9): 1424-1439.
- Roulet N.T., Lafleur P.M., Richard P.J.H., Moore T.R., Humphreys E.R., Bubier J. 2007. Contemporary carbon balance and late Holocene carbon accumulation in a northern peatland. Global Change Biology, 13: 397–411.
- Sabrekov A.F., Kleptsova I.E., Glagolev M.V., Maksyutov Sh.Sh., Machida T. 2011. Methane emission from middle taiga oligotrophic hollows of Western Siberia. Tomsk State Pedagogical University Bulletin, (107): 135-143.
- Saunois, M., Martinez, A., Poulter, B., Zhang, Z., Raymond, P., Regnier, P., Canadell, J. G., Jackson, R. B., Patra, P. K., Bousquet, P., Ciais, P., Dlugokencky, E. J., Lan, X., Allen, G. H., Bastviken, D., Beerling, D. J., Belikov, D. A., Blake, D. R., Castaldi, S., Crippa, M., Deemer, B. R., Dennison, F., Etiope, G., Gedney, N., Höglund-Isaksson, L., Holgerson, M. A., Hopcroft, P. O., Hugelius, G., Ito, A., Jain, A. K., Janardanan, R., Johnson, M. S., Kleinen, T., Krummel, P., Lauerwald, R., Li, T., Liu, X., McDonald, K. C., Melton, J. R., Mühle, J., Müller, J., Murguia-Flores, F., Niwa, Y., Noce, S., Pan, S., Parker, R. J., Peng, C., Ramonet, M., Riley, W. J., Rocher-Ros, G., Rosentreter, J. A., Sasakawa, M., Segers, A., Smith, S. J., Stanley, E. H., Thanwerdas, J., Tian, H., Tsuruta, A., Tubiello, F. N., Weber, T. S., van der Werf, G., Worthy, D. E., Xi, Y., Yoshida, Y., Zhang, W., Zheng, B., Zhu, Q., Zhu, Q., and Zhuang, Q. 2024. Global Methane Budget 2000–2020, Earth Syst. Sci. Data Discuss. [preprint]. doi: 10.5194/essd-2024-115, in review.
- Shaver G.R., Kummerow J. 1992. Phenology, resource allocation, and growth of arctic vascular plants. In: Arctic ecosystems in a changing climate. An ecophysiological perspective (eds Chapin III F.S., Jefferies R.L., Reynolds J.F., Shaver G.R., Svoboda J.), Academic Press, Inc., San Diego. pp. 193-211.
- Ström L., Tagesson T., Mastepanov M., Christensen T.R. 2012. Presence of Eriophorum scheuchzeri enhances substrate availability and methane emission in an Arctic wetland Lena. Soil Biology & Biochemistry, 45: 61-70. doi: 10.1016/j.soilbio.2011.09.005.
- Veretennikova E.E., Dyukarev E.A. 2021. Comparison of methane fluxes of open and forested bogs of the southern taiga zone of Western Siberia. Boreal Environment Research, 26: 43-59. doi: 10.5281/zenodo.4718848.
- VNIIGMI-MTsD. 2024. Federal State Budgetary Institution «All-Russian Research Institute of Hydrometeorological Information – World Data Center. http://meteo.ru/data (date accessed: 07.09.2024). (in Russian). [ВНИИГМИ-МЦД, 2024. Всероссийский научно-исследовательский институт гидрометеорологической информации – Мировой центр данных. http://meteo.ru/data (дата обращения: 07.09.2024)].
- Waddington J.M., Roulet N.T., Swanson R.V. 1996. Water table control of CH4 emission enhancement by vascular plants in boreal peatlands. Journal of Geophysical Research, 101: 22775–22785.
- Whiting G.J., Chanton J.P. 1993. Primary production control of methane emission from wetlands. Nature, 364: 794–795.
Supplementary files











